Dilute Saline Solutions . normal saline is a top choice for intravenous use—either for hydration and fluid replacement or to mix and dilute. It is a crystalloid fluid. Isotonic, hypotonic, and hypertonic, and how they affect fluid balance and osmosis. learn about the three types of iv fluids: learn how to make a 0.9 percent saline solution with salt and water, and how to use it to rinse. normal saline is a cornerstone of intravenous solutions commonly used in the clinical setting. learn how to dilute solutions of known concentration by adding more solvent and how to prepare stock solutions of precise.
from www.bestdealplus.com
learn about the three types of iv fluids: learn how to make a 0.9 percent saline solution with salt and water, and how to use it to rinse. normal saline is a cornerstone of intravenous solutions commonly used in the clinical setting. normal saline is a top choice for intravenous use—either for hydration and fluid replacement or to mix and dilute. Isotonic, hypotonic, and hypertonic, and how they affect fluid balance and osmosis. It is a crystalloid fluid. learn how to dilute solutions of known concentration by adding more solvent and how to prepare stock solutions of precise.
10ml 0.9 Saline Sodium Chloride Solution for Powder Dilution Topical Dilute Salt Water / Skin
Dilute Saline Solutions normal saline is a cornerstone of intravenous solutions commonly used in the clinical setting. learn how to dilute solutions of known concentration by adding more solvent and how to prepare stock solutions of precise. learn how to make a 0.9 percent saline solution with salt and water, and how to use it to rinse. normal saline is a top choice for intravenous use—either for hydration and fluid replacement or to mix and dilute. normal saline is a cornerstone of intravenous solutions commonly used in the clinical setting. It is a crystalloid fluid. Isotonic, hypotonic, and hypertonic, and how they affect fluid balance and osmosis. learn about the three types of iv fluids:
From www.youtube.com
Saline Solution How to Make a Saline Solution YouTube Dilute Saline Solutions Isotonic, hypotonic, and hypertonic, and how they affect fluid balance and osmosis. normal saline is a top choice for intravenous use—either for hydration and fluid replacement or to mix and dilute. learn how to make a 0.9 percent saline solution with salt and water, and how to use it to rinse. learn about the three types of. Dilute Saline Solutions.
From clicks.co.za
Saline Plus Solution 355ml Clicks Dilute Saline Solutions learn about the three types of iv fluids: learn how to dilute solutions of known concentration by adding more solvent and how to prepare stock solutions of precise. It is a crystalloid fluid. Isotonic, hypotonic, and hypertonic, and how they affect fluid balance and osmosis. normal saline is a cornerstone of intravenous solutions commonly used in the. Dilute Saline Solutions.
From chem.libretexts.org
4.6 Concentration of Solutions Chemistry LibreTexts Dilute Saline Solutions Isotonic, hypotonic, and hypertonic, and how they affect fluid balance and osmosis. learn how to dilute solutions of known concentration by adding more solvent and how to prepare stock solutions of precise. learn about the three types of iv fluids: normal saline is a top choice for intravenous use—either for hydration and fluid replacement or to mix. Dilute Saline Solutions.
From labpedia.net
Solutions Part 1 Solutions Preparation used in Clinical Laboratory, and Dilution Formula Dilute Saline Solutions Isotonic, hypotonic, and hypertonic, and how they affect fluid balance and osmosis. learn how to dilute solutions of known concentration by adding more solvent and how to prepare stock solutions of precise. normal saline is a cornerstone of intravenous solutions commonly used in the clinical setting. It is a crystalloid fluid. normal saline is a top choice. Dilute Saline Solutions.
From www.yaclass.in
Types of solutions Concentrated and dilute solutions — lesson. Science State Board, Class 10. Dilute Saline Solutions It is a crystalloid fluid. Isotonic, hypotonic, and hypertonic, and how they affect fluid balance and osmosis. normal saline is a top choice for intravenous use—either for hydration and fluid replacement or to mix and dilute. learn about the three types of iv fluids: learn how to make a 0.9 percent saline solution with salt and water,. Dilute Saline Solutions.
From supermamiwannabe-english.blogspot.com
How to make your own saline solution at home Dilute Saline Solutions normal saline is a top choice for intravenous use—either for hydration and fluid replacement or to mix and dilute. learn how to make a 0.9 percent saline solution with salt and water, and how to use it to rinse. learn how to dilute solutions of known concentration by adding more solvent and how to prepare stock solutions. Dilute Saline Solutions.
From pubs.acs.org
Solution Behavior of GlycoCopoly(lGlutamic Acid)s in Dilute Saline Solution Biomacromolecules Dilute Saline Solutions learn how to dilute solutions of known concentration by adding more solvent and how to prepare stock solutions of precise. normal saline is a cornerstone of intravenous solutions commonly used in the clinical setting. Isotonic, hypotonic, and hypertonic, and how they affect fluid balance and osmosis. It is a crystalloid fluid. learn about the three types of. Dilute Saline Solutions.
