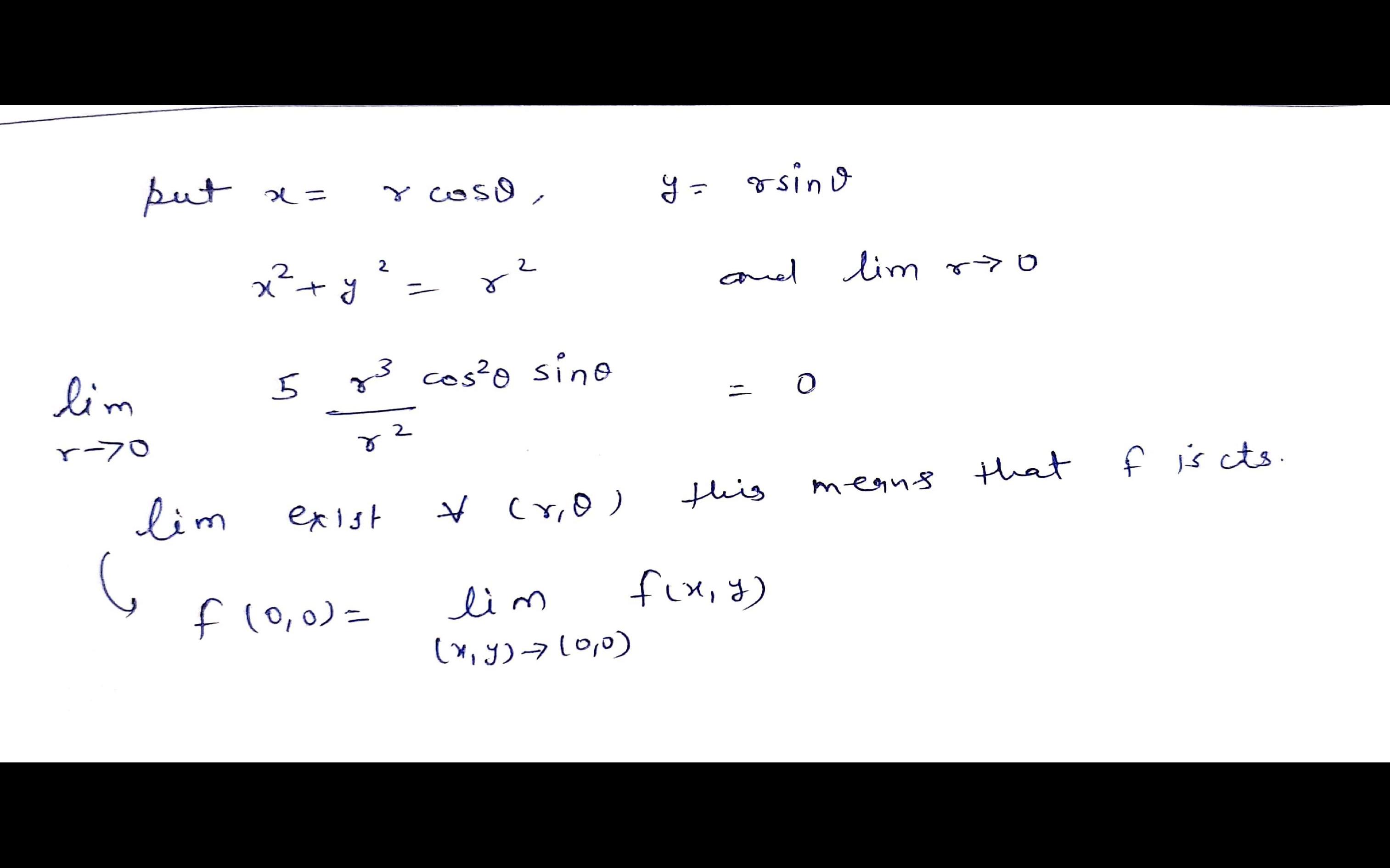
How To Check The Continuity Of A Multivariable Function . A function \(f\) of two variables is called continuous at \(\left( {a,b} \right)\) if \(\mathop {\lim }\limits_{\left( {x,y} \right) \to \left( {a,b} \right)} f\left( {x,y} \right) = f\left( {a,b} \right)\). You can access the full playlist. We say \(f\) is continuous on \(d\) if \(f\) is continuous at all points \(\left( {a,b} \right)\) in \(d\). R, d r2 such that d contains points arbitrarily close to a point (a; It follows that if f is a continuous function of one variable, then f (x) (or f (y)) is a continuous function of the variables (x, y). To check continuity of function at origin given by $$f (x, y) = \begin{cases}\dfrac{xy^{2}}{x^{2} + y ^{4}}&;& \mbox{otherwise},\\ 0&;&\mbox{ at origin}. B), we say that the limit of f (x; Welcome to my video series on multivariable differential calculus. We define continuity for functions of two variables in a similar way as we did for functions of one variable. Given a function of two variables f : Prove that the function $\sqrt{x^2+y^2}\sin \frac{1}{\sqrt{x^2+y^2}}$ is uniformly continuous in $\mathbb r^2$
from collegedunia.com
We define continuity for functions of two variables in a similar way as we did for functions of one variable. You can access the full playlist. It follows that if f is a continuous function of one variable, then f (x) (or f (y)) is a continuous function of the variables (x, y). Welcome to my video series on multivariable differential calculus. Prove that the function $\sqrt{x^2+y^2}\sin \frac{1}{\sqrt{x^2+y^2}}$ is uniformly continuous in $\mathbb r^2$ To check continuity of function at origin given by $$f (x, y) = \begin{cases}\dfrac{xy^{2}}{x^{2} + y ^{4}}&;& \mbox{otherwise},\\ 0&;&\mbox{ at origin}. R, d r2 such that d contains points arbitrarily close to a point (a; We say \(f\) is continuous on \(d\) if \(f\) is continuous at all points \(\left( {a,b} \right)\) in \(d\). Given a function of two variables f : A function \(f\) of two variables is called continuous at \(\left( {a,b} \right)\) if \(\mathop {\lim }\limits_{\left( {x,y} \right) \to \left( {a,b} \right)} f\left( {x,y} \right) = f\left( {a,b} \right)\).
