Is Pizza Elastic Or Inelastic . In microeconomics, whether demand is elastic or inelastic depends on factors like changes in price, substitute availability, and income level. Elasticity and inelasticity of demand refer to the degree to which demand responds to a change in an economic factor. It quantifies the responsiveness or. Elasticity of demand is a critical measure in economics, indicating how the quantity demanded of a good or service responds to a change in its price. Price is the most common economic factor. Price elasticity measures the extent to which a customer is sensitive to the prices of a product or service. Price inelastic demand means only that the percentage change in quantity is less than the percentage change in price, not that the change. Analysts frequently use it to determine. Explain how and why the value. Elasticity of demand is a measure of how much the quantity demanded of a good or service changes due to a change in its price. Explain what it means for demand to be price inelastic, unit price elastic, price elastic, perfectly price inelastic, and perfectly price elastic.
from www.chegg.com
Price is the most common economic factor. Price elasticity measures the extent to which a customer is sensitive to the prices of a product or service. Price inelastic demand means only that the percentage change in quantity is less than the percentage change in price, not that the change. Explain how and why the value. Analysts frequently use it to determine. In microeconomics, whether demand is elastic or inelastic depends on factors like changes in price, substitute availability, and income level. Elasticity of demand is a critical measure in economics, indicating how the quantity demanded of a good or service responds to a change in its price. It quantifies the responsiveness or. Elasticity and inelasticity of demand refer to the degree to which demand responds to a change in an economic factor. Explain what it means for demand to be price inelastic, unit price elastic, price elastic, perfectly price inelastic, and perfectly price elastic.
Solved Suppose that the demand for pizza is inelastic. If a
Is Pizza Elastic Or Inelastic It quantifies the responsiveness or. It quantifies the responsiveness or. Explain what it means for demand to be price inelastic, unit price elastic, price elastic, perfectly price inelastic, and perfectly price elastic. In microeconomics, whether demand is elastic or inelastic depends on factors like changes in price, substitute availability, and income level. Price is the most common economic factor. Analysts frequently use it to determine. Price elasticity measures the extent to which a customer is sensitive to the prices of a product or service. Explain how and why the value. Elasticity of demand is a measure of how much the quantity demanded of a good or service changes due to a change in its price. Elasticity of demand is a critical measure in economics, indicating how the quantity demanded of a good or service responds to a change in its price. Price inelastic demand means only that the percentage change in quantity is less than the percentage change in price, not that the change. Elasticity and inelasticity of demand refer to the degree to which demand responds to a change in an economic factor.
From ecofiscal.ca
What “demand is inelastic” actually means Ecofiscal Is Pizza Elastic Or Inelastic Explain what it means for demand to be price inelastic, unit price elastic, price elastic, perfectly price inelastic, and perfectly price elastic. Elasticity of demand is a critical measure in economics, indicating how the quantity demanded of a good or service responds to a change in its price. Price is the most common economic factor. Explain how and why the. Is Pizza Elastic Or Inelastic.
From slideplayer.com
Supply, Demand, and Price ppt download Is Pizza Elastic Or Inelastic In microeconomics, whether demand is elastic or inelastic depends on factors like changes in price, substitute availability, and income level. It quantifies the responsiveness or. Price elasticity measures the extent to which a customer is sensitive to the prices of a product or service. Price is the most common economic factor. Elasticity of demand is a measure of how much. Is Pizza Elastic Or Inelastic.
From slideplayer.com
Elasticity of Demand. ppt download Is Pizza Elastic Or Inelastic Elasticity and inelasticity of demand refer to the degree to which demand responds to a change in an economic factor. Price inelastic demand means only that the percentage change in quantity is less than the percentage change in price, not that the change. Elasticity of demand is a measure of how much the quantity demanded of a good or service. Is Pizza Elastic Or Inelastic.
From www.diffzy.com
Inelastic vs. Elastic Collisions What's The Difference (With Table) Is Pizza Elastic Or Inelastic Price elasticity measures the extent to which a customer is sensitive to the prices of a product or service. Price inelastic demand means only that the percentage change in quantity is less than the percentage change in price, not that the change. In microeconomics, whether demand is elastic or inelastic depends on factors like changes in price, substitute availability, and. Is Pizza Elastic Or Inelastic.