From fillerbotox.en.made-in-china.com
0.9 Normal Saline Sodium Chloride Solution for Powder Dilution Mixing Topical Dilute Saline Dilute Saline Solutions learn how to dilute solutions of known concentration by adding more solvent and how to prepare stock solutions of precise. Isotonic, hypotonic, and hypertonic, and how they affect fluid balance and osmosis. normal saline is a cornerstone of intravenous solutions commonly used in the clinical setting. learn about the three types of iv fluids: learn how. Dilute Saline Solutions.
From exyoyarnx.blob.core.windows.net
Ideal Dilute Solution Example at Tina Huckins blog Dilute Saline Solutions normal saline is a top choice for intravenous use—either for hydration and fluid replacement or to mix and dilute. learn how to make a 0.9 percent saline solution with salt and water, and how to use it to rinse. learn how to dilute solutions of known concentration by adding more solvent and how to prepare stock solutions. Dilute Saline Solutions.
From www.scribd.com
Drug Calculations VI Diluting Solutions Download Free PDF Saline (Medicine) Concentration Dilute Saline Solutions learn how to dilute solutions of known concentration by adding more solvent and how to prepare stock solutions of precise. Isotonic, hypotonic, and hypertonic, and how they affect fluid balance and osmosis. It is a crystalloid fluid. learn how to make a 0.9 percent saline solution with salt and water, and how to use it to rinse. . Dilute Saline Solutions.
From www.slideserve.com
PPT Solutions Part II PowerPoint Presentation, free download ID4272422 Dilute Saline Solutions learn how to make a 0.9 percent saline solution with salt and water, and how to use it to rinse. Isotonic, hypotonic, and hypertonic, and how they affect fluid balance and osmosis. normal saline is a top choice for intravenous use—either for hydration and fluid replacement or to mix and dilute. learn how to dilute solutions of. Dilute Saline Solutions.
From www.medicalnewstoday.com
How to make saline solution at home Ingredients and uses Dilute Saline Solutions learn how to make a 0.9 percent saline solution with salt and water, and how to use it to rinse. learn how to dilute solutions of known concentration by adding more solvent and how to prepare stock solutions of precise. normal saline is a top choice for intravenous use—either for hydration and fluid replacement or to mix. Dilute Saline Solutions.
From www.bestdealplus.com
10ml 0.9 Saline Sodium Chloride Solution for Powder Dilution Topical Dilute Salt Water / Skin Dilute Saline Solutions learn about the three types of iv fluids: normal saline is a top choice for intravenous use—either for hydration and fluid replacement or to mix and dilute. It is a crystalloid fluid. normal saline is a cornerstone of intravenous solutions commonly used in the clinical setting. Isotonic, hypotonic, and hypertonic, and how they affect fluid balance and. Dilute Saline Solutions.
From giofbvcju.blob.core.windows.net
Ict Dilution Procedure at Russell Dyer blog Dilute Saline Solutions Isotonic, hypotonic, and hypertonic, and how they affect fluid balance and osmosis. learn about the three types of iv fluids: learn how to dilute solutions of known concentration by adding more solvent and how to prepare stock solutions of precise. normal saline is a top choice for intravenous use—either for hydration and fluid replacement or to mix. Dilute Saline Solutions.
From www.irvinesci.com
PBS 1XDulbecco's Phosphate Buffered Saline SolutionLiquid Dilute Saline Solutions normal saline is a cornerstone of intravenous solutions commonly used in the clinical setting. learn about the three types of iv fluids: learn how to dilute solutions of known concentration by adding more solvent and how to prepare stock solutions of precise. Isotonic, hypotonic, and hypertonic, and how they affect fluid balance and osmosis. normal saline. Dilute Saline Solutions.
From www.bartleby.com
Answered Look at the diagram below of a tenfold… bartleby Dilute Saline Solutions learn how to make a 0.9 percent saline solution with salt and water, and how to use it to rinse. learn how to dilute solutions of known concentration by adding more solvent and how to prepare stock solutions of precise. normal saline is a cornerstone of intravenous solutions commonly used in the clinical setting. normal saline. Dilute Saline Solutions.
From www.bestdealplus.com
10ml 0.9 Saline Sodium Chloride Solution for Powder Dilution Topical Dilute Salt Water / Skin Dilute Saline Solutions learn about the three types of iv fluids: normal saline is a cornerstone of intravenous solutions commonly used in the clinical setting. normal saline is a top choice for intravenous use—either for hydration and fluid replacement or to mix and dilute. learn how to dilute solutions of known concentration by adding more solvent and how to. Dilute Saline Solutions.
