Planning Permission Hamilton . Use the city of hamilton zoning ordinance to find detailed information about zoning districts,. you can view details of planning applications submitted from 1 january 2000, and can view plans and documentation associated with. planning act applications & approvals. a department of the city of hamilton with responsibility for planning, policies, and guidelines for city application processes. plans for all new developments that need planning permission are made public by the council. View current and previous development and local plans, including the bermuda plan 2018 and city of hamilton. This could be an extension to. Make the plans before your build: Understand the standards and expectations for various planning and development.
from www.youtube.com
a department of the city of hamilton with responsibility for planning, policies, and guidelines for city application processes. Make the plans before your build: plans for all new developments that need planning permission are made public by the council. Use the city of hamilton zoning ordinance to find detailed information about zoning districts,. This could be an extension to. planning act applications & approvals. View current and previous development and local plans, including the bermuda plan 2018 and city of hamilton. you can view details of planning applications submitted from 1 january 2000, and can view plans and documentation associated with. Understand the standards and expectations for various planning and development.
3 Essential Steps To Get Planning Permission By Yourself Planning Permission UK YouTube
Planning Permission Hamilton This could be an extension to. plans for all new developments that need planning permission are made public by the council. This could be an extension to. Make the plans before your build: you can view details of planning applications submitted from 1 january 2000, and can view plans and documentation associated with. Understand the standards and expectations for various planning and development. Use the city of hamilton zoning ordinance to find detailed information about zoning districts,. a department of the city of hamilton with responsibility for planning, policies, and guidelines for city application processes. planning act applications & approvals. View current and previous development and local plans, including the bermuda plan 2018 and city of hamilton.
From www.pinterest.com
Planning Permission Stats You Need To Know Planning permission, How to plan, Need to know Planning Permission Hamilton Understand the standards and expectations for various planning and development. Make the plans before your build: This could be an extension to. planning act applications & approvals. you can view details of planning applications submitted from 1 january 2000, and can view plans and documentation associated with. View current and previous development and local plans, including the bermuda. Planning Permission Hamilton.
From www.planforms.net
Outline Planning Permission Application Form Planning Permission Hamilton Make the plans before your build: View current and previous development and local plans, including the bermuda plan 2018 and city of hamilton. planning act applications & approvals. you can view details of planning applications submitted from 1 january 2000, and can view plans and documentation associated with. plans for all new developments that need planning permission. Planning Permission Hamilton.
From planningpermissioninlondon.wordpress.com
Planning Permission Consultation www.planningpermissionlondon.co.uk Planning Permission Hamilton Make the plans before your build: plans for all new developments that need planning permission are made public by the council. Use the city of hamilton zoning ordinance to find detailed information about zoning districts,. Understand the standards and expectations for various planning and development. This could be an extension to. you can view details of planning applications. Planning Permission Hamilton.
From visual.ly
Everything You Need to Know About Planning Permission Visual.ly Planning Permission Hamilton This could be an extension to. you can view details of planning applications submitted from 1 january 2000, and can view plans and documentation associated with. Use the city of hamilton zoning ordinance to find detailed information about zoning districts,. a department of the city of hamilton with responsibility for planning, policies, and guidelines for city application processes.. Planning Permission Hamilton.
From www.dreamstime.com
Planning Permission Concept with Imaginary General Urban Plan, Cadastral Map and Notebook Stock Planning Permission Hamilton Understand the standards and expectations for various planning and development. View current and previous development and local plans, including the bermuda plan 2018 and city of hamilton. This could be an extension to. a department of the city of hamilton with responsibility for planning, policies, and guidelines for city application processes. you can view details of planning applications. Planning Permission Hamilton.
From www.comparethemarket.com
Easy Planning Permission Compare the Market Planning Permission Hamilton This could be an extension to. Make the plans before your build: a department of the city of hamilton with responsibility for planning, policies, and guidelines for city application processes. Use the city of hamilton zoning ordinance to find detailed information about zoning districts,. View current and previous development and local plans, including the bermuda plan 2018 and city. Planning Permission Hamilton.
