How To Create An Irrevocable Funeral Trust . Here is both sides of the argument in using these tools. And there’s one crucial difference between them: The individual (grantor) selects the desired funeral services and specifies the funds allocated for those services in the trust agreement. There are two types of funeral trusts, revocable and irrevocable. How to set up an irrevocable funeral trust? How to create an irrevocable funeral trust. Setting up an ift involves working with a funeral home or a financial institution that specializes in such trusts. Who can set up an irrevocable funeral. When creating an estate plan, be sure to consider the possibility of setting up an irrevocable burial trust. This fairly simple legal document may enable you to both pay funeral. Creating an irrevocable funeral trust involves some legal steps, but it’s made easier with. An irrevocable funeral trust is one way to pay for your funeral, but it isn't without cons. It’s a way to ensure your final wishes are honored and your loved ones aren’t left scrambling for funds. You cannot revoke the contract or reclaim your benefits. Learn how irrevocable funeral trusts can reduce assets for medicaid qualification, costs, limits and pros and cons.
from insureguardian.com
The individual (grantor) selects the desired funeral services and specifies the funds allocated for those services in the trust agreement. How to create an irrevocable funeral trust. Learn how irrevocable funeral trusts can reduce assets for medicaid qualification, costs, limits and pros and cons. Who can set up an irrevocable funeral. And there’s one crucial difference between them: When creating an estate plan, be sure to consider the possibility of setting up an irrevocable burial trust. Creating an irrevocable funeral trust involves some legal steps, but it’s made easier with. How to set up an irrevocable funeral trust? There are two types of funeral trusts, revocable and irrevocable. An irrevocable funeral trust is one way to pay for your funeral, but it isn't without cons.
Irrevocable Funeral Trust Understanding Complete Guide
How To Create An Irrevocable Funeral Trust Here is both sides of the argument in using these tools. Who can set up an irrevocable funeral. Setting up an ift involves working with a funeral home or a financial institution that specializes in such trusts. The individual (grantor) selects the desired funeral services and specifies the funds allocated for those services in the trust agreement. This fairly simple legal document may enable you to both pay funeral. And there’s one crucial difference between them: You cannot revoke the contract or reclaim your benefits. How to set up an irrevocable funeral trust? Creating an irrevocable funeral trust involves some legal steps, but it’s made easier with. Here is both sides of the argument in using these tools. Learn how irrevocable funeral trusts can reduce assets for medicaid qualification, costs, limits and pros and cons. An irrevocable funeral trust is one way to pay for your funeral, but it isn't without cons. How to create an irrevocable funeral trust. When creating an estate plan, be sure to consider the possibility of setting up an irrevocable burial trust. If you set up an irrevocable funeral trust, then you transfer control of your assets to the trust account for management by a trustee. It’s a way to ensure your final wishes are honored and your loved ones aren’t left scrambling for funds.
From www.slideshare.net
What You Should Know about Arkansas Burial Plans and Funeral Trusts How To Create An Irrevocable Funeral Trust How to create an irrevocable funeral trust. Setting up an ift involves working with a funeral home or a financial institution that specializes in such trusts. How to set up an irrevocable funeral trust? If you set up an irrevocable funeral trust, then you transfer control of your assets to the trust account for management by a trustee. An irrevocable. How To Create An Irrevocable Funeral Trust.
