Solar Wind Short Description . The solar wind is the term used to describe the endless stream of particles like electrons and protons that the sun constantly emits. The solar wind streams off of the sun in all directions at speeds of about 400 km/s (about 1 million miles per hour). The source of the solar wind is the sun's hot corona. Explore the phenomenon in more detail here. Learn about its implications on spacecraft and. Discover the different types of solar wind, how it interacts with earth’s magnetic field, and its impact on space weather. Solar wind is composed of charged particles and the sun's magnetic field and is continually released from our star. This invisible energy is known as the solar wind, and it extends throughout our entire solar system and even beyond. Solar wind, flux of particles, chiefly protons and electrons together with nuclei of heavier elements in smaller numbers, that are accelerated by the high temperatures of the. The solar wind is a flow of particles that comes off the sun at about one million miles per hour and travels throughout the entire solar system.
from www.slideserve.com
Explore the phenomenon in more detail here. Learn about its implications on spacecraft and. Solar wind is composed of charged particles and the sun's magnetic field and is continually released from our star. The solar wind is a flow of particles that comes off the sun at about one million miles per hour and travels throughout the entire solar system. This invisible energy is known as the solar wind, and it extends throughout our entire solar system and even beyond. The source of the solar wind is the sun's hot corona. The solar wind streams off of the sun in all directions at speeds of about 400 km/s (about 1 million miles per hour). Solar wind, flux of particles, chiefly protons and electrons together with nuclei of heavier elements in smaller numbers, that are accelerated by the high temperatures of the. The solar wind is the term used to describe the endless stream of particles like electrons and protons that the sun constantly emits. Discover the different types of solar wind, how it interacts with earth’s magnetic field, and its impact on space weather.
PPT Tassev Y., P.I.Y. Velinov , D. Tomova * , A . M ish ev ** PowerPoint Presentation ID9624254
Solar Wind Short Description Learn about its implications on spacecraft and. The solar wind streams off of the sun in all directions at speeds of about 400 km/s (about 1 million miles per hour). Explore the phenomenon in more detail here. Learn about its implications on spacecraft and. The solar wind is the term used to describe the endless stream of particles like electrons and protons that the sun constantly emits. This invisible energy is known as the solar wind, and it extends throughout our entire solar system and even beyond. The source of the solar wind is the sun's hot corona. The solar wind is a flow of particles that comes off the sun at about one million miles per hour and travels throughout the entire solar system. Solar wind is composed of charged particles and the sun's magnetic field and is continually released from our star. Discover the different types of solar wind, how it interacts with earth’s magnetic field, and its impact on space weather. Solar wind, flux of particles, chiefly protons and electrons together with nuclei of heavier elements in smaller numbers, that are accelerated by the high temperatures of the.
From www.semanticscholar.org
Figure 2 from The source region of the solar wind B . N . Dwivedi Semantic Scholar Solar Wind Short Description The source of the solar wind is the sun's hot corona. Solar wind is composed of charged particles and the sun's magnetic field and is continually released from our star. This invisible energy is known as the solar wind, and it extends throughout our entire solar system and even beyond. The solar wind is a flow of particles that comes. Solar Wind Short Description.
From guam.desertcart.com
Buy ECOWORTHY 1200W Solar Wind Power Kit 1 400 Watt Wind Turbine Generator + 4 195W Mono Solar Solar Wind Short Description The solar wind is the term used to describe the endless stream of particles like electrons and protons that the sun constantly emits. Discover the different types of solar wind, how it interacts with earth’s magnetic field, and its impact on space weather. The solar wind is a flow of particles that comes off the sun at about one million. Solar Wind Short Description.
From www.slideserve.com
PPT L owSpeed Solar Wind and New Classification of Solar Wind PowerPoint Presentation ID Solar Wind Short Description Discover the different types of solar wind, how it interacts with earth’s magnetic field, and its impact on space weather. The solar wind streams off of the sun in all directions at speeds of about 400 km/s (about 1 million miles per hour). The solar wind is the term used to describe the endless stream of particles like electrons and. Solar Wind Short Description.