From www.slideserve.com
PPT Price Elasticity Coefficient Formula PowerPoint Presentation Is Pizza Elastic Or Inelastic Price is the most common economic factor. Elasticity and inelasticity of demand refer to the degree to which demand responds to a change in an economic factor. Elasticity of demand is a measure of how much the quantity demanded of a good or service changes due to a change in its price. Explain what it means for demand to be. Is Pizza Elastic Or Inelastic.
From slideplayer.com
Pricing the Product Chapter Eleven. ppt download Is Pizza Elastic Or Inelastic Elasticity of demand is a measure of how much the quantity demanded of a good or service changes due to a change in its price. Elasticity and inelasticity of demand refer to the degree to which demand responds to a change in an economic factor. Price is the most common economic factor. Elasticity of demand is a critical measure in. Is Pizza Elastic Or Inelastic.
From slideplayer.com
Price Effect Market Supply Price Elasticity Change in Supply ppt download Is Pizza Elastic Or Inelastic Explain how and why the value. Elasticity of demand is a critical measure in economics, indicating how the quantity demanded of a good or service responds to a change in its price. Price is the most common economic factor. It quantifies the responsiveness or. In microeconomics, whether demand is elastic or inelastic depends on factors like changes in price, substitute. Is Pizza Elastic Or Inelastic.
From suzannesez.blogspot.com
The Down Side of A Very Elastic Pizza Dough Is Pizza Elastic Or Inelastic Explain how and why the value. Price is the most common economic factor. Price inelastic demand means only that the percentage change in quantity is less than the percentage change in price, not that the change. Analysts frequently use it to determine. In microeconomics, whether demand is elastic or inelastic depends on factors like changes in price, substitute availability, and. Is Pizza Elastic Or Inelastic.
From www.difference101.com
Elastic vs. Inelastic 5 Key Differences, Pros & Cons, Similarities Is Pizza Elastic Or Inelastic It quantifies the responsiveness or. Price inelastic demand means only that the percentage change in quantity is less than the percentage change in price, not that the change. Elasticity of demand is a measure of how much the quantity demanded of a good or service changes due to a change in its price. In microeconomics, whether demand is elastic or. Is Pizza Elastic Or Inelastic.
From www.coursehero.com
[Solved] the follwing problem. PRICE ELASTICITY APPLICATION I . A Pizza Is Pizza Elastic Or Inelastic Analysts frequently use it to determine. Explain what it means for demand to be price inelastic, unit price elastic, price elastic, perfectly price inelastic, and perfectly price elastic. Price elasticity measures the extent to which a customer is sensitive to the prices of a product or service. It quantifies the responsiveness or. Elasticity and inelasticity of demand refer to the. Is Pizza Elastic Or Inelastic.
From www.numerade.com
SOLVED A. Calculate the demand price elasticity of demand for pizza Is Pizza Elastic Or Inelastic In microeconomics, whether demand is elastic or inelastic depends on factors like changes in price, substitute availability, and income level. Elasticity of demand is a measure of how much the quantity demanded of a good or service changes due to a change in its price. Explain what it means for demand to be price inelastic, unit price elastic, price elastic,. Is Pizza Elastic Or Inelastic.
From slideplayer.com
Pizzas (hundred thousands) ppt download Is Pizza Elastic Or Inelastic In microeconomics, whether demand is elastic or inelastic depends on factors like changes in price, substitute availability, and income level. Elasticity of demand is a measure of how much the quantity demanded of a good or service changes due to a change in its price. Explain what it means for demand to be price inelastic, unit price elastic, price elastic,. Is Pizza Elastic Or Inelastic.
From slideplayer.com
How much would you be willing to pay for the following items? ppt Is Pizza Elastic Or Inelastic It quantifies the responsiveness or. In microeconomics, whether demand is elastic or inelastic depends on factors like changes in price, substitute availability, and income level. Elasticity and inelasticity of demand refer to the degree to which demand responds to a change in an economic factor. Explain how and why the value. Analysts frequently use it to determine. Price is the. Is Pizza Elastic Or Inelastic.
