Derivatives Math Explained . In this chapter we introduce derivatives. Jow to find derivatives of constants, linear functions, sums, differences, sines, cosines and basic exponential functions. To put it simply, derivatives show us the instantaneous rate of change at a particular point on the graph of a. We cover the standard derivatives formulas including the product rule, quotient. The derivative of a function f(x) is denoted by f'(x) and it can be. In this chapter, we explore one of the main tools of calculus, the derivative, and show convenient ways to calculate derivatives. We can formally define a. The derivative function gives the derivative of a function at each point in the domain of the original function for which the derivative is defined. A derivative is the rate of change of a function with respect to a variable.
from machinelearningmastery.com
We can formally define a. The derivative function gives the derivative of a function at each point in the domain of the original function for which the derivative is defined. Jow to find derivatives of constants, linear functions, sums, differences, sines, cosines and basic exponential functions. We cover the standard derivatives formulas including the product rule, quotient. To put it simply, derivatives show us the instantaneous rate of change at a particular point on the graph of a. In this chapter, we explore one of the main tools of calculus, the derivative, and show convenient ways to calculate derivatives. In this chapter we introduce derivatives. The derivative of a function f(x) is denoted by f'(x) and it can be. A derivative is the rate of change of a function with respect to a variable.
A Gentle Introduction to Function Derivatives
Derivatives Math Explained The derivative function gives the derivative of a function at each point in the domain of the original function for which the derivative is defined. Jow to find derivatives of constants, linear functions, sums, differences, sines, cosines and basic exponential functions. The derivative of a function f(x) is denoted by f'(x) and it can be. To put it simply, derivatives show us the instantaneous rate of change at a particular point on the graph of a. A derivative is the rate of change of a function with respect to a variable. In this chapter, we explore one of the main tools of calculus, the derivative, and show convenient ways to calculate derivatives. We can formally define a. We cover the standard derivatives formulas including the product rule, quotient. In this chapter we introduce derivatives. The derivative function gives the derivative of a function at each point in the domain of the original function for which the derivative is defined.
From owlcation.com
What Is Calculus? A Beginner's Guide to Limits and Differentiation Owlcation Derivatives Math Explained We cover the standard derivatives formulas including the product rule, quotient. In this chapter, we explore one of the main tools of calculus, the derivative, and show convenient ways to calculate derivatives. The derivative function gives the derivative of a function at each point in the domain of the original function for which the derivative is defined. In this chapter. Derivatives Math Explained.
From www.cuemath.com
Derivatives Calculus, Meaning, Interpretation Derivatives Math Explained We can formally define a. Jow to find derivatives of constants, linear functions, sums, differences, sines, cosines and basic exponential functions. The derivative function gives the derivative of a function at each point in the domain of the original function for which the derivative is defined. To put it simply, derivatives show us the instantaneous rate of change at a. Derivatives Math Explained.
From www.youtube.com
Introduction to Calculus The Derivative YouTube Derivatives Math Explained The derivative of a function f(x) is denoted by f'(x) and it can be. A derivative is the rate of change of a function with respect to a variable. We cover the standard derivatives formulas including the product rule, quotient. In this chapter, we explore one of the main tools of calculus, the derivative, and show convenient ways to calculate. Derivatives Math Explained.
From enotesworld.com
The Concept and Rules of DerivativeMathematical Concept Derivatives Math Explained Jow to find derivatives of constants, linear functions, sums, differences, sines, cosines and basic exponential functions. In this chapter, we explore one of the main tools of calculus, the derivative, and show convenient ways to calculate derivatives. We can formally define a. To put it simply, derivatives show us the instantaneous rate of change at a particular point on the. Derivatives Math Explained.
From www.youtube.com
Calculus 1 Derivatives YouTube Derivatives Math Explained In this chapter, we explore one of the main tools of calculus, the derivative, and show convenient ways to calculate derivatives. We cover the standard derivatives formulas including the product rule, quotient. The derivative of a function f(x) is denoted by f'(x) and it can be. We can formally define a. Jow to find derivatives of constants, linear functions, sums,. Derivatives Math Explained.
