Refractive Index Of Water . It means the speed of light is 1.33 times faster in a vacuum than in water. The refractive index shows the bending of light when it passes from one medium to another. Total internal reflection and dispersion. 72 rows in general, an index of refraction is a complex number with both a real and imaginary part, where the latter indicates the strength of. The web page explains the law of refraction, the speed of light in matter, and the value of n for water and other substances. Learn how light changes direction and speed when it passes through different media, and how to calculate the index of refraction n. A material’s refractive index imparts two significant effects on light: Find out the value of n for water at 20 °c and see examples of refraction in other waves. For example, the refractive index of water is 1.33. Find out the refractive index of water and other media, and how it varies. Learn what is refractive index, how to calculate it and why it is important for optical polymers. Learn how light bends and slows down when it enters water, and how to calculate the index of refraction of water.
from askfilo.com
72 rows in general, an index of refraction is a complex number with both a real and imaginary part, where the latter indicates the strength of. The refractive index shows the bending of light when it passes from one medium to another. For example, the refractive index of water is 1.33. A material’s refractive index imparts two significant effects on light: It means the speed of light is 1.33 times faster in a vacuum than in water. Learn how light bends and slows down when it enters water, and how to calculate the index of refraction of water. Total internal reflection and dispersion. The web page explains the law of refraction, the speed of light in matter, and the value of n for water and other substances. Find out the value of n for water at 20 °c and see examples of refraction in other waves. Find out the refractive index of water and other media, and how it varies.
The refractive index of water is 4/3 and the refractive index of glass is..
Refractive Index Of Water Learn how light bends and slows down when it enters water, and how to calculate the index of refraction of water. For example, the refractive index of water is 1.33. 72 rows in general, an index of refraction is a complex number with both a real and imaginary part, where the latter indicates the strength of. A material’s refractive index imparts two significant effects on light: Learn how light changes direction and speed when it passes through different media, and how to calculate the index of refraction n. Total internal reflection and dispersion. The web page explains the law of refraction, the speed of light in matter, and the value of n for water and other substances. Find out the value of n for water at 20 °c and see examples of refraction in other waves. It means the speed of light is 1.33 times faster in a vacuum than in water. The refractive index shows the bending of light when it passes from one medium to another. Learn how light bends and slows down when it enters water, and how to calculate the index of refraction of water. Learn what is refractive index, how to calculate it and why it is important for optical polymers. Find out the refractive index of water and other media, and how it varies.
From www.asrmeta.com
Refractive Index of a material and material properties Refractive Index Of Water For example, the refractive index of water is 1.33. Total internal reflection and dispersion. Find out the refractive index of water and other media, and how it varies. The refractive index shows the bending of light when it passes from one medium to another. 72 rows in general, an index of refraction is a complex number with both a real. Refractive Index Of Water.
From byjus.com
14.The absolute refractive indices of glass and water are 4/3 3/2, respectively. If speed of Refractive Index Of Water The web page explains the law of refraction, the speed of light in matter, and the value of n for water and other substances. It means the speed of light is 1.33 times faster in a vacuum than in water. Find out the value of n for water at 20 °c and see examples of refraction in other waves. 72. Refractive Index Of Water.
From wirelistlatinised.z21.web.core.windows.net
Refraction Of Light Ray Diagram Refractive Index Of Water Learn what is refractive index, how to calculate it and why it is important for optical polymers. The refractive index shows the bending of light when it passes from one medium to another. It means the speed of light is 1.33 times faster in a vacuum than in water. Find out the value of n for water at 20 °c. Refractive Index Of Water.
From sciencevision.in
Refraction Of Light Law Of Refraction And Refractive Index Science Vision Refractive Index Of Water Find out the refractive index of water and other media, and how it varies. Learn what is refractive index, how to calculate it and why it is important for optical polymers. For example, the refractive index of water is 1.33. The web page explains the law of refraction, the speed of light in matter, and the value of n for. Refractive Index Of Water.