From planetfacts.org
What are solar winds? Facts Solar Wind Short Description Explore the phenomenon in more detail here. Discover the different types of solar wind, how it interacts with earth’s magnetic field, and its impact on space weather. The solar wind is a flow of particles that comes off the sun at about one million miles per hour and travels throughout the entire solar system. Solar wind, flux of particles, chiefly. Solar Wind Short Description.
From powerclues.com
What is True for Solar Wind And Geothermal Energy a Their Use is Dependent on Location? Power Solar Wind Short Description Solar wind is composed of charged particles and the sun's magnetic field and is continually released from our star. The source of the solar wind is the sun's hot corona. Learn about its implications on spacecraft and. Discover the different types of solar wind, how it interacts with earth’s magnetic field, and its impact on space weather. The solar wind. Solar Wind Short Description.
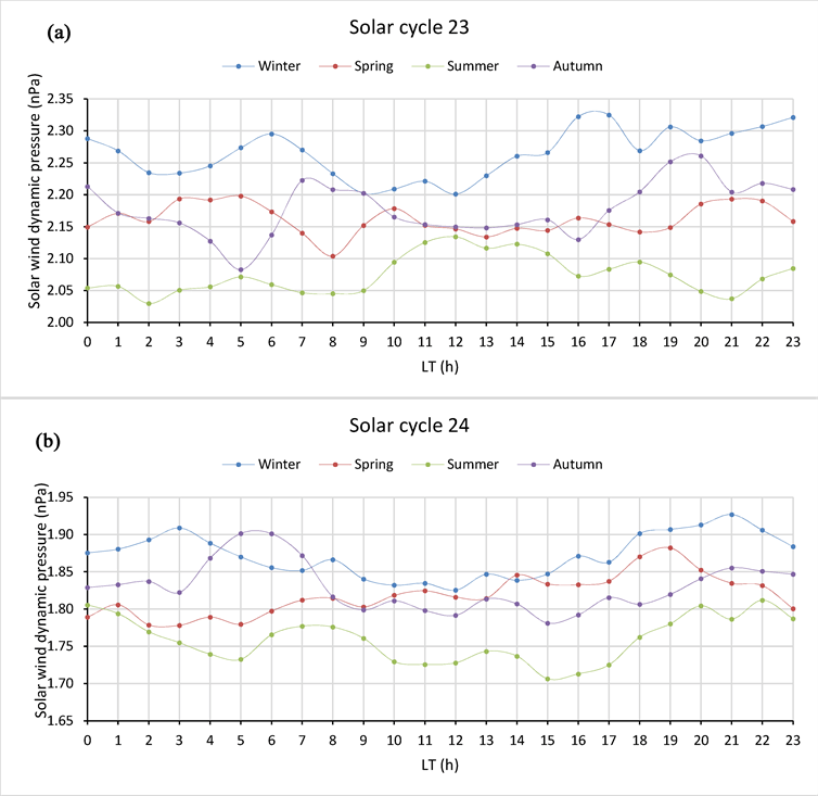
From www.scirp.org
Seasonal Variations of Solar Wind Parameters during Solar Cycles 23 and 24 Solar Wind Short Description The source of the solar wind is the sun's hot corona. Solar wind is composed of charged particles and the sun's magnetic field and is continually released from our star. Learn about its implications on spacecraft and. The solar wind streams off of the sun in all directions at speeds of about 400 km/s (about 1 million miles per hour).. Solar Wind Short Description.
From www.researchgate.net
A sketch of the solar wind interaction with the during... Download Scientific Solar Wind Short Description Solar wind is composed of charged particles and the sun's magnetic field and is continually released from our star. The solar wind is a flow of particles that comes off the sun at about one million miles per hour and travels throughout the entire solar system. Discover the different types of solar wind, how it interacts with earth’s magnetic field,. Solar Wind Short Description.