From evgenii.com
Basic derivatives Derivatives Math Explained A derivative is the rate of change of a function with respect to a variable. In this chapter, we explore one of the main tools of calculus, the derivative, and show convenient ways to calculate derivatives. We can formally define a. The derivative function gives the derivative of a function at each point in the domain of the original function. Derivatives Math Explained.
From tammy.ai
Mastering Calculus A Comprehensive Guide to Understanding Limits, Derivatives, and Integration Derivatives Math Explained A derivative is the rate of change of a function with respect to a variable. The derivative function gives the derivative of a function at each point in the domain of the original function for which the derivative is defined. In this chapter, we explore one of the main tools of calculus, the derivative, and show convenient ways to calculate. Derivatives Math Explained.
From www.cuemath.com
Derivatives Calculus, Meaning, Interpretation Derivatives Math Explained We cover the standard derivatives formulas including the product rule, quotient. We can formally define a. In this chapter, we explore one of the main tools of calculus, the derivative, and show convenient ways to calculate derivatives. Jow to find derivatives of constants, linear functions, sums, differences, sines, cosines and basic exponential functions. In this chapter we introduce derivatives. To. Derivatives Math Explained.
From mungfali.com
Chart Of Derivatives Derivatives Math Explained A derivative is the rate of change of a function with respect to a variable. The derivative function gives the derivative of a function at each point in the domain of the original function for which the derivative is defined. To put it simply, derivatives show us the instantaneous rate of change at a particular point on the graph of. Derivatives Math Explained.
From andymath.com
Definition of Derivative Derivatives Math Explained The derivative of a function f(x) is denoted by f'(x) and it can be. Jow to find derivatives of constants, linear functions, sums, differences, sines, cosines and basic exponential functions. The derivative function gives the derivative of a function at each point in the domain of the original function for which the derivative is defined. We can formally define a.. Derivatives Math Explained.
From www.youtube.com
Calculus The basic rules for derivatives YouTube Derivatives Math Explained Jow to find derivatives of constants, linear functions, sums, differences, sines, cosines and basic exponential functions. In this chapter, we explore one of the main tools of calculus, the derivative, and show convenient ways to calculate derivatives. We can formally define a. In this chapter we introduce derivatives. The derivative function gives the derivative of a function at each point. Derivatives Math Explained.
From www.cuemath.com
Derivatives Calculus, Meaning, Interpretation Derivatives Math Explained To put it simply, derivatives show us the instantaneous rate of change at a particular point on the graph of a. We can formally define a. The derivative function gives the derivative of a function at each point in the domain of the original function for which the derivative is defined. Jow to find derivatives of constants, linear functions, sums,. Derivatives Math Explained.
From www.cuemath.com
Derivative Formula What is Derivative Formula? Examples Derivatives Math Explained To put it simply, derivatives show us the instantaneous rate of change at a particular point on the graph of a. The derivative of a function f(x) is denoted by f'(x) and it can be. We can formally define a. In this chapter, we explore one of the main tools of calculus, the derivative, and show convenient ways to calculate. Derivatives Math Explained.
From materialcampusleland.z13.web.core.windows.net
How To Do The Chain Rule Derivatives Derivatives Math Explained We can formally define a. A derivative is the rate of change of a function with respect to a variable. The derivative function gives the derivative of a function at each point in the domain of the original function for which the derivative is defined. In this chapter we introduce derivatives. To put it simply, derivatives show us the instantaneous. Derivatives Math Explained.
From www.youtube.com
Definition of the Derivative YouTube Derivatives Math Explained We cover the standard derivatives formulas including the product rule, quotient. To put it simply, derivatives show us the instantaneous rate of change at a particular point on the graph of a. Jow to find derivatives of constants, linear functions, sums, differences, sines, cosines and basic exponential functions. In this chapter, we explore one of the main tools of calculus,. Derivatives Math Explained.
From machinelearningmastery.com
A Gentle Introduction to Function Derivatives Derivatives Math Explained We cover the standard derivatives formulas including the product rule, quotient. We can formally define a. To put it simply, derivatives show us the instantaneous rate of change at a particular point on the graph of a. The derivative of a function f(x) is denoted by f'(x) and it can be. In this chapter we introduce derivatives. The derivative function. Derivatives Math Explained.
