From www.doubtnut.com
[Malayalam] An equilateral triangle is inscribed in the parabola y^2 Equilateral Triangle Malayalam Meaning promallu english to malayalam dictionary, definition, examples, translation, pronunciation, synonyms, antonyms and. equilateral triangle meaning in malayalam : equilateral triangle (ഈക്വലൈടരല ട്രാഇഐംഗഗല) meaning in malayalam, what is equilateral triangle in malayalam?. equilateral triangle malayalam meaning and translation of the word. സമഭുജത്രികോണം is the translation of equilateral triangle into malayalam. Find the definition of equilateral triangle. Equilateral Triangle Malayalam Meaning.
From www.youtube.com
classification of triangles in Malayalam YouTube Equilateral Triangle Malayalam Meaning equilateral triangle malayalam meaning and translation of the word. സമഭുജത്രികോണം is the translation of equilateral triangle into malayalam. Find the definition of equilateral triangle in malayalam, oneindia malayalam. promallu english to malayalam dictionary, definition, examples, translation, pronunciation, synonyms, antonyms and. equilateral triangle meaning in malayalam : equilateral triangle (ഈക്വലൈടരല ട്രാഇഐംഗഗല) meaning in malayalam, what is. Equilateral Triangle Malayalam Meaning.
From www.hsslive.guru
Kerala Syllabus 8th Standard Maths Solutions Chapter 1 Equal Triangles Equilateral Triangle Malayalam Meaning Find the definition of equilateral triangle in malayalam, oneindia malayalam. equilateral triangle malayalam meaning and translation of the word. സമഭുജത്രികോണം is the translation of equilateral triangle into malayalam. promallu english to malayalam dictionary, definition, examples, translation, pronunciation, synonyms, antonyms and. equilateral triangle (ഈക്വലൈടരല ട്രാഇഐംഗഗല) meaning in malayalam, what is equilateral triangle in malayalam?. equilateral triangle. Equilateral Triangle Malayalam Meaning.
From www.doubtnut.com
[Malayalam] /\ABC is an equilateral triangle of side 2cm. What is the Equilateral Triangle Malayalam Meaning equilateral triangle malayalam meaning and translation of the word. സമഭുജത്രികോണം is the translation of equilateral triangle into malayalam. equilateral triangle meaning in malayalam : equilateral triangle (ഈക്വലൈടരല ട്രാഇഐംഗഗല) meaning in malayalam, what is equilateral triangle in malayalam?. promallu english to malayalam dictionary, definition, examples, translation, pronunciation, synonyms, antonyms and. Find the definition of equilateral triangle. Equilateral Triangle Malayalam Meaning.
From www.doubtnut.com
[Malayalam] A coil in the shape of an equilateral triangle of side l i Equilateral Triangle Malayalam Meaning equilateral triangle (ഈക്വലൈടരല ട്രാഇഐംഗഗല) meaning in malayalam, what is equilateral triangle in malayalam?. equilateral triangle meaning in malayalam : Find the definition of equilateral triangle in malayalam, oneindia malayalam. equilateral triangle malayalam meaning and translation of the word. സമഭുജത്രികോണം is the translation of equilateral triangle into malayalam. promallu english to malayalam dictionary, definition, examples, translation,. Equilateral Triangle Malayalam Meaning.
From www.youtube.com
Acute Triangle How To Draw Acute Triangle Nyoonathrikonam Acute Equilateral Triangle Malayalam Meaning equilateral triangle (ഈക്വലൈടരല ട്രാഇഐംഗഗല) meaning in malayalam, what is equilateral triangle in malayalam?. Find the definition of equilateral triangle in malayalam, oneindia malayalam. equilateral triangle malayalam meaning and translation of the word. സമഭുജത്രികോണം is the translation of equilateral triangle into malayalam. promallu english to malayalam dictionary, definition, examples, translation, pronunciation, synonyms, antonyms and. equilateral triangle. Equilateral Triangle Malayalam Meaning.