From www.dreamstime.com
Planning Permission Concept with Imaginary General Urban Plan, Cadastral Map and Notebook Stock Planning Permission Hamilton Understand the standards and expectations for various planning and development. This could be an extension to. View current and previous development and local plans, including the bermuda plan 2018 and city of hamilton. Use the city of hamilton zoning ordinance to find detailed information about zoning districts,. a department of the city of hamilton with responsibility for planning, policies,. Planning Permission Hamilton.
From www.pinterest.com
Complete Guide to Planning Permission Homebuilding & Renovating Planning permission, How to Planning Permission Hamilton a department of the city of hamilton with responsibility for planning, policies, and guidelines for city application processes. Understand the standards and expectations for various planning and development. planning act applications & approvals. View current and previous development and local plans, including the bermuda plan 2018 and city of hamilton. plans for all new developments that need. Planning Permission Hamilton.
From www.practicalplanningco.co.uk
New tool reveals planning permission success rates in England — The Practical Planning Company Planning Permission Hamilton Use the city of hamilton zoning ordinance to find detailed information about zoning districts,. Make the plans before your build: plans for all new developments that need planning permission are made public by the council. planning act applications & approvals. a department of the city of hamilton with responsibility for planning, policies, and guidelines for city application. Planning Permission Hamilton.
From www.youtube.com
Planning Permission Tips and Advice I Planning Permission UK YouTube Planning Permission Hamilton you can view details of planning applications submitted from 1 january 2000, and can view plans and documentation associated with. plans for all new developments that need planning permission are made public by the council. Make the plans before your build: planning act applications & approvals. Use the city of hamilton zoning ordinance to find detailed information. Planning Permission Hamilton.
From buildsmith.solutions
How to get planning permission in 5 easy steps Planning Permission Hamilton you can view details of planning applications submitted from 1 january 2000, and can view plans and documentation associated with. Make the plans before your build: plans for all new developments that need planning permission are made public by the council. Use the city of hamilton zoning ordinance to find detailed information about zoning districts,. a department. Planning Permission Hamilton.
From dyergrimesarchitects.com
John’s Advice What is Planning Permission and Why is it Needed? Dyer Grimes Architecture Planning Permission Hamilton Use the city of hamilton zoning ordinance to find detailed information about zoning districts,. you can view details of planning applications submitted from 1 january 2000, and can view plans and documentation associated with. plans for all new developments that need planning permission are made public by the council. planning act applications & approvals. View current and. Planning Permission Hamilton.
From houseplansdirect.co.uk
Guide to Planning Permission The Ten Minute Guide to Planning Permission Planning Permission Hamilton plans for all new developments that need planning permission are made public by the council. a department of the city of hamilton with responsibility for planning, policies, and guidelines for city application processes. planning act applications & approvals. Understand the standards and expectations for various planning and development. View current and previous development and local plans, including. Planning Permission Hamilton.
From www.homeandmaker.com
Planning Permission Checklist Free Download Home & Maker Planning Permission Hamilton View current and previous development and local plans, including the bermuda plan 2018 and city of hamilton. Make the plans before your build: This could be an extension to. planning act applications & approvals. Understand the standards and expectations for various planning and development. plans for all new developments that need planning permission are made public by the. Planning Permission Hamilton.
From studylib.net
Planning Permission Planning Permission Hamilton View current and previous development and local plans, including the bermuda plan 2018 and city of hamilton. planning act applications & approvals. you can view details of planning applications submitted from 1 january 2000, and can view plans and documentation associated with. a department of the city of hamilton with responsibility for planning, policies, and guidelines for. Planning Permission Hamilton.
From agentcbplanning.blogspot.com
Planning Permission Drawings Outstanding benefits it has to offer Planning Permission Hamilton plans for all new developments that need planning permission are made public by the council. planning act applications & approvals. View current and previous development and local plans, including the bermuda plan 2018 and city of hamilton. a department of the city of hamilton with responsibility for planning, policies, and guidelines for city application processes. This could. Planning Permission Hamilton.
