Missouri Title Gift Affidavit . The motor vehicle described on the attached application has not been operated on public roads or the highways of missouri by myself, or my agent during the period of __ __ /__ __. Learn all the mo dor's requirements to officially change ownership of a vehicle. The motor vehicle described on the attached application has not been operated on public roads or the highways of missouri by myself, or my agent during the period of __ __ /__ __. I am giving this motor vehicle to _____ _____ and there is no money or other valuable consideration involved in the. I am giving this motor vehicle to _____ _____ and there is no money or other valuable consideration involved in the transaction. Missouri procedure for transferring a vehicle title when buying, selling, inheriting, or donating a car. Must submit the completed general affidavit (above) with the other required title and registration documents; Will not pay state or.
from printableformsfree.com
I am giving this motor vehicle to _____ _____ and there is no money or other valuable consideration involved in the transaction. Learn all the mo dor's requirements to officially change ownership of a vehicle. Missouri procedure for transferring a vehicle title when buying, selling, inheriting, or donating a car. Must submit the completed general affidavit (above) with the other required title and registration documents; I am giving this motor vehicle to _____ _____ and there is no money or other valuable consideration involved in the. The motor vehicle described on the attached application has not been operated on public roads or the highways of missouri by myself, or my agent during the period of __ __ /__ __. Will not pay state or. The motor vehicle described on the attached application has not been operated on public roads or the highways of missouri by myself, or my agent during the period of __ __ /__ __.
Printable Missouri Affidavit Form Pdf Printable Forms Free Online
Missouri Title Gift Affidavit The motor vehicle described on the attached application has not been operated on public roads or the highways of missouri by myself, or my agent during the period of __ __ /__ __. I am giving this motor vehicle to _____ _____ and there is no money or other valuable consideration involved in the. Learn all the mo dor's requirements to officially change ownership of a vehicle. Missouri procedure for transferring a vehicle title when buying, selling, inheriting, or donating a car. Must submit the completed general affidavit (above) with the other required title and registration documents; Will not pay state or. The motor vehicle described on the attached application has not been operated on public roads or the highways of missouri by myself, or my agent during the period of __ __ /__ __. The motor vehicle described on the attached application has not been operated on public roads or the highways of missouri by myself, or my agent during the period of __ __ /__ __. I am giving this motor vehicle to _____ _____ and there is no money or other valuable consideration involved in the transaction.
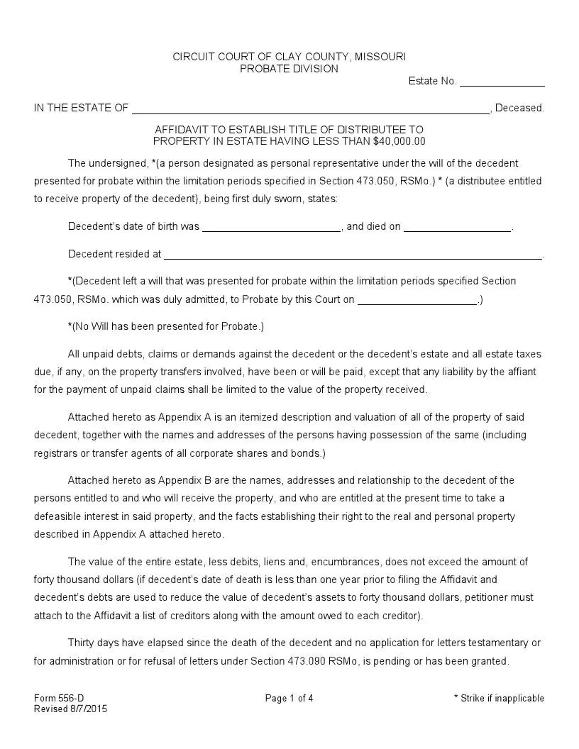
From www.uslegalforms.com
Missouri Affidavit to Establish Title of Distributee to Property in Missouri Title Gift Affidavit Must submit the completed general affidavit (above) with the other required title and registration documents; Learn all the mo dor's requirements to officially change ownership of a vehicle. I am giving this motor vehicle to _____ _____ and there is no money or other valuable consideration involved in the. I am giving this motor vehicle to _____ _____ and there. Missouri Title Gift Affidavit.
From webmotor.org
Affidavit Of Gift Motor Vehicle Missouri Missouri Title Gift Affidavit Will not pay state or. Learn all the mo dor's requirements to officially change ownership of a vehicle. The motor vehicle described on the attached application has not been operated on public roads or the highways of missouri by myself, or my agent during the period of __ __ /__ __. I am giving this motor vehicle to _____ _____. Missouri Title Gift Affidavit.
