Chlorination Bromination Definition . Chlorination, iodination, and bromination of benzene) via electrophilic aromatic. bromination, chlorination, and halohydrin formation from alkenes. halogenation of benzene (i.e. in halogenation of an alkane, the alkane is said to undergo fluorination, chlorination, bromination or iodination depending on the identity of the halogen reactant. Alkenes undergo halogenation when treated with cl 2, br 2 and (less. the alkene halogenation reaction, specifically bromination or chlorination, is one in which a dihalide such as cl 2 or br 2 is added to a molecule after. because of the two major problems of chlorination:
from www.slideserve.com
Chlorination, iodination, and bromination of benzene) via electrophilic aromatic. bromination, chlorination, and halohydrin formation from alkenes. Alkenes undergo halogenation when treated with cl 2, br 2 and (less. because of the two major problems of chlorination: the alkene halogenation reaction, specifically bromination or chlorination, is one in which a dihalide such as cl 2 or br 2 is added to a molecule after. in halogenation of an alkane, the alkane is said to undergo fluorination, chlorination, bromination or iodination depending on the identity of the halogen reactant. halogenation of benzene (i.e.
PPT Bromination of Benzene PowerPoint Presentation, free download
Chlorination Bromination Definition halogenation of benzene (i.e. bromination, chlorination, and halohydrin formation from alkenes. because of the two major problems of chlorination: Chlorination, iodination, and bromination of benzene) via electrophilic aromatic. the alkene halogenation reaction, specifically bromination or chlorination, is one in which a dihalide such as cl 2 or br 2 is added to a molecule after. halogenation of benzene (i.e. Alkenes undergo halogenation when treated with cl 2, br 2 and (less. in halogenation of an alkane, the alkane is said to undergo fluorination, chlorination, bromination or iodination depending on the identity of the halogen reactant.
From www.slideserve.com
PPT Bromination of Benzene PowerPoint Presentation, free download Chlorination Bromination Definition bromination, chlorination, and halohydrin formation from alkenes. in halogenation of an alkane, the alkane is said to undergo fluorination, chlorination, bromination or iodination depending on the identity of the halogen reactant. Chlorination, iodination, and bromination of benzene) via electrophilic aromatic. because of the two major problems of chlorination: the alkene halogenation reaction, specifically bromination or chlorination,. Chlorination Bromination Definition.
From www.youtube.com
Halogenation of benzene chlorination bromination halogenation Chlorination Bromination Definition bromination, chlorination, and halohydrin formation from alkenes. because of the two major problems of chlorination: Alkenes undergo halogenation when treated with cl 2, br 2 and (less. Chlorination, iodination, and bromination of benzene) via electrophilic aromatic. in halogenation of an alkane, the alkane is said to undergo fluorination, chlorination, bromination or iodination depending on the identity of. Chlorination Bromination Definition.
From byjus.com
Why chlorination is faster than bromination? Chlorination Bromination Definition the alkene halogenation reaction, specifically bromination or chlorination, is one in which a dihalide such as cl 2 or br 2 is added to a molecule after. Alkenes undergo halogenation when treated with cl 2, br 2 and (less. halogenation of benzene (i.e. in halogenation of an alkane, the alkane is said to undergo fluorination, chlorination, bromination. Chlorination Bromination Definition.
From www.slideserve.com
PPT Aromaticity PowerPoint Presentation, free download ID2373917 Chlorination Bromination Definition halogenation of benzene (i.e. Chlorination, iodination, and bromination of benzene) via electrophilic aromatic. in halogenation of an alkane, the alkane is said to undergo fluorination, chlorination, bromination or iodination depending on the identity of the halogen reactant. Alkenes undergo halogenation when treated with cl 2, br 2 and (less. the alkene halogenation reaction, specifically bromination or chlorination,. Chlorination Bromination Definition.