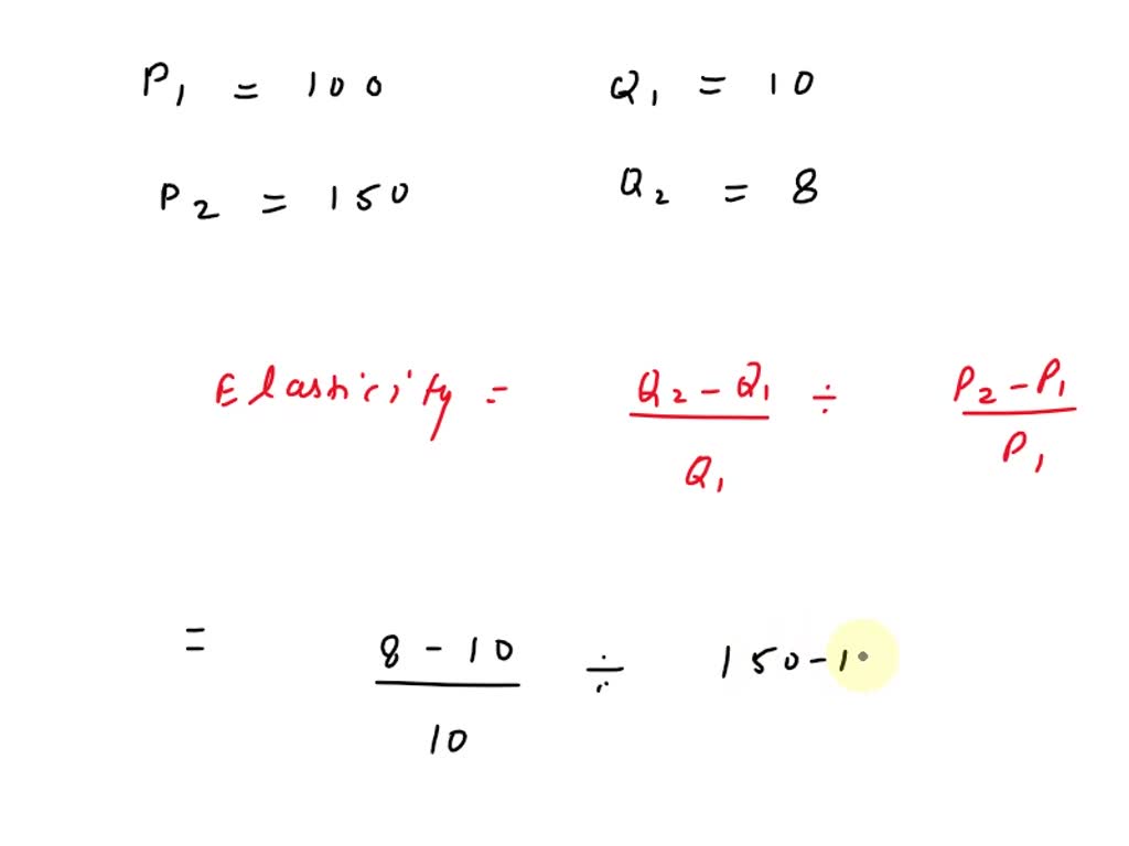
From www.numerade.com
SOLVED 1. Yesterday, the price of pizza was Phpl00 a box, and Michelle Is Pizza Elastic Or Inelastic Elasticity and inelasticity of demand refer to the degree to which demand responds to a change in an economic factor. Elasticity of demand is a measure of how much the quantity demanded of a good or service changes due to a change in its price. Analysts frequently use it to determine. Elasticity of demand is a critical measure in economics,. Is Pizza Elastic Or Inelastic.
From slideplayer.com
Table of Contents Access Prior Knowledge New Information Set Goals Is Pizza Elastic Or Inelastic In microeconomics, whether demand is elastic or inelastic depends on factors like changes in price, substitute availability, and income level. Elasticity of demand is a measure of how much the quantity demanded of a good or service changes due to a change in its price. Elasticity of demand is a critical measure in economics, indicating how the quantity demanded of. Is Pizza Elastic Or Inelastic.
From slideplayer.com
Elasticity of Demand E ppt download Is Pizza Elastic Or Inelastic It quantifies the responsiveness or. Explain what it means for demand to be price inelastic, unit price elastic, price elastic, perfectly price inelastic, and perfectly price elastic. Price inelastic demand means only that the percentage change in quantity is less than the percentage change in price, not that the change. Explain how and why the value. Analysts frequently use it. Is Pizza Elastic Or Inelastic.