From www.youtube.com
Calculus Basic Derivative Rules YouTube Derivatives Math Explained Jow to find derivatives of constants, linear functions, sums, differences, sines, cosines and basic exponential functions. To put it simply, derivatives show us the instantaneous rate of change at a particular point on the graph of a. In this chapter we introduce derivatives. In this chapter, we explore one of the main tools of calculus, the derivative, and show convenient. Derivatives Math Explained.
From owlcation.com
What Is Calculus? A Beginner's Guide to Limits and Differentiation Owlcation Derivatives Math Explained A derivative is the rate of change of a function with respect to a variable. Jow to find derivatives of constants, linear functions, sums, differences, sines, cosines and basic exponential functions. In this chapter, we explore one of the main tools of calculus, the derivative, and show convenient ways to calculate derivatives. We can formally define a. The derivative of. Derivatives Math Explained.
From mathequalslove.net
Free Printable Derivatives Formula Chart (PDF) Math = Love Derivatives Math Explained To put it simply, derivatives show us the instantaneous rate of change at a particular point on the graph of a. We can formally define a. In this chapter, we explore one of the main tools of calculus, the derivative, and show convenient ways to calculate derivatives. We cover the standard derivatives formulas including the product rule, quotient. A derivative. Derivatives Math Explained.
From www.pinterest.com
Derivative Graphing functions, Ap calculus, Calculus Derivatives Math Explained We cover the standard derivatives formulas including the product rule, quotient. In this chapter, we explore one of the main tools of calculus, the derivative, and show convenient ways to calculate derivatives. We can formally define a. The derivative of a function f(x) is denoted by f'(x) and it can be. The derivative function gives the derivative of a function. Derivatives Math Explained.
From www.cuemath.com
Derivatives Calculus, Meaning, Interpretation Derivatives Math Explained We cover the standard derivatives formulas including the product rule, quotient. The derivative of a function f(x) is denoted by f'(x) and it can be. In this chapter, we explore one of the main tools of calculus, the derivative, and show convenient ways to calculate derivatives. The derivative function gives the derivative of a function at each point in the. Derivatives Math Explained.
From mathoriginal.com
Derivative Rules Power, Product and Sum rules Math Original Derivatives Math Explained The derivative function gives the derivative of a function at each point in the domain of the original function for which the derivative is defined. In this chapter we introduce derivatives. The derivative of a function f(x) is denoted by f'(x) and it can be. To put it simply, derivatives show us the instantaneous rate of change at a particular. Derivatives Math Explained.
From www.youtube.com
Chain Rule For Finding Derivatives YouTube Derivatives Math Explained We can formally define a. In this chapter, we explore one of the main tools of calculus, the derivative, and show convenient ways to calculate derivatives. The derivative function gives the derivative of a function at each point in the domain of the original function for which the derivative is defined. To put it simply, derivatives show us the instantaneous. Derivatives Math Explained.
From machinelearningmastery.com
A Gentle Introduction to Function Derivatives Derivatives Math Explained Jow to find derivatives of constants, linear functions, sums, differences, sines, cosines and basic exponential functions. The derivative function gives the derivative of a function at each point in the domain of the original function for which the derivative is defined. We can formally define a. In this chapter we introduce derivatives. We cover the standard derivatives formulas including the. Derivatives Math Explained.
From www.onlinemathlearning.com
Calculus Derivative Rules (video lessons, examples, solutions) Derivatives Math Explained The derivative function gives the derivative of a function at each point in the domain of the original function for which the derivative is defined. A derivative is the rate of change of a function with respect to a variable. In this chapter we introduce derivatives. In this chapter, we explore one of the main tools of calculus, the derivative,. Derivatives Math Explained.
From www.youtube.com
Differential Calculus Explained in Just 4 Minutes YouTube Derivatives Math Explained In this chapter we introduce derivatives. In this chapter, we explore one of the main tools of calculus, the derivative, and show convenient ways to calculate derivatives. To put it simply, derivatives show us the instantaneous rate of change at a particular point on the graph of a. A derivative is the rate of change of a function with respect. Derivatives Math Explained.