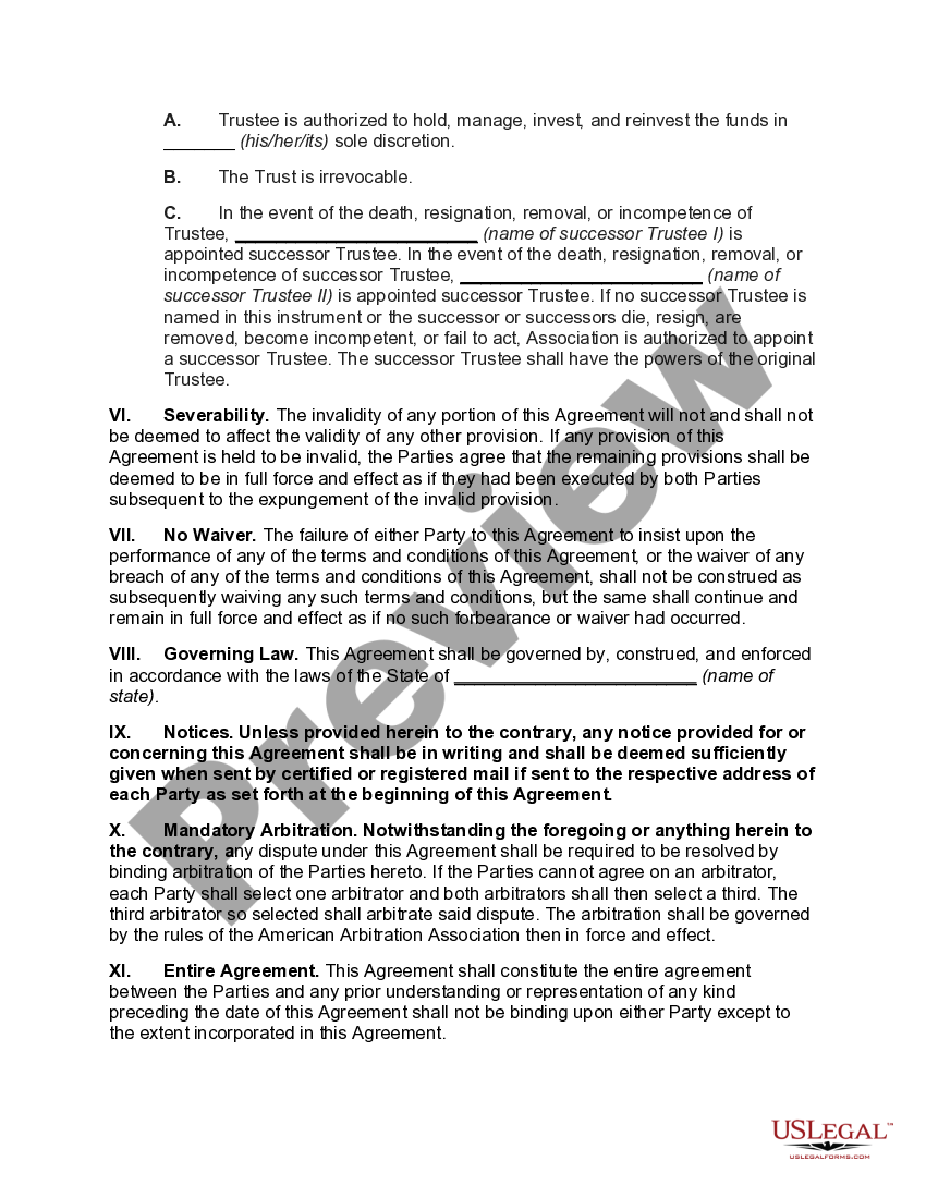
From www.uslegalforms.com
Irrevocable Prearranged Funeral Trust Account Funeral Trust Get US How To Create An Irrevocable Funeral Trust And there’s one crucial difference between them: An irrevocable funeral trust is one way to pay for your funeral, but it isn't without cons. Learn how irrevocable funeral trusts can reduce assets for medicaid qualification, costs, limits and pros and cons. Setting up an ift involves working with a funeral home or a financial institution that specializes in such trusts.. How To Create An Irrevocable Funeral Trust.
From www.uslegalforms.com
Irrevocable Prearranged Funeral Trust Account Funeral Trust Get US How To Create An Irrevocable Funeral Trust There are two types of funeral trusts, revocable and irrevocable. If you set up an irrevocable funeral trust, then you transfer control of your assets to the trust account for management by a trustee. How to create an irrevocable funeral trust. How to set up an irrevocable funeral trust? Creating an irrevocable funeral trust involves some legal steps, but it’s. How To Create An Irrevocable Funeral Trust.