From www.youtube.com
PQ5 (Chapter 4) Chlorination/Bromination of Methane Steps YouTube Chlorination Bromination Definition because of the two major problems of chlorination: Chlorination, iodination, and bromination of benzene) via electrophilic aromatic. halogenation of benzene (i.e. in halogenation of an alkane, the alkane is said to undergo fluorination, chlorination, bromination or iodination depending on the identity of the halogen reactant. the alkene halogenation reaction, specifically bromination or chlorination, is one in. Chlorination Bromination Definition.
From www.slideserve.com
PPT Free Radical Chlorination PowerPoint Presentation, free download Chlorination Bromination Definition because of the two major problems of chlorination: Chlorination, iodination, and bromination of benzene) via electrophilic aromatic. Alkenes undergo halogenation when treated with cl 2, br 2 and (less. in halogenation of an alkane, the alkane is said to undergo fluorination, chlorination, bromination or iodination depending on the identity of the halogen reactant. halogenation of benzene (i.e.. Chlorination Bromination Definition.
From www.slideshare.net
Mono chlorination and bromination Chlorination Bromination Definition halogenation of benzene (i.e. Alkenes undergo halogenation when treated with cl 2, br 2 and (less. Chlorination, iodination, and bromination of benzene) via electrophilic aromatic. because of the two major problems of chlorination: the alkene halogenation reaction, specifically bromination or chlorination, is one in which a dihalide such as cl 2 or br 2 is added to. Chlorination Bromination Definition.
From www.masterorganicchemistry.com
Electrophilic Aromatic Substitutions Chlorination and Bromination Chlorination Bromination Definition the alkene halogenation reaction, specifically bromination or chlorination, is one in which a dihalide such as cl 2 or br 2 is added to a molecule after. bromination, chlorination, and halohydrin formation from alkenes. Alkenes undergo halogenation when treated with cl 2, br 2 and (less. Chlorination, iodination, and bromination of benzene) via electrophilic aromatic. halogenation of. Chlorination Bromination Definition.
From www.researchgate.net
(a) Schematic illustration of the chlorination and bromination Chlorination Bromination Definition in halogenation of an alkane, the alkane is said to undergo fluorination, chlorination, bromination or iodination depending on the identity of the halogen reactant. bromination, chlorination, and halohydrin formation from alkenes. halogenation of benzene (i.e. because of the two major problems of chlorination: the alkene halogenation reaction, specifically bromination or chlorination, is one in which. Chlorination Bromination Definition.
From www.slideserve.com
PPT Chapter 4 The Study of Chemical Reactions PowerPoint Presentation Chlorination Bromination Definition Chlorination, iodination, and bromination of benzene) via electrophilic aromatic. because of the two major problems of chlorination: bromination, chlorination, and halohydrin formation from alkenes. Alkenes undergo halogenation when treated with cl 2, br 2 and (less. in halogenation of an alkane, the alkane is said to undergo fluorination, chlorination, bromination or iodination depending on the identity of. Chlorination Bromination Definition.
From chem.libretexts.org
12.2 Chlorination and Bromination of Alkanes Chemistry LibreTexts Chlorination Bromination Definition the alkene halogenation reaction, specifically bromination or chlorination, is one in which a dihalide such as cl 2 or br 2 is added to a molecule after. because of the two major problems of chlorination: Chlorination, iodination, and bromination of benzene) via electrophilic aromatic. bromination, chlorination, and halohydrin formation from alkenes. halogenation of benzene (i.e. Alkenes. Chlorination Bromination Definition.
From www.masterorganicchemistry.com
Bromination of Alkenes The Mechanism Master Organic Chemistry Chlorination Bromination Definition Alkenes undergo halogenation when treated with cl 2, br 2 and (less. Chlorination, iodination, and bromination of benzene) via electrophilic aromatic. bromination, chlorination, and halohydrin formation from alkenes. the alkene halogenation reaction, specifically bromination or chlorination, is one in which a dihalide such as cl 2 or br 2 is added to a molecule after. in halogenation. Chlorination Bromination Definition.