From www.slideserve.com
PPT Tassev Y., P.I.Y. Velinov , D. Tomova * , A . M ish ev ** PowerPoint Presentation ID9624254 Solar Wind Short Description Explore the phenomenon in more detail here. Solar wind is composed of charged particles and the sun's magnetic field and is continually released from our star. Solar wind, flux of particles, chiefly protons and electrons together with nuclei of heavier elements in smaller numbers, that are accelerated by the high temperatures of the. Discover the different types of solar wind,. Solar Wind Short Description.
From www.slideserve.com
PPT L owSpeed Solar Wind and New Classification of Solar Wind PowerPoint Presentation ID Solar Wind Short Description The source of the solar wind is the sun's hot corona. Solar wind is composed of charged particles and the sun's magnetic field and is continually released from our star. Learn about its implications on spacecraft and. The solar wind is the term used to describe the endless stream of particles like electrons and protons that the sun constantly emits.. Solar Wind Short Description.
From www.pinterest.com
Solar wind vector illustration diagram VectorMine in 2023 Earth's field, Earth and Solar Wind Short Description Explore the phenomenon in more detail here. Solar wind, flux of particles, chiefly protons and electrons together with nuclei of heavier elements in smaller numbers, that are accelerated by the high temperatures of the. This invisible energy is known as the solar wind, and it extends throughout our entire solar system and even beyond. Learn about its implications on spacecraft. Solar Wind Short Description.
From tech.hindustantimes.com
Breakthrough by Parker Solar Probe! After 60 years, origin of solar wind found, says NASA Tech Solar Wind Short Description Solar wind is composed of charged particles and the sun's magnetic field and is continually released from our star. Discover the different types of solar wind, how it interacts with earth’s magnetic field, and its impact on space weather. Learn about its implications on spacecraft and. The solar wind streams off of the sun in all directions at speeds of. Solar Wind Short Description.
From www.sliderbase.com
The Solar Atmosphere Solar Wind Short Description Explore the phenomenon in more detail here. Solar wind, flux of particles, chiefly protons and electrons together with nuclei of heavier elements in smaller numbers, that are accelerated by the high temperatures of the. This invisible energy is known as the solar wind, and it extends throughout our entire solar system and even beyond. Discover the different types of solar. Solar Wind Short Description.
From www.techexplorist.com
How the solar wind evolves with increasing distance from the Sun? Solar Wind Short Description Discover the different types of solar wind, how it interacts with earth’s magnetic field, and its impact on space weather. Learn about its implications on spacecraft and. The solar wind streams off of the sun in all directions at speeds of about 400 km/s (about 1 million miles per hour). This invisible energy is known as the solar wind, and. Solar Wind Short Description.
From www.newscientist.com
Solar wind that blasts from sun may be driven by tiny plasma flares New Scientist Solar Wind Short Description The solar wind is a flow of particles that comes off the sun at about one million miles per hour and travels throughout the entire solar system. Solar wind is composed of charged particles and the sun's magnetic field and is continually released from our star. The source of the solar wind is the sun's hot corona. Discover the different. Solar Wind Short Description.
From www.studocu.com
Solar AND WIND Power SOLAR AND WIND POWER A SOLAR ENERGY FOR HEAT PASSIVE Solar heating Solar Wind Short Description Solar wind, flux of particles, chiefly protons and electrons together with nuclei of heavier elements in smaller numbers, that are accelerated by the high temperatures of the. The source of the solar wind is the sun's hot corona. The solar wind is a flow of particles that comes off the sun at about one million miles per hour and travels. Solar Wind Short Description.
From www.academia.edu
(PDF) The solar wind throughout the solar cycle Steven Suess Academia.edu Solar Wind Short Description Learn about its implications on spacecraft and. The solar wind is a flow of particles that comes off the sun at about one million miles per hour and travels throughout the entire solar system. Discover the different types of solar wind, how it interacts with earth’s magnetic field, and its impact on space weather. Solar wind is composed of charged. Solar Wind Short Description.