From www.thinkswap.com
Measuring the Refractive Index of water PHYS1110 Everyday Physics UNSW Thinkswap Refractive Index Of Water Learn what is refractive index, how to calculate it and why it is important for optical polymers. Learn how light changes direction and speed when it passes through different media, and how to calculate the index of refraction n. Find out the refractive index of water and other media, and how it varies. Find out the value of n for. Refractive Index Of Water.
From www.chegg.com
Solved Why is the refractive index vs. methanolwater Refractive Index Of Water Learn what is refractive index, how to calculate it and why it is important for optical polymers. Total internal reflection and dispersion. Find out the value of n for water at 20 °c and see examples of refraction in other waves. Learn how light changes direction and speed when it passes through different media, and how to calculate the index. Refractive Index Of Water.
From www.loshotelesdelogrono.com
Refractive Index Of Water Table Ebony Perfect Ass Refractive Index Of Water A material’s refractive index imparts two significant effects on light: The web page explains the law of refraction, the speed of light in matter, and the value of n for water and other substances. Learn how light changes direction and speed when it passes through different media, and how to calculate the index of refraction n. It means the speed. Refractive Index Of Water.
From www.slideshare.net
To find the refractive indexes of (a) water,(b) oil using a plane mirror, an equiconvex lens Refractive Index Of Water Learn how light bends and slows down when it enters water, and how to calculate the index of refraction of water. Total internal reflection and dispersion. It means the speed of light is 1.33 times faster in a vacuum than in water. 72 rows in general, an index of refraction is a complex number with both a real and imaginary. Refractive Index Of Water.
From brainly.in
Refractive index of water with respectto air is 1.33 and that of diamond is9.42•In which medium Refractive Index Of Water The refractive index shows the bending of light when it passes from one medium to another. Learn what is refractive index, how to calculate it and why it is important for optical polymers. 72 rows in general, an index of refraction is a complex number with both a real and imaginary part, where the latter indicates the strength of. Learn. Refractive Index Of Water.
From www.scienceabc.com
Index Of Refraction Definition, Formula, Example And A Brief Explanation Refractive Index Of Water The refractive index shows the bending of light when it passes from one medium to another. Find out the refractive index of water and other media, and how it varies. Learn how light changes direction and speed when it passes through different media, and how to calculate the index of refraction n. The web page explains the law of refraction,. Refractive Index Of Water.
From cbsesol.blogspot.com
Refraction of Light Refraction, Laws of Refraction, Refractive Index Refractive Index Of Water 72 rows in general, an index of refraction is a complex number with both a real and imaginary part, where the latter indicates the strength of. Learn how light bends and slows down when it enters water, and how to calculate the index of refraction of water. The web page explains the law of refraction, the speed of light in. Refractive Index Of Water.
From gamma.app
Refraction of Light Refractive Index Of Water The web page explains the law of refraction, the speed of light in matter, and the value of n for water and other substances. Find out the value of n for water at 20 °c and see examples of refraction in other waves. It means the speed of light is 1.33 times faster in a vacuum than in water. The. Refractive Index Of Water.
From brainly.in
Refractive index of water is 1.33 and crown glass is 1.52 then the velocity of light isa) more Refractive Index Of Water 72 rows in general, an index of refraction is a complex number with both a real and imaginary part, where the latter indicates the strength of. For example, the refractive index of water is 1.33. Find out the value of n for water at 20 °c and see examples of refraction in other waves. Learn how light changes direction and. Refractive Index Of Water.
From sciencenotes.org
Refraction Definition, Refractive Index, Snell's Law Refractive Index Of Water Total internal reflection and dispersion. 72 rows in general, an index of refraction is a complex number with both a real and imaginary part, where the latter indicates the strength of. The web page explains the law of refraction, the speed of light in matter, and the value of n for water and other substances. Learn how light changes direction. Refractive Index Of Water.