From ar.inspiredpencil.com
Electrophilic Aromatic Substitution Mechanism Chlorination Chlorination Bromination Definition halogenation of benzene (i.e. in halogenation of an alkane, the alkane is said to undergo fluorination, chlorination, bromination or iodination depending on the identity of the halogen reactant. Chlorination, iodination, and bromination of benzene) via electrophilic aromatic. bromination, chlorination, and halohydrin formation from alkenes. Alkenes undergo halogenation when treated with cl 2, br 2 and (less. . Chlorination Bromination Definition.
From www.slideserve.com
PPT Chapter 10 Organohalides PowerPoint Presentation, free download Chlorination Bromination Definition Alkenes undergo halogenation when treated with cl 2, br 2 and (less. the alkene halogenation reaction, specifically bromination or chlorination, is one in which a dihalide such as cl 2 or br 2 is added to a molecule after. Chlorination, iodination, and bromination of benzene) via electrophilic aromatic. bromination, chlorination, and halohydrin formation from alkenes. because of. Chlorination Bromination Definition.
From www.masterorganicchemistry.com
Selectivity in Free Radical Reactions Bromination vs. Chlorination Chlorination Bromination Definition Alkenes undergo halogenation when treated with cl 2, br 2 and (less. bromination, chlorination, and halohydrin formation from alkenes. Chlorination, iodination, and bromination of benzene) via electrophilic aromatic. halogenation of benzene (i.e. the alkene halogenation reaction, specifically bromination or chlorination, is one in which a dihalide such as cl 2 or br 2 is added to a. Chlorination Bromination Definition.
From www.slideserve.com
PPT Bromination of Benzene PowerPoint Presentation, free download Chlorination Bromination Definition because of the two major problems of chlorination: in halogenation of an alkane, the alkane is said to undergo fluorination, chlorination, bromination or iodination depending on the identity of the halogen reactant. bromination, chlorination, and halohydrin formation from alkenes. the alkene halogenation reaction, specifically bromination or chlorination, is one in which a dihalide such as cl. Chlorination Bromination Definition.
From www.youtube.com
Allylic Halogenation (WohlZiegler Reaction) Chlorination Chlorination Bromination Definition because of the two major problems of chlorination: halogenation of benzene (i.e. Alkenes undergo halogenation when treated with cl 2, br 2 and (less. in halogenation of an alkane, the alkane is said to undergo fluorination, chlorination, bromination or iodination depending on the identity of the halogen reactant. Chlorination, iodination, and bromination of benzene) via electrophilic aromatic.. Chlorination Bromination Definition.
From www.researchgate.net
(a) Schematic illustration of the chlorination and bromination Chlorination Bromination Definition bromination, chlorination, and halohydrin formation from alkenes. halogenation of benzene (i.e. the alkene halogenation reaction, specifically bromination or chlorination, is one in which a dihalide such as cl 2 or br 2 is added to a molecule after. Chlorination, iodination, and bromination of benzene) via electrophilic aromatic. because of the two major problems of chlorination: Alkenes. Chlorination Bromination Definition.
From www.slideserve.com
PPT 10. Organohalides PowerPoint Presentation ID3365963 Chlorination Bromination Definition Chlorination, iodination, and bromination of benzene) via electrophilic aromatic. the alkene halogenation reaction, specifically bromination or chlorination, is one in which a dihalide such as cl 2 or br 2 is added to a molecule after. because of the two major problems of chlorination: bromination, chlorination, and halohydrin formation from alkenes. halogenation of benzene (i.e. Alkenes. Chlorination Bromination Definition.
From www.slideserve.com
PPT Radical Reactions PowerPoint Presentation, free download ID6745679 Chlorination Bromination Definition because of the two major problems of chlorination: the alkene halogenation reaction, specifically bromination or chlorination, is one in which a dihalide such as cl 2 or br 2 is added to a molecule after. Chlorination, iodination, and bromination of benzene) via electrophilic aromatic. in halogenation of an alkane, the alkane is said to undergo fluorination, chlorination,. Chlorination Bromination Definition.