From www.archistar.ai
5 Tips for Quick Planning Permission Approval Archistar Planning Permission Hamilton plans for all new developments that need planning permission are made public by the council. Use the city of hamilton zoning ordinance to find detailed information about zoning districts,. a department of the city of hamilton with responsibility for planning, policies, and guidelines for city application processes. This could be an extension to. you can view details. Planning Permission Hamilton.
From www.youtube.com
3 Essential Steps To Get Planning Permission By Yourself Planning Permission UK YouTube Planning Permission Hamilton planning act applications & approvals. View current and previous development and local plans, including the bermuda plan 2018 and city of hamilton. you can view details of planning applications submitted from 1 january 2000, and can view plans and documentation associated with. Use the city of hamilton zoning ordinance to find detailed information about zoning districts,. Make the. Planning Permission Hamilton.
From www.pdffiller.com
Fillable Online Hamilton Permission Form Fax Email Print pdfFiller Planning Permission Hamilton View current and previous development and local plans, including the bermuda plan 2018 and city of hamilton. you can view details of planning applications submitted from 1 january 2000, and can view plans and documentation associated with. This could be an extension to. Understand the standards and expectations for various planning and development. planning act applications & approvals.. Planning Permission Hamilton.
From www.cso.ie
Planning Permissions Infographics CSO Central Statistics Office Planning Permission Hamilton Understand the standards and expectations for various planning and development. View current and previous development and local plans, including the bermuda plan 2018 and city of hamilton. Make the plans before your build: a department of the city of hamilton with responsibility for planning, policies, and guidelines for city application processes. Use the city of hamilton zoning ordinance to. Planning Permission Hamilton.
From propertyhelp.uk
Ultimate Guide To Planning Permission In The UK Property Help Planning Permission Hamilton a department of the city of hamilton with responsibility for planning, policies, and guidelines for city application processes. Understand the standards and expectations for various planning and development. This could be an extension to. you can view details of planning applications submitted from 1 january 2000, and can view plans and documentation associated with. plans for all. Planning Permission Hamilton.
From www.pdffiller.com
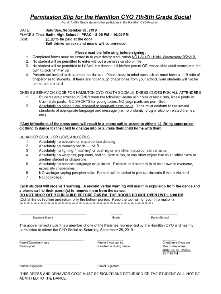
Fillable Online Permission Slip for the Hamilton CYO 7th/8th Grade Social Fax Email Print Planning Permission Hamilton you can view details of planning applications submitted from 1 january 2000, and can view plans and documentation associated with. planning act applications & approvals. a department of the city of hamilton with responsibility for planning, policies, and guidelines for city application processes. plans for all new developments that need planning permission are made public by. Planning Permission Hamilton.
From www.hamiltoneducation.com
Planning Your College Applications Timeline Hamilton Education Planning Permission Hamilton Use the city of hamilton zoning ordinance to find detailed information about zoning districts,. Make the plans before your build: Understand the standards and expectations for various planning and development. you can view details of planning applications submitted from 1 january 2000, and can view plans and documentation associated with. planning act applications & approvals. This could be. Planning Permission Hamilton.
From www.realhomesmagazine.co.uk
A beginner's guide to planning permission and permitted development Real Homes Planning Permission Hamilton planning act applications & approvals. Understand the standards and expectations for various planning and development. a department of the city of hamilton with responsibility for planning, policies, and guidelines for city application processes. Make the plans before your build: you can view details of planning applications submitted from 1 january 2000, and can view plans and documentation. Planning Permission Hamilton.
From www.youtube.com
How Do I Get Planning Permission Planning Permission UK YouTube Planning Permission Hamilton a department of the city of hamilton with responsibility for planning, policies, and guidelines for city application processes. Make the plans before your build: This could be an extension to. Understand the standards and expectations for various planning and development. planning act applications & approvals. you can view details of planning applications submitted from 1 january 2000,. Planning Permission Hamilton.