Multivariable Calculus Steps, Applications & Examples
How To Check The Continuity Of A Multivariable Function You can access the full playlist. R, d r2 such that d contains points arbitrarily close to a point (a; To check continuity of function at origin given by $$f (x, y) = \begin{cases}\dfrac{xy^{2}}{x^{2} + y ^{4}}&;& \mbox{otherwise},\\ 0&;&\mbox{ at origin}. You can access the full playlist. We define continuity for functions of two variables in a similar way as we did for functions of one variable. Prove that the function $\sqrt{x^2+y^2}\sin \frac{1}{\sqrt{x^2+y^2}}$ is uniformly continuous in $\mathbb r^2$ A function \(f\) of two variables is called continuous at \(\left( {a,b} \right)\) if \(\mathop {\lim }\limits_{\left( {x,y} \right) \to \left( {a,b} \right)} f\left( {x,y} \right) = f\left( {a,b} \right)\). We say \(f\) is continuous on \(d\) if \(f\) is continuous at all points \(\left( {a,b} \right)\) in \(d\). Welcome to my video series on multivariable differential calculus. Given a function of two variables f : B), we say that the limit of f (x; It follows that if f is a continuous function of one variable, then f (x) (or f (y)) is a continuous function of the variables (x, y).
From www.youtube.com
Check Continuity of Function at Given Point YouTube How To Check The Continuity Of A Multivariable Function Prove that the function $\sqrt{x^2+y^2}\sin \frac{1}{\sqrt{x^2+y^2}}$ is uniformly continuous in $\mathbb r^2$ We say \(f\) is continuous on \(d\) if \(f\) is continuous at all points \(\left( {a,b} \right)\) in \(d\). You can access the full playlist. R, d r2 such that d contains points arbitrarily close to a point (a; To check continuity of function at origin given by. How To Check The Continuity Of A Multivariable Function.