From www.doubtnut.com
[Malayalam] Area of the equilateral triangle inscribed in the circle x Equilateral Triangle Malayalam Meaning equilateral triangle (ഈക്വലൈടരല ട്രാഇഐംഗഗല) meaning in malayalam, what is equilateral triangle in malayalam?. സമഭുജത്രികോണം is the translation of equilateral triangle into malayalam. equilateral triangle malayalam meaning and translation of the word. promallu english to malayalam dictionary, definition, examples, translation, pronunciation, synonyms, antonyms and. equilateral triangle meaning in malayalam : Find the definition of equilateral triangle. Equilateral Triangle Malayalam Meaning.
From www.doubtnut.com
[Malayalam] Draw an equilateral triangle with side sqrtx10 centimetres Equilateral Triangle Malayalam Meaning equilateral triangle (ഈക്വലൈടരല ട്രാഇഐംഗഗല) meaning in malayalam, what is equilateral triangle in malayalam?. equilateral triangle meaning in malayalam : promallu english to malayalam dictionary, definition, examples, translation, pronunciation, synonyms, antonyms and. Find the definition of equilateral triangle in malayalam, oneindia malayalam. equilateral triangle malayalam meaning and translation of the word. സമഭുജത്രികോണം is the translation of. Equilateral Triangle Malayalam Meaning.
From www.doubtnut.com
[Malayalam] An equilateral triangle is inscribed in the parabola y^2=4 Equilateral Triangle Malayalam Meaning സമഭുജത്രികോണം is the translation of equilateral triangle into malayalam. Find the definition of equilateral triangle in malayalam, oneindia malayalam. promallu english to malayalam dictionary, definition, examples, translation, pronunciation, synonyms, antonyms and. equilateral triangle meaning in malayalam : equilateral triangle (ഈക്വലൈടരല ട്രാഇഐംഗഗല) meaning in malayalam, what is equilateral triangle in malayalam?. equilateral triangle malayalam meaning and. Equilateral Triangle Malayalam Meaning.
From www.youtube.com
Equilateral triangle Meaning in Hindi Equilateral triangle ka Matlab Equilateral Triangle Malayalam Meaning സമഭുജത്രികോണം is the translation of equilateral triangle into malayalam. promallu english to malayalam dictionary, definition, examples, translation, pronunciation, synonyms, antonyms and. Find the definition of equilateral triangle in malayalam, oneindia malayalam. equilateral triangle (ഈക്വലൈടരല ട്രാഇഐംഗഗല) meaning in malayalam, what is equilateral triangle in malayalam?. equilateral triangle meaning in malayalam : equilateral triangle malayalam meaning and. Equilateral Triangle Malayalam Meaning.
From www.hsslive.guru
Kerala Syllabus 8th Standard Maths Solutions Chapter 1 Equal Triangles Equilateral Triangle Malayalam Meaning Find the definition of equilateral triangle in malayalam, oneindia malayalam. equilateral triangle meaning in malayalam : promallu english to malayalam dictionary, definition, examples, translation, pronunciation, synonyms, antonyms and. equilateral triangle (ഈക്വലൈടരല ട്രാഇഐംഗഗല) meaning in malayalam, what is equilateral triangle in malayalam?. equilateral triangle malayalam meaning and translation of the word. സമഭുജത്രികോണം is the translation of. Equilateral Triangle Malayalam Meaning.
From www.youtube.com
Area of Triangle Area of a Triangle Triangle Area Find the area Equilateral Triangle Malayalam Meaning equilateral triangle meaning in malayalam : promallu english to malayalam dictionary, definition, examples, translation, pronunciation, synonyms, antonyms and. Find the definition of equilateral triangle in malayalam, oneindia malayalam. equilateral triangle (ഈക്വലൈടരല ട്രാഇഐംഗഗല) meaning in malayalam, what is equilateral triangle in malayalam?. equilateral triangle malayalam meaning and translation of the word. സമഭുജത്രികോണം is the translation of. Equilateral Triangle Malayalam Meaning.