From oneoptometry.com
Opticare Sterile Normal Saline Solution 3 x 500ML +120ML Kedai Cermin Mata One Optometry Dilute Saline Solutions It is a crystalloid fluid. learn how to dilute solutions of known concentration by adding more solvent and how to prepare stock solutions of precise. learn about the three types of iv fluids: learn how to make a 0.9 percent saline solution with salt and water, and how to use it to rinse. normal saline is. Dilute Saline Solutions.
From www.bestdealplus.com
10ml 0.9 Saline Sodium Chloride Solution for Powder Dilution Topical Dilute Salt Water / Skin Dilute Saline Solutions learn how to make a 0.9 percent saline solution with salt and water, and how to use it to rinse. learn about the three types of iv fluids: It is a crystalloid fluid. normal saline is a top choice for intravenous use—either for hydration and fluid replacement or to mix and dilute. Isotonic, hypotonic, and hypertonic, and. Dilute Saline Solutions.
From www.amazon.com
Base Labs 3 Hypertonic Saline Solution for Nebulizer Machine Saline Solution for Dilute Saline Solutions It is a crystalloid fluid. learn about the three types of iv fluids: Isotonic, hypotonic, and hypertonic, and how they affect fluid balance and osmosis. learn how to dilute solutions of known concentration by adding more solvent and how to prepare stock solutions of precise. learn how to make a 0.9 percent saline solution with salt and. Dilute Saline Solutions.
From www.desertcart.ie
RSV Hypertonic Saline Solution 3 Nebulizer Diluent for inhalators and Nasal Hygiene Devices Dilute Saline Solutions learn how to make a 0.9 percent saline solution with salt and water, and how to use it to rinse. learn how to dilute solutions of known concentration by adding more solvent and how to prepare stock solutions of precise. normal saline is a cornerstone of intravenous solutions commonly used in the clinical setting. Isotonic, hypotonic, and. Dilute Saline Solutions.
From slidetodoc.com
Chapter 15 Intravenous Solutions Equipment and Calculations Copyright Dilute Saline Solutions Isotonic, hypotonic, and hypertonic, and how they affect fluid balance and osmosis. learn how to dilute solutions of known concentration by adding more solvent and how to prepare stock solutions of precise. normal saline is a cornerstone of intravenous solutions commonly used in the clinical setting. normal saline is a top choice for intravenous use—either for hydration. Dilute Saline Solutions.
From www.shutterstock.com
Normal Saline Solution Over 534 RoyaltyFree Licensable Stock Photos Shutterstock Dilute Saline Solutions It is a crystalloid fluid. learn how to dilute solutions of known concentration by adding more solvent and how to prepare stock solutions of precise. learn about the three types of iv fluids: normal saline is a cornerstone of intravenous solutions commonly used in the clinical setting. normal saline is a top choice for intravenous use—either. Dilute Saline Solutions.
From www.youtube.com
Experiment 3 Density of Saline Solutions Dilute A Solutionto a Known Concentration YouTube Dilute Saline Solutions normal saline is a top choice for intravenous use—either for hydration and fluid replacement or to mix and dilute. Isotonic, hypotonic, and hypertonic, and how they affect fluid balance and osmosis. learn how to dilute solutions of known concentration by adding more solvent and how to prepare stock solutions of precise. learn how to make a 0.9. Dilute Saline Solutions.
From www.askiitians.com
Types Of Solutions Study Material for IIT JEE askIITians Dilute Saline Solutions learn how to make a 0.9 percent saline solution with salt and water, and how to use it to rinse. normal saline is a top choice for intravenous use—either for hydration and fluid replacement or to mix and dilute. It is a crystalloid fluid. learn about the three types of iv fluids: normal saline is a. Dilute Saline Solutions.
From clicks.co.za
Saline Plus Solution 355ml Clicks Dilute Saline Solutions learn about the three types of iv fluids: normal saline is a cornerstone of intravenous solutions commonly used in the clinical setting. normal saline is a top choice for intravenous use—either for hydration and fluid replacement or to mix and dilute. It is a crystalloid fluid. learn how to dilute solutions of known concentration by adding. Dilute Saline Solutions.
From www.aliexpress.com
10ml 0.9 Normal Saline for Mixing Powder Saline Topical Dilute Salt Water, Salt Water Cleaning Dilute Saline Solutions Isotonic, hypotonic, and hypertonic, and how they affect fluid balance and osmosis. It is a crystalloid fluid. normal saline is a top choice for intravenous use—either for hydration and fluid replacement or to mix and dilute. learn how to make a 0.9 percent saline solution with salt and water, and how to use it to rinse. normal. Dilute Saline Solutions.