From www.youtube.com
Continuity of a function of several Variables BS Multivariable How To Check The Continuity Of A Multivariable Function It follows that if f is a continuous function of one variable, then f (x) (or f (y)) is a continuous function of the variables (x, y). Prove that the function $\sqrt{x^2+y^2}\sin \frac{1}{\sqrt{x^2+y^2}}$ is uniformly continuous in $\mathbb r^2$ To check continuity of function at origin given by $$f (x, y) = \begin{cases}\dfrac{xy^{2}}{x^{2} + y ^{4}}&;& \mbox{otherwise},\\ 0&;&\mbox{. How To Check The Continuity Of A Multivariable Function.
From www.youtube.com
Continuity of Multivariable Functions YouTube How To Check The Continuity Of A Multivariable Function We say \(f\) is continuous on \(d\) if \(f\) is continuous at all points \(\left( {a,b} \right)\) in \(d\). Prove that the function $\sqrt{x^2+y^2}\sin \frac{1}{\sqrt{x^2+y^2}}$ is uniformly continuous in $\mathbb r^2$ To check continuity of function at origin given by $$f (x, y) = \begin{cases}\dfrac{xy^{2}}{x^{2} + y ^{4}}&;& \mbox{otherwise},\\ 0&;&\mbox{ at origin}. We define continuity for functions of two variables. How To Check The Continuity Of A Multivariable Function.
From www.youtube.com
CONTINUITY OF TWO VARIABLE FUNCTION 🔥🔥 YouTube How To Check The Continuity Of A Multivariable Function R, d r2 such that d contains points arbitrarily close to a point (a; We define continuity for functions of two variables in a similar way as we did for functions of one variable. We say \(f\) is continuous on \(d\) if \(f\) is continuous at all points \(\left( {a,b} \right)\) in \(d\). A function \(f\) of two variables is. How To Check The Continuity Of A Multivariable Function.
From www.youtube.com
Calculus 2.6c Continuity of Piecewise Functions YouTube How To Check The Continuity Of A Multivariable Function To check continuity of function at origin given by $$f (x, y) = \begin{cases}\dfrac{xy^{2}}{x^{2} + y ^{4}}&;& \mbox{otherwise},\\ 0&;&\mbox{ at origin}. Welcome to my video series on multivariable differential calculus. Prove that the function $\sqrt{x^2+y^2}\sin \frac{1}{\sqrt{x^2+y^2}}$ is uniformly continuous in $\mathbb r^2$ Given a function of two variables f : You can access the full playlist. R, d r2 such. How To Check The Continuity Of A Multivariable Function.
From www.youtube.com
[Multivariable Calculus] Limits and Continuity for Multivariable How To Check The Continuity Of A Multivariable Function Welcome to my video series on multivariable differential calculus. A function \(f\) of two variables is called continuous at \(\left( {a,b} \right)\) if \(\mathop {\lim }\limits_{\left( {x,y} \right) \to \left( {a,b} \right)} f\left( {x,y} \right) = f\left( {a,b} \right)\). Given a function of two variables f : You can access the full playlist. R, d r2 such that d contains. How To Check The Continuity Of A Multivariable Function.
From www.youtube.com
CONTINUITY OF A FUNCTIONS YouTube How To Check The Continuity Of A Multivariable Function To check continuity of function at origin given by $$f (x, y) = \begin{cases}\dfrac{xy^{2}}{x^{2} + y ^{4}}&;& \mbox{otherwise},\\ 0&;&\mbox{ at origin}. You can access the full playlist. We define continuity for functions of two variables in a similar way as we did for functions of one variable. We say \(f\) is continuous on \(d\) if \(f\) is continuous at all. How To Check The Continuity Of A Multivariable Function.