From www.philiplaven.com
Refractive index Refractive Index Of Water Find out the value of n for water at 20 °c and see examples of refraction in other waves. It means the speed of light is 1.33 times faster in a vacuum than in water. For example, the refractive index of water is 1.33. Learn how light bends and slows down when it enters water, and how to calculate the. Refractive Index Of Water.
From www.toppr.com
7. The refractive index of water is 1.33 and kerosene is 1.44. Calculate refractive index of Refractive Index Of Water A material’s refractive index imparts two significant effects on light: For example, the refractive index of water is 1.33. Total internal reflection and dispersion. Learn what is refractive index, how to calculate it and why it is important for optical polymers. The web page explains the law of refraction, the speed of light in matter, and the value of n. Refractive Index Of Water.
From www.philiplaven.com
Refractive index Refractive Index Of Water Learn how light changes direction and speed when it passes through different media, and how to calculate the index of refraction n. Learn how light bends and slows down when it enters water, and how to calculate the index of refraction of water. The web page explains the law of refraction, the speed of light in matter, and the value. Refractive Index Of Water.
From lightcolourvision.org
Refractive Index of Water Refractive Index Of Water It means the speed of light is 1.33 times faster in a vacuum than in water. A material’s refractive index imparts two significant effects on light: The web page explains the law of refraction, the speed of light in matter, and the value of n for water and other substances. Find out the value of n for water at 20. Refractive Index Of Water.
From gamma.app
Determining the Refractive Index of Water and Oil Refractive Index Of Water The web page explains the law of refraction, the speed of light in matter, and the value of n for water and other substances. A material’s refractive index imparts two significant effects on light: Learn what is refractive index, how to calculate it and why it is important for optical polymers. It means the speed of light is 1.33 times. Refractive Index Of Water.
From www.researchgate.net
Dependence of water refractive index on both temperature and salinity... Download Scientific Refractive Index Of Water Total internal reflection and dispersion. Learn how light bends and slows down when it enters water, and how to calculate the index of refraction of water. Find out the value of n for water at 20 °c and see examples of refraction in other waves. 72 rows in general, an index of refraction is a complex number with both a. Refractive Index Of Water.
From flatearth.ws
Refraction and Water FlatEarth.ws Refractive Index Of Water The web page explains the law of refraction, the speed of light in matter, and the value of n for water and other substances. Learn how light bends and slows down when it enters water, and how to calculate the index of refraction of water. Find out the value of n for water at 20 °c and see examples of. Refractive Index Of Water.
From mavink.com
Formula Of Refractive Index Refractive Index Of Water Find out the refractive index of water and other media, and how it varies. Total internal reflection and dispersion. Learn how light changes direction and speed when it passes through different media, and how to calculate the index of refraction n. 72 rows in general, an index of refraction is a complex number with both a real and imaginary part,. Refractive Index Of Water.
From www.britannica.com
Refractive index Definition & Equation Britannica Refractive Index Of Water It means the speed of light is 1.33 times faster in a vacuum than in water. For example, the refractive index of water is 1.33. Find out the refractive index of water and other media, and how it varies. The web page explains the law of refraction, the speed of light in matter, and the value of n for water. Refractive Index Of Water.
From www.researchgate.net
Refractive index versus wavelength of water over the spectral range 185... Download Scientific Refractive Index Of Water Find out the value of n for water at 20 °c and see examples of refraction in other waves. A material’s refractive index imparts two significant effects on light: Learn what is refractive index, how to calculate it and why it is important for optical polymers. It means the speed of light is 1.33 times faster in a vacuum than. Refractive Index Of Water.
From askfilo.com
The refractive index of water with respect to air is 34 and refractive i.. Refractive Index Of Water Total internal reflection and dispersion. 72 rows in general, an index of refraction is a complex number with both a real and imaginary part, where the latter indicates the strength of. For example, the refractive index of water is 1.33. Find out the value of n for water at 20 °c and see examples of refraction in other waves. The. Refractive Index Of Water.