From calcworkshop.com
Definition of Derivative Derivatives Math Explained A derivative is the rate of change of a function with respect to a variable. In this chapter, we explore one of the main tools of calculus, the derivative, and show convenient ways to calculate derivatives. Jow to find derivatives of constants, linear functions, sums, differences, sines, cosines and basic exponential functions. In this chapter we introduce derivatives. The derivative. Derivatives Math Explained.
From www.youtube.com
01 Basic Derivatives in Calculus, Part 1 Learn what a Derivative is and how to Solve Them Derivatives Math Explained The derivative of a function f(x) is denoted by f'(x) and it can be. Jow to find derivatives of constants, linear functions, sums, differences, sines, cosines and basic exponential functions. We cover the standard derivatives formulas including the product rule, quotient. In this chapter, we explore one of the main tools of calculus, the derivative, and show convenient ways to. Derivatives Math Explained.
From www.youtube.com
Product Rule With 4 Functions Derivatives Calculus YouTube Derivatives Math Explained Jow to find derivatives of constants, linear functions, sums, differences, sines, cosines and basic exponential functions. We cover the standard derivatives formulas including the product rule, quotient. To put it simply, derivatives show us the instantaneous rate of change at a particular point on the graph of a. The derivative function gives the derivative of a function at each point. Derivatives Math Explained.
From www.geeksforgeeks.org
Derivative Formulas List Differentiation Formulas with Examples Derivatives Math Explained We cover the standard derivatives formulas including the product rule, quotient. The derivative function gives the derivative of a function at each point in the domain of the original function for which the derivative is defined. In this chapter, we explore one of the main tools of calculus, the derivative, and show convenient ways to calculate derivatives. To put it. Derivatives Math Explained.
From www.youtube.com
Calculus Introduction to Derivatives YouTube Derivatives Math Explained In this chapter we introduce derivatives. We can formally define a. The derivative function gives the derivative of a function at each point in the domain of the original function for which the derivative is defined. In this chapter, we explore one of the main tools of calculus, the derivative, and show convenient ways to calculate derivatives. A derivative is. Derivatives Math Explained.
From www.youtube.com
Derivative Calculus Explain with example YouTube Derivatives Math Explained The derivative of a function f(x) is denoted by f'(x) and it can be. The derivative function gives the derivative of a function at each point in the domain of the original function for which the derivative is defined. A derivative is the rate of change of a function with respect to a variable. We can formally define a. In. Derivatives Math Explained.
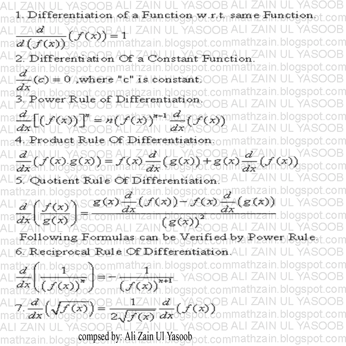
From mathzain.blogspot.com
MATHZAIN Basic Formulas Of Derivatives Derivatives Math Explained The derivative of a function f(x) is denoted by f'(x) and it can be. We can formally define a. To put it simply, derivatives show us the instantaneous rate of change at a particular point on the graph of a. Jow to find derivatives of constants, linear functions, sums, differences, sines, cosines and basic exponential functions. The derivative function gives. Derivatives Math Explained.
From www.youtube.com
Calculus The Derivative YouTube Derivatives Math Explained In this chapter we introduce derivatives. The derivative function gives the derivative of a function at each point in the domain of the original function for which the derivative is defined. The derivative of a function f(x) is denoted by f'(x) and it can be. To put it simply, derivatives show us the instantaneous rate of change at a particular. Derivatives Math Explained.
From www.theacetutors.com
Derivative Rules Cheat Sheet Calculus Ace Tutors Blog Derivatives Math Explained The derivative of a function f(x) is denoted by f'(x) and it can be. We can formally define a. In this chapter we introduce derivatives. The derivative function gives the derivative of a function at each point in the domain of the original function for which the derivative is defined. Jow to find derivatives of constants, linear functions, sums, differences,. Derivatives Math Explained.