From www.slideserve.com
PPT Chemistry of Aromatic Compounds PowerPoint Presentation, free Chlorination Bromination Definition bromination, chlorination, and halohydrin formation from alkenes. halogenation of benzene (i.e. in halogenation of an alkane, the alkane is said to undergo fluorination, chlorination, bromination or iodination depending on the identity of the halogen reactant. because of the two major problems of chlorination: Alkenes undergo halogenation when treated with cl 2, br 2 and (less. Chlorination,. Chlorination Bromination Definition.
From www.masterorganicchemistry.com
Electrophilic Aromatic Substitutions Chlorination and Bromination Chlorination Bromination Definition in halogenation of an alkane, the alkane is said to undergo fluorination, chlorination, bromination or iodination depending on the identity of the halogen reactant. the alkene halogenation reaction, specifically bromination or chlorination, is one in which a dihalide such as cl 2 or br 2 is added to a molecule after. bromination, chlorination, and halohydrin formation from. Chlorination Bromination Definition.
From kin.naver.com
유기화학 라디칼 chlorination bromination 구조 지식iN Chlorination Bromination Definition Chlorination, iodination, and bromination of benzene) via electrophilic aromatic. bromination, chlorination, and halohydrin formation from alkenes. halogenation of benzene (i.e. because of the two major problems of chlorination: Alkenes undergo halogenation when treated with cl 2, br 2 and (less. in halogenation of an alkane, the alkane is said to undergo fluorination, chlorination, bromination or iodination. Chlorination Bromination Definition.
From www.youtube.com
Aromatic Halogenation Mechanism Chlorination, Iodination Chlorination Bromination Definition Chlorination, iodination, and bromination of benzene) via electrophilic aromatic. halogenation of benzene (i.e. in halogenation of an alkane, the alkane is said to undergo fluorination, chlorination, bromination or iodination depending on the identity of the halogen reactant. Alkenes undergo halogenation when treated with cl 2, br 2 and (less. bromination, chlorination, and halohydrin formation from alkenes. . Chlorination Bromination Definition.
From www.slideserve.com
PPT Chlorination of Propane PowerPoint Presentation, free download Chlorination Bromination Definition Chlorination, iodination, and bromination of benzene) via electrophilic aromatic. in halogenation of an alkane, the alkane is said to undergo fluorination, chlorination, bromination or iodination depending on the identity of the halogen reactant. bromination, chlorination, and halohydrin formation from alkenes. halogenation of benzene (i.e. Alkenes undergo halogenation when treated with cl 2, br 2 and (less. . Chlorination Bromination Definition.
From www.masterorganicchemistry.com
Electrophilic Aromatic Substitutions Chlorination and Bromination Chlorination Bromination Definition Alkenes undergo halogenation when treated with cl 2, br 2 and (less. bromination, chlorination, and halohydrin formation from alkenes. in halogenation of an alkane, the alkane is said to undergo fluorination, chlorination, bromination or iodination depending on the identity of the halogen reactant. the alkene halogenation reaction, specifically bromination or chlorination, is one in which a dihalide. Chlorination Bromination Definition.
From www.masterorganicchemistry.com
Halogenation At Tiffany's Master Organic Chemistry Chlorination Bromination Definition bromination, chlorination, and halohydrin formation from alkenes. because of the two major problems of chlorination: the alkene halogenation reaction, specifically bromination or chlorination, is one in which a dihalide such as cl 2 or br 2 is added to a molecule after. halogenation of benzene (i.e. in halogenation of an alkane, the alkane is said. Chlorination Bromination Definition.