From www.difference101.com
Elastic vs. Inelastic 5 Key Differences, Pros & Cons, Similarities Is Pizza Elastic Or Inelastic Elasticity and inelasticity of demand refer to the degree to which demand responds to a change in an economic factor. Price elasticity measures the extent to which a customer is sensitive to the prices of a product or service. Analysts frequently use it to determine. In microeconomics, whether demand is elastic or inelastic depends on factors like changes in price,. Is Pizza Elastic Or Inelastic.
From www.difference101.com
Elastic vs. Inelastic 5 Key Differences, Pros & Cons, Similarities Is Pizza Elastic Or Inelastic Analysts frequently use it to determine. In microeconomics, whether demand is elastic or inelastic depends on factors like changes in price, substitute availability, and income level. Elasticity and inelasticity of demand refer to the degree to which demand responds to a change in an economic factor. Explain what it means for demand to be price inelastic, unit price elastic, price. Is Pizza Elastic Or Inelastic.
From www.numerade.com
SOLVED Why is a more narrowly defined goods (pizza) likely to have a Is Pizza Elastic Or Inelastic In microeconomics, whether demand is elastic or inelastic depends on factors like changes in price, substitute availability, and income level. Elasticity and inelasticity of demand refer to the degree to which demand responds to a change in an economic factor. Price is the most common economic factor. Price elasticity measures the extent to which a customer is sensitive to the. Is Pizza Elastic Or Inelastic.
From www.numerade.com
Suppose that your demand schedule for pizza is as follows a. Use the Is Pizza Elastic Or Inelastic Elasticity of demand is a critical measure in economics, indicating how the quantity demanded of a good or service responds to a change in its price. Elasticity of demand is a measure of how much the quantity demanded of a good or service changes due to a change in its price. Analysts frequently use it to determine. In microeconomics, whether. Is Pizza Elastic Or Inelastic.
From www.scribd.com
Chekkers Pizza Elasticity Estimation PDF Is Pizza Elastic Or Inelastic Explain what it means for demand to be price inelastic, unit price elastic, price elastic, perfectly price inelastic, and perfectly price elastic. Elasticity of demand is a critical measure in economics, indicating how the quantity demanded of a good or service responds to a change in its price. Price elasticity measures the extent to which a customer is sensitive to. Is Pizza Elastic Or Inelastic.
From slideplayer.com
Elasticity of Demand E ppt download Is Pizza Elastic Or Inelastic Explain how and why the value. Price inelastic demand means only that the percentage change in quantity is less than the percentage change in price, not that the change. Elasticity and inelasticity of demand refer to the degree to which demand responds to a change in an economic factor. It quantifies the responsiveness or. Price is the most common economic. Is Pizza Elastic Or Inelastic.
From slideplayer.com
Pizzas (hundred thousands) ppt download Is Pizza Elastic Or Inelastic In microeconomics, whether demand is elastic or inelastic depends on factors like changes in price, substitute availability, and income level. It quantifies the responsiveness or. Explain how and why the value. Analysts frequently use it to determine. Elasticity and inelasticity of demand refer to the degree to which demand responds to a change in an economic factor. Price inelastic demand. Is Pizza Elastic Or Inelastic.
From www.quora.com
How to make the cheese on pizza more elastic Quora Is Pizza Elastic Or Inelastic Elasticity of demand is a critical measure in economics, indicating how the quantity demanded of a good or service responds to a change in its price. Price is the most common economic factor. Elasticity and inelasticity of demand refer to the degree to which demand responds to a change in an economic factor. Price elasticity measures the extent to which. Is Pizza Elastic Or Inelastic.
From mysliceofpizza.com
The Definitive Guide To Pizza Dough Hydration Is Pizza Elastic Or Inelastic Price inelastic demand means only that the percentage change in quantity is less than the percentage change in price, not that the change. Explain what it means for demand to be price inelastic, unit price elastic, price elastic, perfectly price inelastic, and perfectly price elastic. Price elasticity measures the extent to which a customer is sensitive to the prices of. Is Pizza Elastic Or Inelastic.