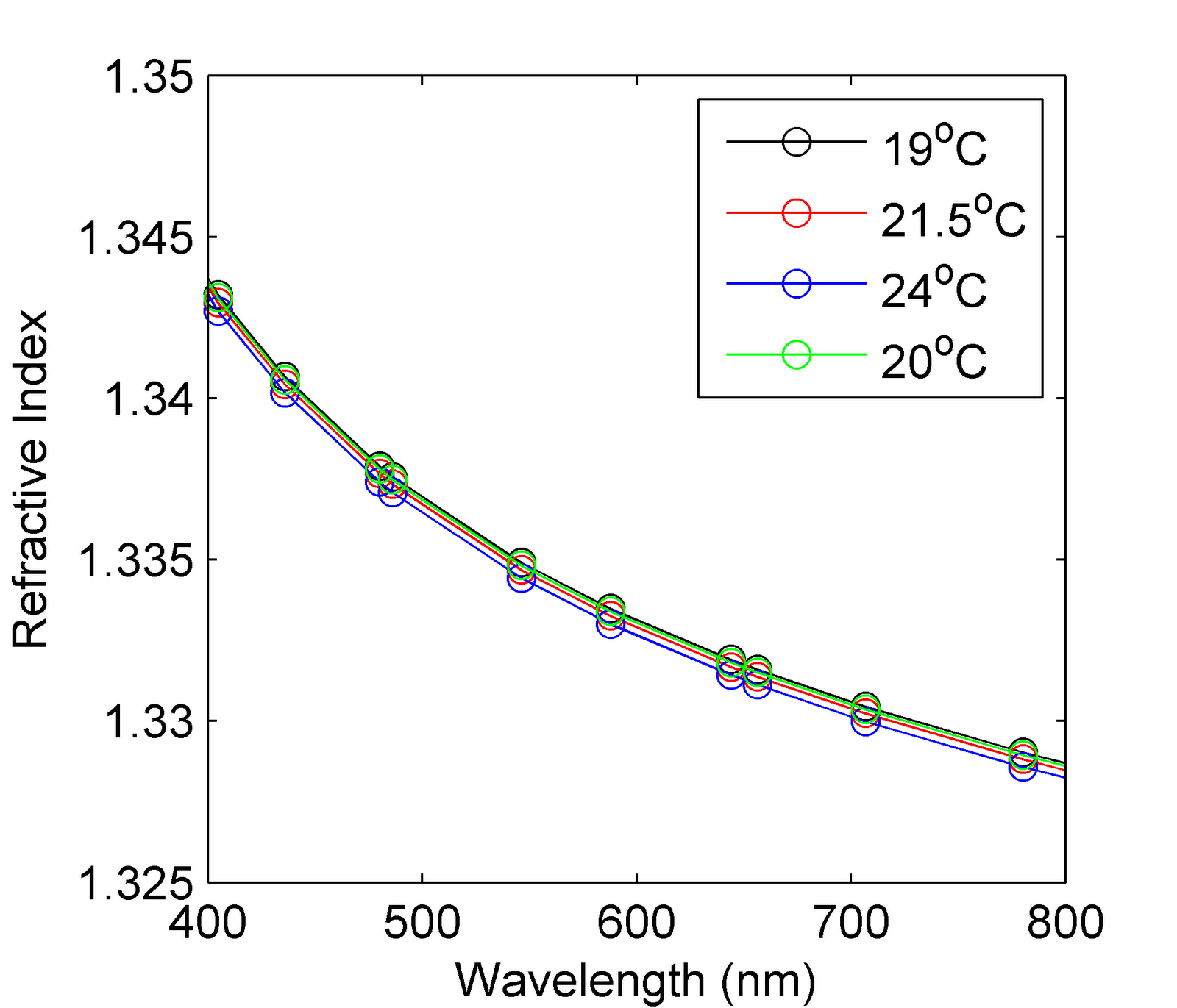
From michaellapsley.blogspot.com
Matlab was used to fit a exponential decay function to the 20 o C data Refractive Index Of Water Total internal reflection and dispersion. Find out the refractive index of water and other media, and how it varies. It means the speed of light is 1.33 times faster in a vacuum than in water. Learn how light changes direction and speed when it passes through different media, and how to calculate the index of refraction n. The refractive index. Refractive Index Of Water.