From www.teachoo.com
Example 1 Check continuity of f(x) = 2x + 3 at x = 1 Checking cont How To Check The Continuity Of A Multivariable Function We say \(f\) is continuous on \(d\) if \(f\) is continuous at all points \(\left( {a,b} \right)\) in \(d\). It follows that if f is a continuous function of one variable, then f (x) (or f (y)) is a continuous function of the variables (x, y). You can access the full playlist. R, d r2 such that d. How To Check The Continuity Of A Multivariable Function.
From www.youtube.com
Multivariable Functions Lecture 2 Part 1 Continuous Functions YouTube How To Check The Continuity Of A Multivariable Function B), we say that the limit of f (x; Welcome to my video series on multivariable differential calculus. It follows that if f is a continuous function of one variable, then f (x) (or f (y)) is a continuous function of the variables (x, y). R, d r2 such that d contains points arbitrarily close to a point. How To Check The Continuity Of A Multivariable Function.
From www.youtube.com
3 Step Continuity Test, Discontinuity, Piecewise Functions & Limits How To Check The Continuity Of A Multivariable Function We define continuity for functions of two variables in a similar way as we did for functions of one variable. R, d r2 such that d contains points arbitrarily close to a point (a; It follows that if f is a continuous function of one variable, then f (x) (or f (y)) is a continuous function of the. How To Check The Continuity Of A Multivariable Function.
From calculuscoaches.com
continuity of multivariable functions examples with detailed graphs How To Check The Continuity Of A Multivariable Function To check continuity of function at origin given by $$f (x, y) = \begin{cases}\dfrac{xy^{2}}{x^{2} + y ^{4}}&;& \mbox{otherwise},\\ 0&;&\mbox{ at origin}. R, d r2 such that d contains points arbitrarily close to a point (a; We define continuity for functions of two variables in a similar way as we did for functions of one variable. Given a function of two. How To Check The Continuity Of A Multivariable Function.
From www.youtube.com
Continuity of a Function Two Variable Function Multivariable How To Check The Continuity Of A Multivariable Function Welcome to my video series on multivariable differential calculus. A function \(f\) of two variables is called continuous at \(\left( {a,b} \right)\) if \(\mathop {\lim }\limits_{\left( {x,y} \right) \to \left( {a,b} \right)} f\left( {x,y} \right) = f\left( {a,b} \right)\). B), we say that the limit of f (x; R, d r2 such that d contains points arbitrarily close to a. How To Check The Continuity Of A Multivariable Function.
From www.youtube.com
limit and continuity of multivariable calculus part 2 YouTube How To Check The Continuity Of A Multivariable Function You can access the full playlist. Given a function of two variables f : Welcome to my video series on multivariable differential calculus. Prove that the function $\sqrt{x^2+y^2}\sin \frac{1}{\sqrt{x^2+y^2}}$ is uniformly continuous in $\mathbb r^2$ B), we say that the limit of f (x; It follows that if f is a continuous function of one variable, then f (x). How To Check The Continuity Of A Multivariable Function.
From www.youtube.com
Continuity of a function of two variables Multivariable Calculus How To Check The Continuity Of A Multivariable Function A function \(f\) of two variables is called continuous at \(\left( {a,b} \right)\) if \(\mathop {\lim }\limits_{\left( {x,y} \right) \to \left( {a,b} \right)} f\left( {x,y} \right) = f\left( {a,b} \right)\). B), we say that the limit of f (x; R, d r2 such that d contains points arbitrarily close to a point (a; To check continuity of function at origin. How To Check The Continuity Of A Multivariable Function.
From www.youtube.com
Limit and Continuity of Two Variable Function YouTube How To Check The Continuity Of A Multivariable Function We say \(f\) is continuous on \(d\) if \(f\) is continuous at all points \(\left( {a,b} \right)\) in \(d\). To check continuity of function at origin given by $$f (x, y) = \begin{cases}\dfrac{xy^{2}}{x^{2} + y ^{4}}&;& \mbox{otherwise},\\ 0&;&\mbox{ at origin}. B), we say that the limit of f (x; Given a function of two variables f : We define continuity. How To Check The Continuity Of A Multivariable Function.