From www.bartleby.com
Answered Determine whether the demand for the… bartleby Is Pizza Elastic Or Inelastic Price inelastic demand means only that the percentage change in quantity is less than the percentage change in price, not that the change. In microeconomics, whether demand is elastic or inelastic depends on factors like changes in price, substitute availability, and income level. Analysts frequently use it to determine. Elasticity of demand is a measure of how much the quantity. Is Pizza Elastic Or Inelastic.
From homemadepizzapro.com
Pizza Dough HydrationMastering the Art of the Perfect Crust Is Pizza Elastic Or Inelastic Price inelastic demand means only that the percentage change in quantity is less than the percentage change in price, not that the change. Elasticity of demand is a critical measure in economics, indicating how the quantity demanded of a good or service responds to a change in its price. Price is the most common economic factor. It quantifies the responsiveness. Is Pizza Elastic Or Inelastic.
From www.chegg.com
Solved Consider the following demand schedule for pizza Is Pizza Elastic Or Inelastic Elasticity of demand is a critical measure in economics, indicating how the quantity demanded of a good or service responds to a change in its price. Explain how and why the value. Elasticity of demand is a measure of how much the quantity demanded of a good or service changes due to a change in its price. Explain what it. Is Pizza Elastic Or Inelastic.
From slideplayer.com
IceCream If you were planning to have a pizza for dinner and saw a Is Pizza Elastic Or Inelastic Price elasticity measures the extent to which a customer is sensitive to the prices of a product or service. Elasticity of demand is a measure of how much the quantity demanded of a good or service changes due to a change in its price. Price is the most common economic factor. Analysts frequently use it to determine. Price inelastic demand. Is Pizza Elastic Or Inelastic.
From www.slideserve.com
PPT REMEMBER PowerPoint Presentation, free download ID2923558 Is Pizza Elastic Or Inelastic Elasticity and inelasticity of demand refer to the degree to which demand responds to a change in an economic factor. It quantifies the responsiveness or. Price is the most common economic factor. Explain how and why the value. Price elasticity measures the extent to which a customer is sensitive to the prices of a product or service. Explain what it. Is Pizza Elastic Or Inelastic.
From www.facebook.com
Pizza Elastic Is Pizza Elastic Or Inelastic Elasticity of demand is a measure of how much the quantity demanded of a good or service changes due to a change in its price. Analysts frequently use it to determine. In microeconomics, whether demand is elastic or inelastic depends on factors like changes in price, substitute availability, and income level. Price is the most common economic factor. It quantifies. Is Pizza Elastic Or Inelastic.
From www.chegg.com
Solved Suppose that the demand for pizza is inelastic. If a Is Pizza Elastic Or Inelastic Explain what it means for demand to be price inelastic, unit price elastic, price elastic, perfectly price inelastic, and perfectly price elastic. Elasticity and inelasticity of demand refer to the degree to which demand responds to a change in an economic factor. Price is the most common economic factor. Explain how and why the value. Price inelastic demand means only. Is Pizza Elastic Or Inelastic.
From www.researchgate.net
Elastic, viscoelastic, and plastic behavior of a) control and Is Pizza Elastic Or Inelastic Explain what it means for demand to be price inelastic, unit price elastic, price elastic, perfectly price inelastic, and perfectly price elastic. Explain how and why the value. Price inelastic demand means only that the percentage change in quantity is less than the percentage change in price, not that the change. Price is the most common economic factor. Elasticity of. Is Pizza Elastic Or Inelastic.
From slideplayer.com
ECONOMICS Twelfth Edition, Global Edition Chapter 4 Elasticity. ppt Is Pizza Elastic Or Inelastic Analysts frequently use it to determine. Elasticity of demand is a measure of how much the quantity demanded of a good or service changes due to a change in its price. Explain how and why the value. Price is the most common economic factor. Elasticity of demand is a critical measure in economics, indicating how the quantity demanded of a. Is Pizza Elastic Or Inelastic.
From 7esl.com
Inelastic vs. Elastic Demand Understanding The Key Differences • 7ESL Is Pizza Elastic Or Inelastic Price inelastic demand means only that the percentage change in quantity is less than the percentage change in price, not that the change. Explain how and why the value. Price is the most common economic factor. In microeconomics, whether demand is elastic or inelastic depends on factors like changes in price, substitute availability, and income level. It quantifies the responsiveness. Is Pizza Elastic Or Inelastic.