From evarchitects.com
A Beginner’s Guide To Planning Permission. UK Planning Permission Guide. Planning Permission Hamilton View current and previous development and local plans, including the bermuda plan 2018 and city of hamilton. Make the plans before your build: planning act applications & approvals. This could be an extension to. you can view details of planning applications submitted from 1 january 2000, and can view plans and documentation associated with. Understand the standards and. Planning Permission Hamilton.
From www.linkedin.com
HMO’s Mandatory Planning Permission Planning Permission Hamilton plans for all new developments that need planning permission are made public by the council. Make the plans before your build: This could be an extension to. you can view details of planning applications submitted from 1 january 2000, and can view plans and documentation associated with. planning act applications & approvals. Understand the standards and expectations. Planning Permission Hamilton.
From www.gethousesurvey.ie
What is the difference between planning permission and retention permission? Planning Permission Hamilton plans for all new developments that need planning permission are made public by the council. planning act applications & approvals. This could be an extension to. Use the city of hamilton zoning ordinance to find detailed information about zoning districts,. Understand the standards and expectations for various planning and development. View current and previous development and local plans,. Planning Permission Hamilton.
From www.yumpu.com
Application for Planning Permission and Consent Planning Portal Planning Permission Hamilton View current and previous development and local plans, including the bermuda plan 2018 and city of hamilton. plans for all new developments that need planning permission are made public by the council. Use the city of hamilton zoning ordinance to find detailed information about zoning districts,. a department of the city of hamilton with responsibility for planning, policies,. Planning Permission Hamilton.
From www.tipperarycoco.com
Planning leaflets Tipperary County Council Planning Permission Hamilton a department of the city of hamilton with responsibility for planning, policies, and guidelines for city application processes. Make the plans before your build: Understand the standards and expectations for various planning and development. plans for all new developments that need planning permission are made public by the council. planning act applications & approvals. This could be. Planning Permission Hamilton.
From www.apexarchitectureltd.com
Planning permission why you need it and how to get it Planning Permission Hamilton plans for all new developments that need planning permission are made public by the council. Make the plans before your build: you can view details of planning applications submitted from 1 january 2000, and can view plans and documentation associated with. a department of the city of hamilton with responsibility for planning, policies, and guidelines for city. Planning Permission Hamilton.
From inspiredwindowsandconservatories.co.uk
The Ultimate Guide to Planning Permission for Conservatories Planning Permission Hamilton planning act applications & approvals. a department of the city of hamilton with responsibility for planning, policies, and guidelines for city application processes. Understand the standards and expectations for various planning and development. This could be an extension to. you can view details of planning applications submitted from 1 january 2000, and can view plans and documentation. Planning Permission Hamilton.
From thermohouse.ie
Steps Involved in Getting Planning Permission ThermoHouse Planning Permission Hamilton Understand the standards and expectations for various planning and development. This could be an extension to. plans for all new developments that need planning permission are made public by the council. a department of the city of hamilton with responsibility for planning, policies, and guidelines for city application processes. Use the city of hamilton zoning ordinance to find. Planning Permission Hamilton.
From www.youtube.com
How To Get Planning Permission For An HMO Planning Permission UK YouTube Planning Permission Hamilton This could be an extension to. Understand the standards and expectations for various planning and development. planning act applications & approvals. you can view details of planning applications submitted from 1 january 2000, and can view plans and documentation associated with. Use the city of hamilton zoning ordinance to find detailed information about zoning districts,. plans for. Planning Permission Hamilton.
From www.fleminghomes.co.uk
Planning permission explained Fleming Homes Planning Permission Hamilton planning act applications & approvals. View current and previous development and local plans, including the bermuda plan 2018 and city of hamilton. This could be an extension to. a department of the city of hamilton with responsibility for planning, policies, and guidelines for city application processes. Use the city of hamilton zoning ordinance to find detailed information about. Planning Permission Hamilton.