From www.dreamstime.com
Solar Wind Protection. Solar Storm Shield, Earth Field and Sun Rays Wave Stock Vector Solar Wind Short Description Explore the phenomenon in more detail here. Solar wind, flux of particles, chiefly protons and electrons together with nuclei of heavier elements in smaller numbers, that are accelerated by the high temperatures of the. The source of the solar wind is the sun's hot corona. The solar wind is a flow of particles that comes off the sun at about. Solar Wind Short Description.
From www.nhbs.com
Basics of the Solar Wind NHBS Academic & Professional Books Solar Wind Short Description This invisible energy is known as the solar wind, and it extends throughout our entire solar system and even beyond. Explore the phenomenon in more detail here. Solar wind is composed of charged particles and the sun's magnetic field and is continually released from our star. Discover the different types of solar wind, how it interacts with earth’s magnetic field,. Solar Wind Short Description.
From www.alamy.com
Solar wind protection. Solar storm shield, earth field and sun rays wave. Natural Solar Wind Short Description The solar wind is a flow of particles that comes off the sun at about one million miles per hour and travels throughout the entire solar system. Discover the different types of solar wind, how it interacts with earth’s magnetic field, and its impact on space weather. Learn about its implications on spacecraft and. Solar wind, flux of particles, chiefly. Solar Wind Short Description.
From www.slideserve.com
PPT Solar wind PowerPoint Presentation, free download ID9330894 Solar Wind Short Description The source of the solar wind is the sun's hot corona. Explore the phenomenon in more detail here. The solar wind is a flow of particles that comes off the sun at about one million miles per hour and travels throughout the entire solar system. Solar wind, flux of particles, chiefly protons and electrons together with nuclei of heavier elements. Solar Wind Short Description.
From www.bol.com
Solar Wind 9781632395726 Boeken Solar Wind Short Description Discover the different types of solar wind, how it interacts with earth’s magnetic field, and its impact on space weather. The solar wind is the term used to describe the endless stream of particles like electrons and protons that the sun constantly emits. The solar wind is a flow of particles that comes off the sun at about one million. Solar Wind Short Description.
From science.nasa.gov
Solar Wind on the Moon NASA Science Solar Wind Short Description This invisible energy is known as the solar wind, and it extends throughout our entire solar system and even beyond. Discover the different types of solar wind, how it interacts with earth’s magnetic field, and its impact on space weather. Learn about its implications on spacecraft and. The solar wind streams off of the sun in all directions at speeds. Solar Wind Short Description.
From www.academia.edu
(PDF) Optimal Design of Pole for Solar Wind Hybrid Energy System Syed Atif Iqrar Academia.edu Solar Wind Short Description Discover the different types of solar wind, how it interacts with earth’s magnetic field, and its impact on space weather. The source of the solar wind is the sun's hot corona. The solar wind is a flow of particles that comes off the sun at about one million miles per hour and travels throughout the entire solar system. Solar wind,. Solar Wind Short Description.
From slideplayer.com
Chapter 14 Our Star. ppt video online download Solar Wind Short Description Explore the phenomenon in more detail here. Learn about its implications on spacecraft and. The solar wind is a flow of particles that comes off the sun at about one million miles per hour and travels throughout the entire solar system. This invisible energy is known as the solar wind, and it extends throughout our entire solar system and even. Solar Wind Short Description.
From cartoondealer.com
Solar Wind Vector Illustration Diagram With Earth Field. Process Scheme Solar Wind Short Description This invisible energy is known as the solar wind, and it extends throughout our entire solar system and even beyond. Explore the phenomenon in more detail here. Discover the different types of solar wind, how it interacts with earth’s magnetic field, and its impact on space weather. The solar wind is the term used to describe the endless stream of. Solar Wind Short Description.