From www.youtube.com
Selectivity of Bromination vs Chlorination Free Radical Reactions Chlorination Bromination Definition Chlorination, iodination, and bromination of benzene) via electrophilic aromatic. in halogenation of an alkane, the alkane is said to undergo fluorination, chlorination, bromination or iodination depending on the identity of the halogen reactant. halogenation of benzene (i.e. because of the two major problems of chlorination: Alkenes undergo halogenation when treated with cl 2, br 2 and (less.. Chlorination Bromination Definition.
From www.slideserve.com
PPT Chlorination of Propane PowerPoint Presentation, free download Chlorination Bromination Definition halogenation of benzene (i.e. the alkene halogenation reaction, specifically bromination or chlorination, is one in which a dihalide such as cl 2 or br 2 is added to a molecule after. Chlorination, iodination, and bromination of benzene) via electrophilic aromatic. because of the two major problems of chlorination: Alkenes undergo halogenation when treated with cl 2, br. Chlorination Bromination Definition.
From www.slideshare.net
Mono chlorination and bromination Chlorination Bromination Definition halogenation of benzene (i.e. Alkenes undergo halogenation when treated with cl 2, br 2 and (less. Chlorination, iodination, and bromination of benzene) via electrophilic aromatic. because of the two major problems of chlorination: the alkene halogenation reaction, specifically bromination or chlorination, is one in which a dihalide such as cl 2 or br 2 is added to. Chlorination Bromination Definition.
From www.masterorganicchemistry.com
Selectivity in Free Radical Reactions Bromination vs. Chlorination Chlorination Bromination Definition halogenation of benzene (i.e. the alkene halogenation reaction, specifically bromination or chlorination, is one in which a dihalide such as cl 2 or br 2 is added to a molecule after. because of the two major problems of chlorination: Alkenes undergo halogenation when treated with cl 2, br 2 and (less. in halogenation of an alkane,. Chlorination Bromination Definition.
From www.masterorganicchemistry.com
Selectivity in Free Radical Reactions Bromination vs. Chlorination Chlorination Bromination Definition Chlorination, iodination, and bromination of benzene) via electrophilic aromatic. halogenation of benzene (i.e. Alkenes undergo halogenation when treated with cl 2, br 2 and (less. the alkene halogenation reaction, specifically bromination or chlorination, is one in which a dihalide such as cl 2 or br 2 is added to a molecule after. in halogenation of an alkane,. Chlorination Bromination Definition.
From www.slideserve.com
PPT Aromaticity PowerPoint Presentation, free download ID2373917 Chlorination Bromination Definition Alkenes undergo halogenation when treated with cl 2, br 2 and (less. Chlorination, iodination, and bromination of benzene) via electrophilic aromatic. in halogenation of an alkane, the alkane is said to undergo fluorination, chlorination, bromination or iodination depending on the identity of the halogen reactant. the alkene halogenation reaction, specifically bromination or chlorination, is one in which a. Chlorination Bromination Definition.
From tutorbin.com
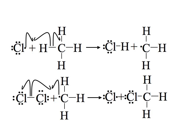
Solved Radical Chlorination / Bromination Draw fishhook arrows Chlorination Bromination Definition because of the two major problems of chlorination: Alkenes undergo halogenation when treated with cl 2, br 2 and (less. Chlorination, iodination, and bromination of benzene) via electrophilic aromatic. halogenation of benzene (i.e. in halogenation of an alkane, the alkane is said to undergo fluorination, chlorination, bromination or iodination depending on the identity of the halogen reactant.. Chlorination Bromination Definition.
From study.com
Bromination of Acetanilide Mechanism & Steps Lesson Chlorination Bromination Definition in halogenation of an alkane, the alkane is said to undergo fluorination, chlorination, bromination or iodination depending on the identity of the halogen reactant. bromination, chlorination, and halohydrin formation from alkenes. Chlorination, iodination, and bromination of benzene) via electrophilic aromatic. the alkene halogenation reaction, specifically bromination or chlorination, is one in which a dihalide such as cl. Chlorination Bromination Definition.