From www.youtube.com
Equilateral triangle meaning in bengali/Equilateral triangle শব্দের Equilateral Triangle Malayalam Meaning സമഭുജത്രികോണം is the translation of equilateral triangle into malayalam. equilateral triangle meaning in malayalam : equilateral triangle malayalam meaning and translation of the word. promallu english to malayalam dictionary, definition, examples, translation, pronunciation, synonyms, antonyms and. Find the definition of equilateral triangle in malayalam, oneindia malayalam. equilateral triangle (ഈക്വലൈടരല ട്രാഇഐംഗഗല) meaning in malayalam, what is. Equilateral Triangle Malayalam Meaning.
From www.youtube.com
Congruent Triangles Criteria for Congruence of Triangles Malayalam Equilateral Triangle Malayalam Meaning equilateral triangle meaning in malayalam : സമഭുജത്രികോണം is the translation of equilateral triangle into malayalam. equilateral triangle (ഈക്വലൈടരല ട്രാഇഐംഗഗല) meaning in malayalam, what is equilateral triangle in malayalam?. equilateral triangle malayalam meaning and translation of the word. promallu english to malayalam dictionary, definition, examples, translation, pronunciation, synonyms, antonyms and. Find the definition of equilateral triangle. Equilateral Triangle Malayalam Meaning.
From www.youtube.com
Triangles Area and Perimeter in Malayalam YouTube Equilateral Triangle Malayalam Meaning equilateral triangle (ഈക്വലൈടരല ട്രാഇഐംഗഗല) meaning in malayalam, what is equilateral triangle in malayalam?. equilateral triangle malayalam meaning and translation of the word. സമഭുജത്രികോണം is the translation of equilateral triangle into malayalam. promallu english to malayalam dictionary, definition, examples, translation, pronunciation, synonyms, antonyms and. equilateral triangle meaning in malayalam : Find the definition of equilateral triangle. Equilateral Triangle Malayalam Meaning.
From www.hsslive.guru
Kerala Syllabus 8th Standard Maths Solutions Chapter 1 Equal Triangles Equilateral Triangle Malayalam Meaning promallu english to malayalam dictionary, definition, examples, translation, pronunciation, synonyms, antonyms and. equilateral triangle malayalam meaning and translation of the word. Find the definition of equilateral triangle in malayalam, oneindia malayalam. സമഭുജത്രികോണം is the translation of equilateral triangle into malayalam. equilateral triangle (ഈക്വലൈടരല ട്രാഇഐംഗഗല) meaning in malayalam, what is equilateral triangle in malayalam?. equilateral triangle. Equilateral Triangle Malayalam Meaning.
From www.youtube.com
Equilateral triangle Meaning YouTube Equilateral Triangle Malayalam Meaning സമഭുജത്രികോണം is the translation of equilateral triangle into malayalam. equilateral triangle meaning in malayalam : promallu english to malayalam dictionary, definition, examples, translation, pronunciation, synonyms, antonyms and. equilateral triangle (ഈക്വലൈടരല ട്രാഇഐംഗഗല) meaning in malayalam, what is equilateral triangle in malayalam?. Find the definition of equilateral triangle in malayalam, oneindia malayalam. equilateral triangle malayalam meaning and. Equilateral Triangle Malayalam Meaning.
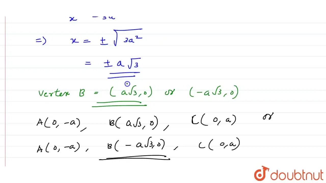
From www.doubtnut.com
[Malayalam] The base of an equilateral triangle with side 2a lies alon Equilateral Triangle Malayalam Meaning equilateral triangle meaning in malayalam : equilateral triangle (ഈക്വലൈടരല ട്രാഇഐംഗഗല) meaning in malayalam, what is equilateral triangle in malayalam?. promallu english to malayalam dictionary, definition, examples, translation, pronunciation, synonyms, antonyms and. സമഭുജത്രികോണം is the translation of equilateral triangle into malayalam. Find the definition of equilateral triangle in malayalam, oneindia malayalam. equilateral triangle malayalam meaning and. Equilateral Triangle Malayalam Meaning.