From printableformsfree.com
Printable Missouri Affidavit Form Pdf Printable Forms Free Online Missouri Title Gift Affidavit I am giving this motor vehicle to _____ _____ and there is no money or other valuable consideration involved in the. The motor vehicle described on the attached application has not been operated on public roads or the highways of missouri by myself, or my agent during the period of __ __ /__ __. Will not pay state or. Learn. Missouri Title Gift Affidavit.
From pdfsimpli.com
Missouri Affidavit Application For Missouri Repossession Title PDFSimpli Missouri Title Gift Affidavit The motor vehicle described on the attached application has not been operated on public roads or the highways of missouri by myself, or my agent during the period of __ __ /__ __. I am giving this motor vehicle to _____ _____ and there is no money or other valuable consideration involved in the. Must submit the completed general affidavit. Missouri Title Gift Affidavit.
From mybios.me
Gift Affidavit Form Missouri Bios Pics Missouri Title Gift Affidavit I am giving this motor vehicle to _____ _____ and there is no money or other valuable consideration involved in the. Learn all the mo dor's requirements to officially change ownership of a vehicle. The motor vehicle described on the attached application has not been operated on public roads or the highways of missouri by myself, or my agent during. Missouri Title Gift Affidavit.
From mybios.me
Gift Affidavit Form Missouri Bios Pics Missouri Title Gift Affidavit I am giving this motor vehicle to _____ _____ and there is no money or other valuable consideration involved in the. The motor vehicle described on the attached application has not been operated on public roads or the highways of missouri by myself, or my agent during the period of __ __ /__ __. Learn all the mo dor's requirements. Missouri Title Gift Affidavit.
From klaaivnpz.blob.core.windows.net
Gift Tax Property Transfer Child at Pete Wilkerson blog Missouri Title Gift Affidavit Will not pay state or. I am giving this motor vehicle to _____ _____ and there is no money or other valuable consideration involved in the. The motor vehicle described on the attached application has not been operated on public roads or the highways of missouri by myself, or my agent during the period of __ __ /__ __. I. Missouri Title Gift Affidavit.
From www.goodwillcardonation.org
How To Sign Your Missouri Vehicle Title Goodwill Car Donation Missouri Title Gift Affidavit Missouri procedure for transferring a vehicle title when buying, selling, inheriting, or donating a car. Must submit the completed general affidavit (above) with the other required title and registration documents; Learn all the mo dor's requirements to officially change ownership of a vehicle. The motor vehicle described on the attached application has not been operated on public roads or the. Missouri Title Gift Affidavit.
From www.pdffiller.com
Heirship Affidavit Descent Missouri Doc Template pdfFiller Missouri Title Gift Affidavit Missouri procedure for transferring a vehicle title when buying, selling, inheriting, or donating a car. I am giving this motor vehicle to _____ _____ and there is no money or other valuable consideration involved in the transaction. Must submit the completed general affidavit (above) with the other required title and registration documents; Will not pay state or. Learn all the. Missouri Title Gift Affidavit.
From www.speedytemplate.com
Free Missouri Affidavit/Application For Missouri Repossession Title Missouri Title Gift Affidavit The motor vehicle described on the attached application has not been operated on public roads or the highways of missouri by myself, or my agent during the period of __ __ /__ __. Missouri procedure for transferring a vehicle title when buying, selling, inheriting, or donating a car. I am giving this motor vehicle to _____ _____ and there is. Missouri Title Gift Affidavit.
From www.signnow.com
Mo General Affidavit Complete with ease airSlate SignNow Missouri Title Gift Affidavit The motor vehicle described on the attached application has not been operated on public roads or the highways of missouri by myself, or my agent during the period of __ __ /__ __. Missouri procedure for transferring a vehicle title when buying, selling, inheriting, or donating a car. I am giving this motor vehicle to _____ _____ and there is. Missouri Title Gift Affidavit.
From www.signnow.com
Name Affidavit of Seller Missouri Form Fill Out and Sign Printable Missouri Title Gift Affidavit Learn all the mo dor's requirements to officially change ownership of a vehicle. Missouri procedure for transferring a vehicle title when buying, selling, inheriting, or donating a car. I am giving this motor vehicle to _____ _____ and there is no money or other valuable consideration involved in the transaction. Will not pay state or. Must submit the completed general. Missouri Title Gift Affidavit.
From www.uslegalforms.com
Missouri Affidavit to Establish Title of Distributee to Property in Missouri Title Gift Affidavit Will not pay state or. Missouri procedure for transferring a vehicle title when buying, selling, inheriting, or donating a car. I am giving this motor vehicle to _____ _____ and there is no money or other valuable consideration involved in the transaction. I am giving this motor vehicle to _____ _____ and there is no money or other valuable consideration. Missouri Title Gift Affidavit.