From kids.britannica.com
aurora Students Britannica Kids Homework Help Solar Wind Short Description Solar wind, flux of particles, chiefly protons and electrons together with nuclei of heavier elements in smaller numbers, that are accelerated by the high temperatures of the. The solar wind is a flow of particles that comes off the sun at about one million miles per hour and travels throughout the entire solar system. Discover the different types of solar. Solar Wind Short Description.
From gamesmartz.com
Solar Wind Definition & Image GameSmartz Solar Wind Short Description Discover the different types of solar wind, how it interacts with earth’s magnetic field, and its impact on space weather. The solar wind streams off of the sun in all directions at speeds of about 400 km/s (about 1 million miles per hour). Learn about its implications on spacecraft and. Solar wind, flux of particles, chiefly protons and electrons together. Solar Wind Short Description.
From www.youtube.com
Why Solar Winds Are 10 Times Hotter When They Hit Earth YouTube Solar Wind Short Description Explore the phenomenon in more detail here. Solar wind is composed of charged particles and the sun's magnetic field and is continually released from our star. This invisible energy is known as the solar wind, and it extends throughout our entire solar system and even beyond. The solar wind streams off of the sun in all directions at speeds of. Solar Wind Short Description.
From www.freeingenergy.com
A simple and affordable plan to address the intermittency of solar and wind Solar Wind Short Description Explore the phenomenon in more detail here. Learn about its implications on spacecraft and. The solar wind is a flow of particles that comes off the sun at about one million miles per hour and travels throughout the entire solar system. The solar wind streams off of the sun in all directions at speeds of about 400 km/s (about 1. Solar Wind Short Description.
From www.researchgate.net
The illustration of the geoeffectiveness of solar wind current sheets... Download Scientific Solar Wind Short Description Solar wind is composed of charged particles and the sun's magnetic field and is continually released from our star. The solar wind is the term used to describe the endless stream of particles like electrons and protons that the sun constantly emits. The solar wind is a flow of particles that comes off the sun at about one million miles. Solar Wind Short Description.
From www.qsl.net
What is Solar Wind? Solar Wind Short Description This invisible energy is known as the solar wind, and it extends throughout our entire solar system and even beyond. Learn about its implications on spacecraft and. Solar wind is composed of charged particles and the sun's magnetic field and is continually released from our star. The solar wind streams off of the sun in all directions at speeds of. Solar Wind Short Description.
From www.slideserve.com
PPT The Solar Wind PowerPoint Presentation, free download ID4197468 Solar Wind Short Description The source of the solar wind is the sun's hot corona. The solar wind is a flow of particles that comes off the sun at about one million miles per hour and travels throughout the entire solar system. Solar wind is composed of charged particles and the sun's magnetic field and is continually released from our star. The solar wind. Solar Wind Short Description.
From www.flickr.com
03 Solar Wind The solar wind, a plasma, is a stream of cha… Flickr Solar Wind Short Description The source of the solar wind is the sun's hot corona. The solar wind is a flow of particles that comes off the sun at about one million miles per hour and travels throughout the entire solar system. The solar wind streams off of the sun in all directions at speeds of about 400 km/s (about 1 million miles per. Solar Wind Short Description.
From www.scirp.org
Seasonal Variations of Solar Wind Parameters during Solar Cycles 23 and 24 Solar Wind Short Description Discover the different types of solar wind, how it interacts with earth’s magnetic field, and its impact on space weather. Learn about its implications on spacecraft and. The solar wind is a flow of particles that comes off the sun at about one million miles per hour and travels throughout the entire solar system. The solar wind is the term. Solar Wind Short Description.
From www.researchgate.net
(PDF) Causes and Consequences of the Weakening of the Solar Wind in the Current Epoch of the Solar Wind Short Description Explore the phenomenon in more detail here. The solar wind is a flow of particles that comes off the sun at about one million miles per hour and travels throughout the entire solar system. The solar wind streams off of the sun in all directions at speeds of about 400 km/s (about 1 million miles per hour). The source of. Solar Wind Short Description.