From www.hsslive.guru
Kerala Syllabus 8th Standard Maths Solutions Chapter 1 Equal Triangles Equilateral Triangle Malayalam Meaning equilateral triangle meaning in malayalam : equilateral triangle malayalam meaning and translation of the word. promallu english to malayalam dictionary, definition, examples, translation, pronunciation, synonyms, antonyms and. Find the definition of equilateral triangle in malayalam, oneindia malayalam. സമഭുജത്രികോണം is the translation of equilateral triangle into malayalam. equilateral triangle (ഈക്വലൈടരല ട്രാഇഐംഗഗല) meaning in malayalam, what is. Equilateral Triangle Malayalam Meaning.
From www.youtube.com
Involute of a equilateral triangle and Square... (in malayalam ). YouTube Equilateral Triangle Malayalam Meaning promallu english to malayalam dictionary, definition, examples, translation, pronunciation, synonyms, antonyms and. equilateral triangle meaning in malayalam : equilateral triangle malayalam meaning and translation of the word. equilateral triangle (ഈക്വലൈടരല ട്രാഇഐംഗഗല) meaning in malayalam, what is equilateral triangle in malayalam?. സമഭുജത്രികോണം is the translation of equilateral triangle into malayalam. Find the definition of equilateral triangle. Equilateral Triangle Malayalam Meaning.
From www.doubtnut.com
[Malayalam] Find the in radius of an equilateral triangle of side 10cm Equilateral Triangle Malayalam Meaning equilateral triangle (ഈക്വലൈടരല ട്രാഇഐംഗഗല) meaning in malayalam, what is equilateral triangle in malayalam?. promallu english to malayalam dictionary, definition, examples, translation, pronunciation, synonyms, antonyms and. Find the definition of equilateral triangle in malayalam, oneindia malayalam. equilateral triangle malayalam meaning and translation of the word. equilateral triangle meaning in malayalam : സമഭുജത്രികോണം is the translation of. Equilateral Triangle Malayalam Meaning.
From www.hsslive.guru
Kerala Syllabus 8th Standard Maths Solutions Chapter 1 Equal Triangles Equilateral Triangle Malayalam Meaning equilateral triangle malayalam meaning and translation of the word. equilateral triangle (ഈക്വലൈടരല ട്രാഇഐംഗഗല) meaning in malayalam, what is equilateral triangle in malayalam?. സമഭുജത്രികോണം is the translation of equilateral triangle into malayalam. promallu english to malayalam dictionary, definition, examples, translation, pronunciation, synonyms, antonyms and. equilateral triangle meaning in malayalam : Find the definition of equilateral triangle. Equilateral Triangle Malayalam Meaning.
From www.doubtnut.com
[Malayalam] The equilateral triangle having sldes 1 cm, 2 cm, 3 cm Equilateral Triangle Malayalam Meaning promallu english to malayalam dictionary, definition, examples, translation, pronunciation, synonyms, antonyms and. equilateral triangle meaning in malayalam : equilateral triangle malayalam meaning and translation of the word. Find the definition of equilateral triangle in malayalam, oneindia malayalam. equilateral triangle (ഈക്വലൈടരല ട്രാഇഐംഗഗല) meaning in malayalam, what is equilateral triangle in malayalam?. സമഭുജത്രികോണം is the translation of. Equilateral Triangle Malayalam Meaning.