From gearfity.weebly.com
Unity funeral trust gearfity How To Create An Irrevocable Funeral Trust It’s a way to ensure your final wishes are honored and your loved ones aren’t left scrambling for funds. If you set up an irrevocable funeral trust, then you transfer control of your assets to the trust account for management by a trustee. The individual (grantor) selects the desired funeral services and specifies the funds allocated for those services in. How To Create An Irrevocable Funeral Trust.
From old.sermitsiaq.ag
Irrevocable Trust Agreement Template How To Create An Irrevocable Funeral Trust Setting up an ift involves working with a funeral home or a financial institution that specializes in such trusts. You cannot revoke the contract or reclaim your benefits. Who can set up an irrevocable funeral. And there’s one crucial difference between them: There are two types of funeral trusts, revocable and irrevocable. Here is both sides of the argument in. How To Create An Irrevocable Funeral Trust.
From insureguardian.com
Irrevocable Funeral Trust Understanding Complete Guide How To Create An Irrevocable Funeral Trust It’s a way to ensure your final wishes are honored and your loved ones aren’t left scrambling for funds. An irrevocable funeral trust is one way to pay for your funeral, but it isn't without cons. How to create an irrevocable funeral trust. And there’s one crucial difference between them: If you set up an irrevocable funeral trust, then you. How To Create An Irrevocable Funeral Trust.
From www.slideserve.com
PPT Irrevocable Funeral Trusts PowerPoint Presentation, free download How To Create An Irrevocable Funeral Trust How to create an irrevocable funeral trust. The individual (grantor) selects the desired funeral services and specifies the funds allocated for those services in the trust agreement. If you set up an irrevocable funeral trust, then you transfer control of your assets to the trust account for management by a trustee. There are two types of funeral trusts, revocable and. How To Create An Irrevocable Funeral Trust.
From www.pdffiller.com
Irrevocable Trust Fill Online, Printable, Fillable, Blank pdfFiller How To Create An Irrevocable Funeral Trust Who can set up an irrevocable funeral. It’s a way to ensure your final wishes are honored and your loved ones aren’t left scrambling for funds. Learn how irrevocable funeral trusts can reduce assets for medicaid qualification, costs, limits and pros and cons. This fairly simple legal document may enable you to both pay funeral. You cannot revoke the contract. How To Create An Irrevocable Funeral Trust.
From www.youtube.com
Why an Irrevocable Funeral Trust? Link to a free PDF in description How To Create An Irrevocable Funeral Trust If you set up an irrevocable funeral trust, then you transfer control of your assets to the trust account for management by a trustee. And there’s one crucial difference between them: How to create an irrevocable funeral trust. Learn how irrevocable funeral trusts can reduce assets for medicaid qualification, costs, limits and pros and cons. Here is both sides of. How To Create An Irrevocable Funeral Trust.
From www.elderlawfl.com
Who Can Set Up an Irrevocable Funeral Trust? Elder Law, P.A How To Create An Irrevocable Funeral Trust And there’s one crucial difference between them: If you set up an irrevocable funeral trust, then you transfer control of your assets to the trust account for management by a trustee. When creating an estate plan, be sure to consider the possibility of setting up an irrevocable burial trust. There are two types of funeral trusts, revocable and irrevocable. This. How To Create An Irrevocable Funeral Trust.
From wegriffith.com
Irrevocable Funeral Trust W.E. Griffith & Associates, LLCIt's all How To Create An Irrevocable Funeral Trust And there’s one crucial difference between them: Who can set up an irrevocable funeral. If you set up an irrevocable funeral trust, then you transfer control of your assets to the trust account for management by a trustee. There are two types of funeral trusts, revocable and irrevocable. When creating an estate plan, be sure to consider the possibility of. How To Create An Irrevocable Funeral Trust.