From www.youtube.com
Continuity for multivariable functions Q1 YouTube How To Check The Continuity Of A Multivariable Function It follows that if f is a continuous function of one variable, then f (x) (or f (y)) is a continuous function of the variables (x, y). Welcome to my video series on multivariable differential calculus. Prove that the function $\sqrt{x^2+y^2}\sin \frac{1}{\sqrt{x^2+y^2}}$ is uniformly continuous in $\mathbb r^2$ We define continuity for functions of two variables in a. How To Check The Continuity Of A Multivariable Function.
From collegedunia.com
Multivariable Calculus Steps, Applications & Examples How To Check The Continuity Of A Multivariable Function To check continuity of function at origin given by $$f (x, y) = \begin{cases}\dfrac{xy^{2}}{x^{2} + y ^{4}}&;& \mbox{otherwise},\\ 0&;&\mbox{ at origin}. You can access the full playlist. We define continuity for functions of two variables in a similar way as we did for functions of one variable. Given a function of two variables f : R, d r2 such that. How To Check The Continuity Of A Multivariable Function.
From www.youtube.com
Continuity of a Multivariable function YouTube How To Check The Continuity Of A Multivariable Function A function \(f\) of two variables is called continuous at \(\left( {a,b} \right)\) if \(\mathop {\lim }\limits_{\left( {x,y} \right) \to \left( {a,b} \right)} f\left( {x,y} \right) = f\left( {a,b} \right)\). Prove that the function $\sqrt{x^2+y^2}\sin \frac{1}{\sqrt{x^2+y^2}}$ is uniformly continuous in $\mathbb r^2$ B), we say that the limit of f (x; We define continuity for functions of two variables in. How To Check The Continuity Of A Multivariable Function.
From www.youtube.com
Continuity of a Function Using a Graph YouTube How To Check The Continuity Of A Multivariable Function A function \(f\) of two variables is called continuous at \(\left( {a,b} \right)\) if \(\mathop {\lim }\limits_{\left( {x,y} \right) \to \left( {a,b} \right)} f\left( {x,y} \right) = f\left( {a,b} \right)\). Given a function of two variables f : We define continuity for functions of two variables in a similar way as we did for functions of one variable. B), we. How To Check The Continuity Of A Multivariable Function.
From www.youtube.com
Continuity of Multivariable Functions YouTube How To Check The Continuity Of A Multivariable Function R, d r2 such that d contains points arbitrarily close to a point (a; To check continuity of function at origin given by $$f (x, y) = \begin{cases}\dfrac{xy^{2}}{x^{2} + y ^{4}}&;& \mbox{otherwise},\\ 0&;&\mbox{ at origin}. We say \(f\) is continuous on \(d\) if \(f\) is continuous at all points \(\left( {a,b} \right)\) in \(d\). B), we say that the limit. How To Check The Continuity Of A Multivariable Function.
From www.youtube.com
Continuity of a Function Two Variable Function Multivariable How To Check The Continuity Of A Multivariable Function We define continuity for functions of two variables in a similar way as we did for functions of one variable. R, d r2 such that d contains points arbitrarily close to a point (a; You can access the full playlist. We say \(f\) is continuous on \(d\) if \(f\) is continuous at all points \(\left( {a,b} \right)\) in \(d\). Prove. How To Check The Continuity Of A Multivariable Function.
From www.youtube.com
Determine if the Piecewise Function is Continuous by using the How To Check The Continuity Of A Multivariable Function Prove that the function $\sqrt{x^2+y^2}\sin \frac{1}{\sqrt{x^2+y^2}}$ is uniformly continuous in $\mathbb r^2$ We say \(f\) is continuous on \(d\) if \(f\) is continuous at all points \(\left( {a,b} \right)\) in \(d\). To check continuity of function at origin given by $$f (x, y) = \begin{cases}\dfrac{xy^{2}}{x^{2} + y ^{4}}&;& \mbox{otherwise},\\ 0&;&\mbox{ at origin}. A function \(f\) of two variables is called. How To Check The Continuity Of A Multivariable Function.