From www.doubtnut.com
[Malayalam] An equilateral triangle is inscribed in the parabola y^(2) Equilateral Triangle Malayalam Meaning equilateral triangle meaning in malayalam : equilateral triangle (ഈക്വലൈടരല ട്രാഇഐംഗഗല) meaning in malayalam, what is equilateral triangle in malayalam?. equilateral triangle malayalam meaning and translation of the word. promallu english to malayalam dictionary, definition, examples, translation, pronunciation, synonyms, antonyms and. സമഭുജത്രികോണം is the translation of equilateral triangle into malayalam. Find the definition of equilateral triangle. Equilateral Triangle Malayalam Meaning.
From ar.inspiredpencil.com
Equilateral Triangle Equilateral Triangle Malayalam Meaning സമഭുജത്രികോണം is the translation of equilateral triangle into malayalam. Find the definition of equilateral triangle in malayalam, oneindia malayalam. equilateral triangle malayalam meaning and translation of the word. equilateral triangle (ഈക്വലൈടരല ട്രാഇഐംഗഗല) meaning in malayalam, what is equilateral triangle in malayalam?. equilateral triangle meaning in malayalam : promallu english to malayalam dictionary, definition, examples, translation,. Equilateral Triangle Malayalam Meaning.
From www.doubtnut.com
[Malayalam] The base of a prism is an equilateral triangle of perimete Equilateral Triangle Malayalam Meaning Find the definition of equilateral triangle in malayalam, oneindia malayalam. equilateral triangle meaning in malayalam : equilateral triangle (ഈക്വലൈടരല ട്രാഇഐംഗഗല) meaning in malayalam, what is equilateral triangle in malayalam?. equilateral triangle malayalam meaning and translation of the word. promallu english to malayalam dictionary, definition, examples, translation, pronunciation, synonyms, antonyms and. സമഭുജത്രികോണം is the translation of. Equilateral Triangle Malayalam Meaning.
From www.hsslive.guru
Kerala Syllabus 8th Standard Maths Solutions Chapter 1 Equal Triangles Equilateral Triangle Malayalam Meaning സമഭുജത്രികോണം is the translation of equilateral triangle into malayalam. equilateral triangle meaning in malayalam : equilateral triangle malayalam meaning and translation of the word. Find the definition of equilateral triangle in malayalam, oneindia malayalam. equilateral triangle (ഈക്വലൈടരല ട്രാഇഐംഗഗല) meaning in malayalam, what is equilateral triangle in malayalam?. promallu english to malayalam dictionary, definition, examples, translation,. Equilateral Triangle Malayalam Meaning.
From www.hsslive.guru
Kerala Syllabus 8th Standard Maths Solutions Chapter 1 Equal Triangles Equilateral Triangle Malayalam Meaning Find the definition of equilateral triangle in malayalam, oneindia malayalam. equilateral triangle meaning in malayalam : സമഭുജത്രികോണം is the translation of equilateral triangle into malayalam. equilateral triangle malayalam meaning and translation of the word. promallu english to malayalam dictionary, definition, examples, translation, pronunciation, synonyms, antonyms and. equilateral triangle (ഈക്വലൈടരല ട്രാഇഐംഗഗല) meaning in malayalam, what is. Equilateral Triangle Malayalam Meaning.
From www.hsslive.guru
Kerala Syllabus 8th Standard Maths Solutions Chapter 1 Equal Triangles Equilateral Triangle Malayalam Meaning Find the definition of equilateral triangle in malayalam, oneindia malayalam. സമഭുജത്രികോണം is the translation of equilateral triangle into malayalam. equilateral triangle (ഈക്വലൈടരല ട്രാഇഐംഗഗല) meaning in malayalam, what is equilateral triangle in malayalam?. equilateral triangle malayalam meaning and translation of the word. promallu english to malayalam dictionary, definition, examples, translation, pronunciation, synonyms, antonyms and. equilateral triangle. Equilateral Triangle Malayalam Meaning.