From www.toppr.com
The absolute refractive index of water is 43 . What is the critical angle? Refractive Index Of Water 72 rows in general, an index of refraction is a complex number with both a real and imaginary part, where the latter indicates the strength of. Find out the refractive index of water and other media, and how it varies. Find out the value of n for water at 20 °c and see examples of refraction in other waves. A. Refractive Index Of Water.
From e-tuitions.com
Micro Topic eTuitions Refraction of Light Refractive Index Of Water Learn what is refractive index, how to calculate it and why it is important for optical polymers. It means the speed of light is 1.33 times faster in a vacuum than in water. For example, the refractive index of water is 1.33. Find out the refractive index of water and other media, and how it varies. Learn how light bends. Refractive Index Of Water.
From www.chegg.com
Refractive Index of Ethanol / Water mixture 1.37 Refractive Index Of Water Find out the value of n for water at 20 °c and see examples of refraction in other waves. 72 rows in general, an index of refraction is a complex number with both a real and imaginary part, where the latter indicates the strength of. Learn what is refractive index, how to calculate it and why it is important for. Refractive Index Of Water.
From askfilo.com
The refractive index of water is 4/3 and the refractive index of glass is.. Refractive Index Of Water 72 rows in general, an index of refraction is a complex number with both a real and imaginary part, where the latter indicates the strength of. Find out the refractive index of water and other media, and how it varies. Find out the value of n for water at 20 °c and see examples of refraction in other waves. It. Refractive Index Of Water.
From www.wikihow.com
How to Calculate the Refractive Index in Physics 7 Steps Refractive Index Of Water Learn what is refractive index, how to calculate it and why it is important for optical polymers. Learn how light bends and slows down when it enters water, and how to calculate the index of refraction of water. 72 rows in general, an index of refraction is a complex number with both a real and imaginary part, where the latter. Refractive Index Of Water.
From www.pinterest.com
Math Principles Index of Refraction Problems Teaching science, Physics, Refraction Refractive Index Of Water A material’s refractive index imparts two significant effects on light: Learn how light bends and slows down when it enters water, and how to calculate the index of refraction of water. Learn how light changes direction and speed when it passes through different media, and how to calculate the index of refraction n. Learn what is refractive index, how to. Refractive Index Of Water.
From www.researchgate.net
Complex refractive index of water measured at 298 K in reflection ͑ R ͒... Download Scientific Refractive Index Of Water The web page explains the law of refraction, the speed of light in matter, and the value of n for water and other substances. Learn what is refractive index, how to calculate it and why it is important for optical polymers. 72 rows in general, an index of refraction is a complex number with both a real and imaginary part,. Refractive Index Of Water.
From www.youtube.com
Refractive Index Physics YouTube Refractive Index Of Water Learn what is refractive index, how to calculate it and why it is important for optical polymers. 72 rows in general, an index of refraction is a complex number with both a real and imaginary part, where the latter indicates the strength of. It means the speed of light is 1.33 times faster in a vacuum than in water. Find. Refractive Index Of Water.
From www.philiplaven.com
Refractive index Refractive Index Of Water For example, the refractive index of water is 1.33. Learn what is refractive index, how to calculate it and why it is important for optical polymers. A material’s refractive index imparts two significant effects on light: Find out the value of n for water at 20 °c and see examples of refraction in other waves. The refractive index shows the. Refractive Index Of Water.