From www.uslegalforms.com
Missouri Affidavit US Legal Forms Missouri Title Gift Affidavit I am giving this motor vehicle to _____ _____ and there is no money or other valuable consideration involved in the. Must submit the completed general affidavit (above) with the other required title and registration documents; I am giving this motor vehicle to _____ _____ and there is no money or other valuable consideration involved in the transaction. The motor. Missouri Title Gift Affidavit.
From www.goodwillcardonation.org
How To Sign Your Missouri Vehicle Title Goodwill Car Donation Missouri Title Gift Affidavit I am giving this motor vehicle to _____ _____ and there is no money or other valuable consideration involved in the transaction. I am giving this motor vehicle to _____ _____ and there is no money or other valuable consideration involved in the. The motor vehicle described on the attached application has not been operated on public roads or the. Missouri Title Gift Affidavit.
From mybios.me
Gift Affidavit Form Missouri Bios Pics Missouri Title Gift Affidavit I am giving this motor vehicle to _____ _____ and there is no money or other valuable consideration involved in the transaction. The motor vehicle described on the attached application has not been operated on public roads or the highways of missouri by myself, or my agent during the period of __ __ /__ __. Must submit the completed general. Missouri Title Gift Affidavit.
From www.formsbirds.com
Affidavit of Gift Form 7 Free Templates in PDF, Word, Excel Download Missouri Title Gift Affidavit Missouri procedure for transferring a vehicle title when buying, selling, inheriting, or donating a car. Must submit the completed general affidavit (above) with the other required title and registration documents; The motor vehicle described on the attached application has not been operated on public roads or the highways of missouri by myself, or my agent during the period of __. Missouri Title Gift Affidavit.
From webmotor.org
Affidavit Of Gift Motor Vehicle Missouri Missouri Title Gift Affidavit Must submit the completed general affidavit (above) with the other required title and registration documents; The motor vehicle described on the attached application has not been operated on public roads or the highways of missouri by myself, or my agent during the period of __ __ /__ __. Learn all the mo dor's requirements to officially change ownership of a. Missouri Title Gift Affidavit.
From formspal.com
Free Missouri Small Estate Affidavit Form (PDF) FormsPal Missouri Title Gift Affidavit Must submit the completed general affidavit (above) with the other required title and registration documents; I am giving this motor vehicle to _____ _____ and there is no money or other valuable consideration involved in the transaction. The motor vehicle described on the attached application has not been operated on public roads or the highways of missouri by myself, or. Missouri Title Gift Affidavit.
From old.sermitsiaq.ag
Gift Affidavit Template Missouri Title Gift Affidavit Learn all the mo dor's requirements to officially change ownership of a vehicle. I am giving this motor vehicle to _____ _____ and there is no money or other valuable consideration involved in the transaction. Must submit the completed general affidavit (above) with the other required title and registration documents; The motor vehicle described on the attached application has not. Missouri Title Gift Affidavit.
From www.uslegalforms.com
Missouri Affidavit to Establish Title of Distributee to Property in Missouri Title Gift Affidavit The motor vehicle described on the attached application has not been operated on public roads or the highways of missouri by myself, or my agent during the period of __ __ /__ __. I am giving this motor vehicle to _____ _____ and there is no money or other valuable consideration involved in the transaction. Learn all the mo dor's. Missouri Title Gift Affidavit.
From mybios.me
Gift Affidavit Form Missouri Bios Pics Missouri Title Gift Affidavit The motor vehicle described on the attached application has not been operated on public roads or the highways of missouri by myself, or my agent during the period of __ __ /__ __. Must submit the completed general affidavit (above) with the other required title and registration documents; I am giving this motor vehicle to _____ _____ and there is. Missouri Title Gift Affidavit.
From www.templateroller.com
Missouri Affidavit of Financial Status Fill Out, Sign Online and Missouri Title Gift Affidavit Will not pay state or. I am giving this motor vehicle to _____ _____ and there is no money or other valuable consideration involved in the. Must submit the completed general affidavit (above) with the other required title and registration documents; The motor vehicle described on the attached application has not been operated on public roads or the highways of. Missouri Title Gift Affidavit.
From www.formsbirds.com
Motor Vehicle Gift Affidavit Form Free Download Missouri Title Gift Affidavit The motor vehicle described on the attached application has not been operated on public roads or the highways of missouri by myself, or my agent during the period of __ __ /__ __. Must submit the completed general affidavit (above) with the other required title and registration documents; Learn all the mo dor's requirements to officially change ownership of a. Missouri Title Gift Affidavit.