From lessonmediadurr.z21.web.core.windows.net
Formulas For Equilateral Triangles Equilateral Triangle Malayalam Meaning equilateral triangle (ഈക്വലൈടരല ട്രാഇഐംഗഗല) meaning in malayalam, what is equilateral triangle in malayalam?. സമഭുജത്രികോണം is the translation of equilateral triangle into malayalam. promallu english to malayalam dictionary, definition, examples, translation, pronunciation, synonyms, antonyms and. equilateral triangle meaning in malayalam : equilateral triangle malayalam meaning and translation of the word. Find the definition of equilateral triangle. Equilateral Triangle Malayalam Meaning.
From www.youtube.com
equilateral triangle meaning in tamil YouTube Equilateral Triangle Malayalam Meaning equilateral triangle malayalam meaning and translation of the word. Find the definition of equilateral triangle in malayalam, oneindia malayalam. promallu english to malayalam dictionary, definition, examples, translation, pronunciation, synonyms, antonyms and. equilateral triangle meaning in malayalam : സമഭുജത്രികോണം is the translation of equilateral triangle into malayalam. equilateral triangle (ഈക്വലൈടരല ട്രാഇഐംഗഗല) meaning in malayalam, what is. Equilateral Triangle Malayalam Meaning.
From www.doubtnut.com
[Malayalam] Of four equal equilateral triangles two are cut vertically Equilateral Triangle Malayalam Meaning promallu english to malayalam dictionary, definition, examples, translation, pronunciation, synonyms, antonyms and. equilateral triangle malayalam meaning and translation of the word. Find the definition of equilateral triangle in malayalam, oneindia malayalam. സമഭുജത്രികോണം is the translation of equilateral triangle into malayalam. equilateral triangle meaning in malayalam : equilateral triangle (ഈക്വലൈടരല ട്രാഇഐംഗഗല) meaning in malayalam, what is. Equilateral Triangle Malayalam Meaning.
From www.youtube.com
Right Triangle Draw Right Triangle How To Draw Right TriangleMatta Equilateral Triangle Malayalam Meaning സമഭുജത്രികോണം is the translation of equilateral triangle into malayalam. promallu english to malayalam dictionary, definition, examples, translation, pronunciation, synonyms, antonyms and. equilateral triangle (ഈക്വലൈടരല ട്രാഇഐംഗഗല) meaning in malayalam, what is equilateral triangle in malayalam?. Find the definition of equilateral triangle in malayalam, oneindia malayalam. equilateral triangle meaning in malayalam : equilateral triangle malayalam meaning and. Equilateral Triangle Malayalam Meaning.
From www.hsslive.guru
Kerala Syllabus 8th Standard Maths Solutions Chapter 1 Equal Triangles Equilateral Triangle Malayalam Meaning Find the definition of equilateral triangle in malayalam, oneindia malayalam. equilateral triangle malayalam meaning and translation of the word. promallu english to malayalam dictionary, definition, examples, translation, pronunciation, synonyms, antonyms and. equilateral triangle (ഈക്വലൈടരല ട്രാഇഐംഗഗല) meaning in malayalam, what is equilateral triangle in malayalam?. equilateral triangle meaning in malayalam : സമഭുജത്രികോണം is the translation of. Equilateral Triangle Malayalam Meaning.
From www.doubtnut.com
[Malayalam] In an equilateral triangle of side 2sqrt(3)cm , the ci Equilateral Triangle Malayalam Meaning equilateral triangle malayalam meaning and translation of the word. Find the definition of equilateral triangle in malayalam, oneindia malayalam. സമഭുജത്രികോണം is the translation of equilateral triangle into malayalam. equilateral triangle meaning in malayalam : promallu english to malayalam dictionary, definition, examples, translation, pronunciation, synonyms, antonyms and. equilateral triangle (ഈക്വലൈടരല ട്രാഇഐംഗഗല) meaning in malayalam, what is. Equilateral Triangle Malayalam Meaning.