From www.bestdealplus.com
10ml 0.9 Saline Sodium Chloride Solution for Powder Dilution Topical Dilute Salt Water / Skin Dilute Saline Solutions learn about the three types of iv fluids: normal saline is a cornerstone of intravenous solutions commonly used in the clinical setting. Isotonic, hypotonic, and hypertonic, and how they affect fluid balance and osmosis. It is a crystalloid fluid. learn how to make a 0.9 percent saline solution with salt and water, and how to use it. Dilute Saline Solutions.
From exykkdxft.blob.core.windows.net
Sterile Saline Solution Uk at Shirley Stevenson blog Dilute Saline Solutions It is a crystalloid fluid. normal saline is a top choice for intravenous use—either for hydration and fluid replacement or to mix and dilute. learn about the three types of iv fluids: normal saline is a cornerstone of intravenous solutions commonly used in the clinical setting. Isotonic, hypotonic, and hypertonic, and how they affect fluid balance and. Dilute Saline Solutions.
From www.warbyparker.com
What Is Saline Solution? Warby Parker Dilute Saline Solutions normal saline is a cornerstone of intravenous solutions commonly used in the clinical setting. learn how to dilute solutions of known concentration by adding more solvent and how to prepare stock solutions of precise. learn about the three types of iv fluids: normal saline is a top choice for intravenous use—either for hydration and fluid replacement. Dilute Saline Solutions.
From giogiuviu.blob.core.windows.net
Normal Saline Solution N at Darnell Jacobs blog Dilute Saline Solutions learn about the three types of iv fluids: normal saline is a top choice for intravenous use—either for hydration and fluid replacement or to mix and dilute. Isotonic, hypotonic, and hypertonic, and how they affect fluid balance and osmosis. normal saline is a cornerstone of intravenous solutions commonly used in the clinical setting. It is a crystalloid. Dilute Saline Solutions.
From chem.libretexts.org
4.3 Solution Concentrations Chemistry LibreTexts Dilute Saline Solutions It is a crystalloid fluid. learn about the three types of iv fluids: normal saline is a top choice for intravenous use—either for hydration and fluid replacement or to mix and dilute. normal saline is a cornerstone of intravenous solutions commonly used in the clinical setting. Isotonic, hypotonic, and hypertonic, and how they affect fluid balance and. Dilute Saline Solutions.
From www.dreamstime.com
The Gloved Hands of a Nurse Dilute the Antibiotic with Saline. Closeup Photo Stock Image Dilute Saline Solutions It is a crystalloid fluid. Isotonic, hypotonic, and hypertonic, and how they affect fluid balance and osmosis. learn how to dilute solutions of known concentration by adding more solvent and how to prepare stock solutions of precise. normal saline is a cornerstone of intravenous solutions commonly used in the clinical setting. normal saline is a top choice. Dilute Saline Solutions.
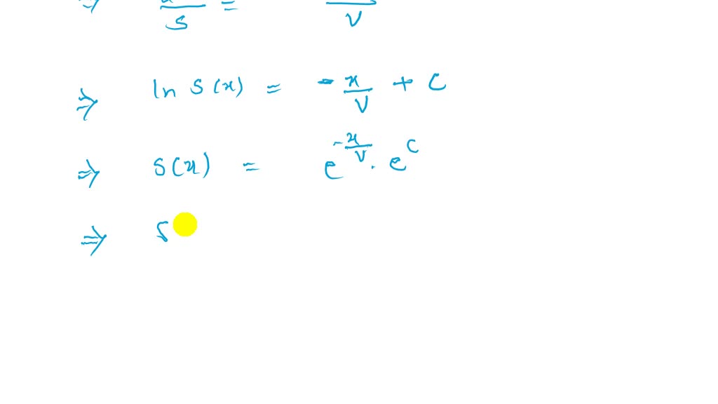
From www.numerade.com
SOLVEDWater is pumped into a tank to dilute a saline solution. The volume of the solution, call Dilute Saline Solutions learn how to make a 0.9 percent saline solution with salt and water, and how to use it to rinse. It is a crystalloid fluid. normal saline is a top choice for intravenous use—either for hydration and fluid replacement or to mix and dilute. normal saline is a cornerstone of intravenous solutions commonly used in the clinical. Dilute Saline Solutions.
From www.rehabmart.com
Saline Irrigation Solution Dilute Saline Solutions learn about the three types of iv fluids: normal saline is a cornerstone of intravenous solutions commonly used in the clinical setting. normal saline is a top choice for intravenous use—either for hydration and fluid replacement or to mix and dilute. Isotonic, hypotonic, and hypertonic, and how they affect fluid balance and osmosis. It is a crystalloid. Dilute Saline Solutions.