From www.slideserve.com
PPT Irrevocable Funeral Trusts PowerPoint Presentation, free download How To Create An Irrevocable Funeral Trust If you set up an irrevocable funeral trust, then you transfer control of your assets to the trust account for management by a trustee. Here is both sides of the argument in using these tools. And there’s one crucial difference between them: It’s a way to ensure your final wishes are honored and your loved ones aren’t left scrambling for. How To Create An Irrevocable Funeral Trust.
From www.pinterest.com
Information about Irrevocable Trusts EstatePlanning Estate planning How To Create An Irrevocable Funeral Trust An irrevocable funeral trust is one way to pay for your funeral, but it isn't without cons. Creating an irrevocable funeral trust involves some legal steps, but it’s made easier with. There are two types of funeral trusts, revocable and irrevocable. How to create an irrevocable funeral trust. Here is both sides of the argument in using these tools. Who. How To Create An Irrevocable Funeral Trust.
From www.youtube.com
Asset Protection Solutions Irrevocable Funeral Trusts YouTube How To Create An Irrevocable Funeral Trust Learn how irrevocable funeral trusts can reduce assets for medicaid qualification, costs, limits and pros and cons. You cannot revoke the contract or reclaim your benefits. And there’s one crucial difference between them: This fairly simple legal document may enable you to both pay funeral. There are two types of funeral trusts, revocable and irrevocable. How to create an irrevocable. How To Create An Irrevocable Funeral Trust.
From mmccu.com
What to Know About an Irrevocable Funeral Trust Account (IFT How To Create An Irrevocable Funeral Trust This fairly simple legal document may enable you to both pay funeral. And there’s one crucial difference between them: You cannot revoke the contract or reclaim your benefits. Here is both sides of the argument in using these tools. Who can set up an irrevocable funeral. It’s a way to ensure your final wishes are honored and your loved ones. How To Create An Irrevocable Funeral Trust.
From www.slideserve.com
PPT Irrevocable Funeral Trusts PowerPoint Presentation, free download How To Create An Irrevocable Funeral Trust There are two types of funeral trusts, revocable and irrevocable. It’s a way to ensure your final wishes are honored and your loved ones aren’t left scrambling for funds. Learn how irrevocable funeral trusts can reduce assets for medicaid qualification, costs, limits and pros and cons. Setting up an ift involves working with a funeral home or a financial institution. How To Create An Irrevocable Funeral Trust.
From www.signnow.com
Irrevocable Funeral Trust Form Complete with ease airSlate SignNow How To Create An Irrevocable Funeral Trust If you set up an irrevocable funeral trust, then you transfer control of your assets to the trust account for management by a trustee. How to create an irrevocable funeral trust. It’s a way to ensure your final wishes are honored and your loved ones aren’t left scrambling for funds. Setting up an ift involves working with a funeral home. How To Create An Irrevocable Funeral Trust.
From mlifeinsurance.com
What to Know About an Irrevocable Funeral Trust? MLife Insurance How To Create An Irrevocable Funeral Trust And there’s one crucial difference between them: Who can set up an irrevocable funeral. Creating an irrevocable funeral trust involves some legal steps, but it’s made easier with. This fairly simple legal document may enable you to both pay funeral. Setting up an ift involves working with a funeral home or a financial institution that specializes in such trusts. Learn. How To Create An Irrevocable Funeral Trust.
From guttermansinc.com
Revocable and Irrevocable Funeral Trusts Gutterman's Jewish Funeral How To Create An Irrevocable Funeral Trust When creating an estate plan, be sure to consider the possibility of setting up an irrevocable burial trust. This fairly simple legal document may enable you to both pay funeral. An irrevocable funeral trust is one way to pay for your funeral, but it isn't without cons. If you set up an irrevocable funeral trust, then you transfer control of. How To Create An Irrevocable Funeral Trust.