From www.youtube.com
Multivariable Calculus Lecture 3 (Limits and Continuity of Functions of How To Check The Continuity Of A Multivariable Function We define continuity for functions of two variables in a similar way as we did for functions of one variable. Given a function of two variables f : We say \(f\) is continuous on \(d\) if \(f\) is continuous at all points \(\left( {a,b} \right)\) in \(d\). A function \(f\) of two variables is called continuous at \(\left( {a,b} \right)\). How To Check The Continuity Of A Multivariable Function.
From www.youtube.com
The existence of the Limit of a multivariable function and Continuity How To Check The Continuity Of A Multivariable Function You can access the full playlist. We say \(f\) is continuous on \(d\) if \(f\) is continuous at all points \(\left( {a,b} \right)\) in \(d\). Welcome to my video series on multivariable differential calculus. To check continuity of function at origin given by $$f (x, y) = \begin{cases}\dfrac{xy^{2}}{x^{2} + y ^{4}}&;& \mbox{otherwise},\\ 0&;&\mbox{ at origin}. It follows that if f. How To Check The Continuity Of A Multivariable Function.
From www.slideserve.com
PPT Multivariable Functions of Several Their Derivatives PowerPoint How To Check The Continuity Of A Multivariable Function A function \(f\) of two variables is called continuous at \(\left( {a,b} \right)\) if \(\mathop {\lim }\limits_{\left( {x,y} \right) \to \left( {a,b} \right)} f\left( {x,y} \right) = f\left( {a,b} \right)\). B), we say that the limit of f (x; Prove that the function $\sqrt{x^2+y^2}\sin \frac{1}{\sqrt{x^2+y^2}}$ is uniformly continuous in $\mathbb r^2$ R, d r2 such that d contains points arbitrarily. How To Check The Continuity Of A Multivariable Function.
From scoop.eduncle.com
Check for continuity for multivariable function! How To Check The Continuity Of A Multivariable Function Prove that the function $\sqrt{x^2+y^2}\sin \frac{1}{\sqrt{x^2+y^2}}$ is uniformly continuous in $\mathbb r^2$ Given a function of two variables f : It follows that if f is a continuous function of one variable, then f (x) (or f (y)) is a continuous function of the variables (x, y). We define continuity for functions of two variables in a similar. How To Check The Continuity Of A Multivariable Function.
From www.youtube.com
Multivariable Calculus Lecture 2 (Limits and Continuity of Functions of How To Check The Continuity Of A Multivariable Function You can access the full playlist. A function \(f\) of two variables is called continuous at \(\left( {a,b} \right)\) if \(\mathop {\lim }\limits_{\left( {x,y} \right) \to \left( {a,b} \right)} f\left( {x,y} \right) = f\left( {a,b} \right)\). Welcome to my video series on multivariable differential calculus. It follows that if f is a continuous function of one variable, then f . How To Check The Continuity Of A Multivariable Function.
From www.youtube.com
How to Check Continuity of a Function in Calculus 1 YouTube How To Check The Continuity Of A Multivariable Function We say \(f\) is continuous on \(d\) if \(f\) is continuous at all points \(\left( {a,b} \right)\) in \(d\). We define continuity for functions of two variables in a similar way as we did for functions of one variable. To check continuity of function at origin given by $$f (x, y) = \begin{cases}\dfrac{xy^{2}}{x^{2} + y ^{4}}&;& \mbox{otherwise},\\ 0&;&\mbox{ at origin}.. How To Check The Continuity Of A Multivariable Function.