From www.printableaffidavitform.com
Letter Of Affidavit Lend Money Pdf Free Form 2023 Missouri Title Gift Affidavit Missouri procedure for transferring a vehicle title when buying, selling, inheriting, or donating a car. Will not pay state or. I am giving this motor vehicle to _____ _____ and there is no money or other valuable consideration involved in the transaction. Must submit the completed general affidavit (above) with the other required title and registration documents; The motor vehicle. Missouri Title Gift Affidavit.
From www.goodwillcardonation.org
How To Sign Your Missouri Vehicle Title Goodwill Car Donation Missouri Title Gift Affidavit I am giving this motor vehicle to _____ _____ and there is no money or other valuable consideration involved in the. I am giving this motor vehicle to _____ _____ and there is no money or other valuable consideration involved in the transaction. Will not pay state or. Must submit the completed general affidavit (above) with the other required title. Missouri Title Gift Affidavit.
From webmotor.org
Affidavit Of Gift Motor Vehicle Missouri Missouri Title Gift Affidavit The motor vehicle described on the attached application has not been operated on public roads or the highways of missouri by myself, or my agent during the period of __ __ /__ __. I am giving this motor vehicle to _____ _____ and there is no money or other valuable consideration involved in the transaction. Learn all the mo dor's. Missouri Title Gift Affidavit.
From www.bluemavenk.com
How to Title a Vehicle in Missouri Missouri Title Gift Affidavit Missouri procedure for transferring a vehicle title when buying, selling, inheriting, or donating a car. Will not pay state or. I am giving this motor vehicle to _____ _____ and there is no money or other valuable consideration involved in the. The motor vehicle described on the attached application has not been operated on public roads or the highways of. Missouri Title Gift Affidavit.
From www.signnow.com
General Affidavit Mo Form Fill Out and Sign Printable PDF Template Missouri Title Gift Affidavit Missouri procedure for transferring a vehicle title when buying, selling, inheriting, or donating a car. Will not pay state or. Must submit the completed general affidavit (above) with the other required title and registration documents; I am giving this motor vehicle to _____ _____ and there is no money or other valuable consideration involved in the transaction. The motor vehicle. Missouri Title Gift Affidavit.
From autosdonation.com
How To Transfer A Gifted Car Title In Missouri? Missouri Title Gift Affidavit Must submit the completed general affidavit (above) with the other required title and registration documents; Learn all the mo dor's requirements to officially change ownership of a vehicle. Will not pay state or. I am giving this motor vehicle to _____ _____ and there is no money or other valuable consideration involved in the transaction. The motor vehicle described on. Missouri Title Gift Affidavit.
From www.cardonationwizard.com
Missouri Title Transfer Donate a car in MO on Car Donation Wizard Missouri Title Gift Affidavit Learn all the mo dor's requirements to officially change ownership of a vehicle. Missouri procedure for transferring a vehicle title when buying, selling, inheriting, or donating a car. I am giving this motor vehicle to _____ _____ and there is no money or other valuable consideration involved in the. Must submit the completed general affidavit (above) with the other required. Missouri Title Gift Affidavit.
From www.sampleforms.com
FREE 11+ Gift Affidavit Forms in PDF MS Word Missouri Title Gift Affidavit Will not pay state or. Missouri procedure for transferring a vehicle title when buying, selling, inheriting, or donating a car. Learn all the mo dor's requirements to officially change ownership of a vehicle. The motor vehicle described on the attached application has not been operated on public roads or the highways of missouri by myself, or my agent during the. Missouri Title Gift Affidavit.
From mybios.me
Gift Affidavit Form Missouri Bios Pics Missouri Title Gift Affidavit Will not pay state or. I am giving this motor vehicle to _____ _____ and there is no money or other valuable consideration involved in the. Learn all the mo dor's requirements to officially change ownership of a vehicle. The motor vehicle described on the attached application has not been operated on public roads or the highways of missouri by. Missouri Title Gift Affidavit.
From www.sampleforms.com
FREE 6+ Gift Affidavit Forms in MS Word PDF Missouri Title Gift Affidavit The motor vehicle described on the attached application has not been operated on public roads or the highways of missouri by myself, or my agent during the period of __ __ /__ __. Learn all the mo dor's requirements to officially change ownership of a vehicle. Must submit the completed general affidavit (above) with the other required title and registration. Missouri Title Gift Affidavit.
From www.myxxgirl.com
Affidavit For Gift Car In Missouri My XXX Hot Girl Missouri Title Gift Affidavit Will not pay state or. Learn all the mo dor's requirements to officially change ownership of a vehicle. I am giving this motor vehicle to _____ _____ and there is no money or other valuable consideration involved in the. I am giving this motor vehicle to _____ _____ and there is no money or other valuable consideration involved in the. Missouri Title Gift Affidavit.