From www.slideserve.com
PPT Irrevocable Funeral Trusts PowerPoint Presentation, free download How To Create An Irrevocable Funeral Trust Creating an irrevocable funeral trust involves some legal steps, but it’s made easier with. The individual (grantor) selects the desired funeral services and specifies the funds allocated for those services in the trust agreement. Who can set up an irrevocable funeral. When creating an estate plan, be sure to consider the possibility of setting up an irrevocable burial trust. How. How To Create An Irrevocable Funeral Trust.
From www.assetprotectionplanners.com
What is an Irrevocable Trust? How Does It Work? Free Video Explains How To Create An Irrevocable Funeral Trust Creating an irrevocable funeral trust involves some legal steps, but it’s made easier with. There are two types of funeral trusts, revocable and irrevocable. Learn how irrevocable funeral trusts can reduce assets for medicaid qualification, costs, limits and pros and cons. Setting up an ift involves working with a funeral home or a financial institution that specializes in such trusts.. How To Create An Irrevocable Funeral Trust.
From www.purplecrossfuneralandcremationplanning.com
Understanding Irrevocable Trusts A Comprehensive Guide — Purple Cross How To Create An Irrevocable Funeral Trust If you set up an irrevocable funeral trust, then you transfer control of your assets to the trust account for management by a trustee. An irrevocable funeral trust is one way to pay for your funeral, but it isn't without cons. Who can set up an irrevocable funeral. Setting up an ift involves working with a funeral home or a. How To Create An Irrevocable Funeral Trust.
From www.pdffiller.com
Revocable Funeral Trust Prearranged Funeral Trust Account Doc How To Create An Irrevocable Funeral Trust There are two types of funeral trusts, revocable and irrevocable. Who can set up an irrevocable funeral. When creating an estate plan, be sure to consider the possibility of setting up an irrevocable burial trust. Here is both sides of the argument in using these tools. If you set up an irrevocable funeral trust, then you transfer control of your. How To Create An Irrevocable Funeral Trust.
From www.slideserve.com
PPT The Power of a Funeral Trust Secure Your Legacy and Financial How To Create An Irrevocable Funeral Trust If you set up an irrevocable funeral trust, then you transfer control of your assets to the trust account for management by a trustee. How to create an irrevocable funeral trust. There are two types of funeral trusts, revocable and irrevocable. When creating an estate plan, be sure to consider the possibility of setting up an irrevocable burial trust. Learn. How To Create An Irrevocable Funeral Trust.
From www.slideserve.com
PPT The Power of a Funeral Trust Secure Your Legacy and Financial How To Create An Irrevocable Funeral Trust Learn how irrevocable funeral trusts can reduce assets for medicaid qualification, costs, limits and pros and cons. When creating an estate plan, be sure to consider the possibility of setting up an irrevocable burial trust. How to set up an irrevocable funeral trust? If you set up an irrevocable funeral trust, then you transfer control of your assets to the. How To Create An Irrevocable Funeral Trust.
From www.burialseniorinsurance.com
Irrevocable Funeral Trust helps Families with Expenses How To Create An Irrevocable Funeral Trust Setting up an ift involves working with a funeral home or a financial institution that specializes in such trusts. How to create an irrevocable funeral trust. This fairly simple legal document may enable you to both pay funeral. The individual (grantor) selects the desired funeral services and specifies the funds allocated for those services in the trust agreement. How to. How To Create An Irrevocable Funeral Trust.
From www.uslegalforms.com
Irrevocable Assignment To Funeral Home US Legal Forms How To Create An Irrevocable Funeral Trust An irrevocable funeral trust is one way to pay for your funeral, but it isn't without cons. When creating an estate plan, be sure to consider the possibility of setting up an irrevocable burial trust. Creating an irrevocable funeral trust involves some legal steps, but it’s made easier with. It’s a way to ensure your final wishes are honored and. How To Create An Irrevocable Funeral Trust.