From www.youtube.com
continuity in two variables questions on continuity of multivariable How To Check The Continuity Of A Multivariable Function Given a function of two variables f : To check continuity of function at origin given by $$f (x, y) = \begin{cases}\dfrac{xy^{2}}{x^{2} + y ^{4}}&;& \mbox{otherwise},\\ 0&;&\mbox{ at origin}. A function \(f\) of two variables is called continuous at \(\left( {a,b} \right)\) if \(\mathop {\lim }\limits_{\left( {x,y} \right) \to \left( {a,b} \right)} f\left( {x,y} \right) = f\left( {a,b} \right)\). R,. How To Check The Continuity Of A Multivariable Function.
From www.youtube.com
Multivariable Calculus Lecture 6 (Limits and Continuity of Functions of How To Check The Continuity Of A Multivariable Function We say \(f\) is continuous on \(d\) if \(f\) is continuous at all points \(\left( {a,b} \right)\) in \(d\). R, d r2 such that d contains points arbitrarily close to a point (a; You can access the full playlist. Prove that the function $\sqrt{x^2+y^2}\sin \frac{1}{\sqrt{x^2+y^2}}$ is uniformly continuous in $\mathbb r^2$ Welcome to my video series on multivariable differential calculus.. How To Check The Continuity Of A Multivariable Function.
From www.youtube.com
Multivariable Calculus Lecture 4 (Limits and Continuity of Functions of How To Check The Continuity Of A Multivariable Function We define continuity for functions of two variables in a similar way as we did for functions of one variable. R, d r2 such that d contains points arbitrarily close to a point (a; To check continuity of function at origin given by $$f (x, y) = \begin{cases}\dfrac{xy^{2}}{x^{2} + y ^{4}}&;& \mbox{otherwise},\\ 0&;&\mbox{ at origin}. B), we say that the. How To Check The Continuity Of A Multivariable Function.
From www.youtube.com
21 Continuity of Multivariable Functions YouTube How To Check The Continuity Of A Multivariable Function It follows that if f is a continuous function of one variable, then f (x) (or f (y)) is a continuous function of the variables (x, y). B), we say that the limit of f (x; R, d r2 such that d contains points arbitrarily close to a point (a; To check continuity of function at origin given. How To Check The Continuity Of A Multivariable Function.
From www.youtube.com
🟡05 Limit and Continuity of Functions of Two Variables YouTube How To Check The Continuity Of A Multivariable Function R, d r2 such that d contains points arbitrarily close to a point (a; To check continuity of function at origin given by $$f (x, y) = \begin{cases}\dfrac{xy^{2}}{x^{2} + y ^{4}}&;& \mbox{otherwise},\\ 0&;&\mbox{ at origin}. B), we say that the limit of f (x; A function \(f\) of two variables is called continuous at \(\left( {a,b} \right)\) if \(\mathop {\lim. How To Check The Continuity Of A Multivariable Function.
From www.youtube.com
Multivariable Calculus 2 Continuity YouTube How To Check The Continuity Of A Multivariable Function A function \(f\) of two variables is called continuous at \(\left( {a,b} \right)\) if \(\mathop {\lim }\limits_{\left( {x,y} \right) \to \left( {a,b} \right)} f\left( {x,y} \right) = f\left( {a,b} \right)\). R, d r2 such that d contains points arbitrarily close to a point (a; B), we say that the limit of f (x; We define continuity for functions of two. How To Check The Continuity Of A Multivariable Function.
From www.slideserve.com
PPT Multivariable Functions of Several Their Derivatives PowerPoint How To Check The Continuity Of A Multivariable Function Prove that the function $\sqrt{x^2+y^2}\sin \frac{1}{\sqrt{x^2+y^2}}$ is uniformly continuous in $\mathbb r^2$ A function \(f\) of two variables is called continuous at \(\left( {a,b} \right)\) if \(\mathop {\lim }\limits_{\left( {x,y} \right) \to \left( {a,b} \right)} f\left( {x,y} \right) = f\left( {a,b} \right)\). Given a function of two variables f : We define continuity for functions of two variables in a. How To Check The Continuity Of A Multivariable Function.