From futureplanningservices.com
irrevocable trust funeral Future Planning Services How To Create An Irrevocable Funeral Trust You cannot revoke the contract or reclaim your benefits. An irrevocable funeral trust is one way to pay for your funeral, but it isn't without cons. Setting up an ift involves working with a funeral home or a financial institution that specializes in such trusts. How to set up an irrevocable funeral trust? Learn how irrevocable funeral trusts can reduce. How To Create An Irrevocable Funeral Trust.
From www.slideserve.com
PPT Irrevocable Funeral Trusts PowerPoint Presentation, free download How To Create An Irrevocable Funeral Trust When creating an estate plan, be sure to consider the possibility of setting up an irrevocable burial trust. Setting up an ift involves working with a funeral home or a financial institution that specializes in such trusts. Creating an irrevocable funeral trust involves some legal steps, but it’s made easier with. Here is both sides of the argument in using. How To Create An Irrevocable Funeral Trust.
From pghcremationcenter.com
How Does a Funeral Trust Work How To Create An Irrevocable Funeral Trust You cannot revoke the contract or reclaim your benefits. If you set up an irrevocable funeral trust, then you transfer control of your assets to the trust account for management by a trustee. When creating an estate plan, be sure to consider the possibility of setting up an irrevocable burial trust. An irrevocable funeral trust is one way to pay. How To Create An Irrevocable Funeral Trust.
From www.slideserve.com
PPT Irrevocable Funeral Trusts PowerPoint Presentation, free download How To Create An Irrevocable Funeral Trust Learn how irrevocable funeral trusts can reduce assets for medicaid qualification, costs, limits and pros and cons. And there’s one crucial difference between them: Setting up an ift involves working with a funeral home or a financial institution that specializes in such trusts. How to create an irrevocable funeral trust. Who can set up an irrevocable funeral. You cannot revoke. How To Create An Irrevocable Funeral Trust.
From ogbornelaw.com
Creating An Irrevocable Burial Trust Ogborne Law How To Create An Irrevocable Funeral Trust How to create an irrevocable funeral trust. When creating an estate plan, be sure to consider the possibility of setting up an irrevocable burial trust. This fairly simple legal document may enable you to both pay funeral. The individual (grantor) selects the desired funeral services and specifies the funds allocated for those services in the trust agreement. There are two. How To Create An Irrevocable Funeral Trust.
From www.slideserve.com
PPT Irrevocable Funeral Trusts PowerPoint Presentation, free download How To Create An Irrevocable Funeral Trust An irrevocable funeral trust is one way to pay for your funeral, but it isn't without cons. You cannot revoke the contract or reclaim your benefits. The individual (grantor) selects the desired funeral services and specifies the funds allocated for those services in the trust agreement. Learn how irrevocable funeral trusts can reduce assets for medicaid qualification, costs, limits and. How To Create An Irrevocable Funeral Trust.
From mkwyatt.com
What Is Irrevocable Funeral Trust? Family Law Center for Men How To Create An Irrevocable Funeral Trust Creating an irrevocable funeral trust involves some legal steps, but it’s made easier with. The individual (grantor) selects the desired funeral services and specifies the funds allocated for those services in the trust agreement. Who can set up an irrevocable funeral. This fairly simple legal document may enable you to both pay funeral. How to set up an irrevocable funeral. How To Create An Irrevocable Funeral Trust.
From www.slideserve.com
PPT Irrevocable Funeral Trusts PowerPoint Presentation, free download How To Create An Irrevocable Funeral Trust There are two types of funeral trusts, revocable and irrevocable. How to set up an irrevocable funeral trust? It’s a way to ensure your final wishes are honored and your loved ones aren’t left scrambling for funds. You cannot revoke the contract or reclaim your benefits. When creating an estate plan, be sure to consider the possibility of setting up. How To Create An Irrevocable Funeral Trust.