String Vibration Formula . ∗ horizontally polarized transverse waves ∗ vertical polarized. The type of wave that occurs in a string is called a transverse wave. This vibrating string problem or wave equation has xed ends at x= 0 and x= land initial position, f(x), and initial velocity, g(x). \label{17.9.1} \] if the angles are small, then \( \sin \psi \cong \frac{\partial y }{\partial x }\), so the expression in parenthesis is \( \frac{\partial ^2 y }{\partial x^2 }\delta x \). As before, we apply our. Another simple partial differential equation is that of the heat,. In a transverse wave, the wave direction is perpendicular the. Really need at least three coupled 1d waveguides: Each of these harmonics will form a standing wave on the string. This shows a resonant standing wave on a string. It is driven by a.
from studylib.net
The type of wave that occurs in a string is called a transverse wave. Another simple partial differential equation is that of the heat,. Really need at least three coupled 1d waveguides: As before, we apply our. \label{17.9.1} \] if the angles are small, then \( \sin \psi \cong \frac{\partial y }{\partial x }\), so the expression in parenthesis is \( \frac{\partial ^2 y }{\partial x^2 }\delta x \). It is driven by a. This vibrating string problem or wave equation has xed ends at x= 0 and x= land initial position, f(x), and initial velocity, g(x). ∗ horizontally polarized transverse waves ∗ vertical polarized. This shows a resonant standing wave on a string. In a transverse wave, the wave direction is perpendicular the.
1) Wave Equation for Thin String Vibration From Newton's 2nd law
String Vibration Formula In a transverse wave, the wave direction is perpendicular the. In a transverse wave, the wave direction is perpendicular the. This vibrating string problem or wave equation has xed ends at x= 0 and x= land initial position, f(x), and initial velocity, g(x). The type of wave that occurs in a string is called a transverse wave. Each of these harmonics will form a standing wave on the string. \label{17.9.1} \] if the angles are small, then \( \sin \psi \cong \frac{\partial y }{\partial x }\), so the expression in parenthesis is \( \frac{\partial ^2 y }{\partial x^2 }\delta x \). As before, we apply our. ∗ horizontally polarized transverse waves ∗ vertical polarized. This shows a resonant standing wave on a string. It is driven by a. Another simple partial differential equation is that of the heat,. Really need at least three coupled 1d waveguides:
From www.youtube.com
4.2 The Vibrating String equation YouTube String Vibration Formula As before, we apply our. Really need at least three coupled 1d waveguides: Each of these harmonics will form a standing wave on the string. In a transverse wave, the wave direction is perpendicular the. The type of wave that occurs in a string is called a transverse wave. \label{17.9.1} \] if the angles are small, then \( \sin \psi. String Vibration Formula.
From bhavana.org.in
The Tangled History of the String Equation Bhāvanā String Vibration Formula Another simple partial differential equation is that of the heat,. \label{17.9.1} \] if the angles are small, then \( \sin \psi \cong \frac{\partial y }{\partial x }\), so the expression in parenthesis is \( \frac{\partial ^2 y }{\partial x^2 }\delta x \). Really need at least three coupled 1d waveguides: In a transverse wave, the wave direction is perpendicular the.. String Vibration Formula.
From www.youtube.com
Vibration of a String of finite length Partial Differential Equations String Vibration Formula Each of these harmonics will form a standing wave on the string. Really need at least three coupled 1d waveguides: ∗ horizontally polarized transverse waves ∗ vertical polarized. In a transverse wave, the wave direction is perpendicular the. It is driven by a. \label{17.9.1} \] if the angles are small, then \( \sin \psi \cong \frac{\partial y }{\partial x }\),. String Vibration Formula.
From www.sfu.ca
Vibration 1 String Vibration Formula Really need at least three coupled 1d waveguides: It is driven by a. In a transverse wave, the wave direction is perpendicular the. As before, we apply our. This vibrating string problem or wave equation has xed ends at x= 0 and x= land initial position, f(x), and initial velocity, g(x). Another simple partial differential equation is that of the. String Vibration Formula.
From www.slideserve.com
PPT Chapter 16 PowerPoint Presentation, free download ID30341 String Vibration Formula ∗ horizontally polarized transverse waves ∗ vertical polarized. Another simple partial differential equation is that of the heat,. In a transverse wave, the wave direction is perpendicular the. It is driven by a. Really need at least three coupled 1d waveguides: As before, we apply our. This shows a resonant standing wave on a string. Each of these harmonics will. String Vibration Formula.
From theviolinchannel.com
Vibrating String Length & String Tension String Vibration Formula ∗ horizontally polarized transverse waves ∗ vertical polarized. Another simple partial differential equation is that of the heat,. This shows a resonant standing wave on a string. The type of wave that occurs in a string is called a transverse wave. It is driven by a. As before, we apply our. Each of these harmonics will form a standing wave. String Vibration Formula.
From www.youtube.com
Vibration of String Problem 2 Partial Differential Equation Wave String Vibration Formula As before, we apply our. The type of wave that occurs in a string is called a transverse wave. ∗ horizontally polarized transverse waves ∗ vertical polarized. \label{17.9.1} \] if the angles are small, then \( \sin \psi \cong \frac{\partial y }{\partial x }\), so the expression in parenthesis is \( \frac{\partial ^2 y }{\partial x^2 }\delta x \). This. String Vibration Formula.
From www.doubtnut.com
With neat labelled diagrams, explain the different modes of vibration String Vibration Formula This vibrating string problem or wave equation has xed ends at x= 0 and x= land initial position, f(x), and initial velocity, g(x). ∗ horizontally polarized transverse waves ∗ vertical polarized. Another simple partial differential equation is that of the heat,. It is driven by a. In a transverse wave, the wave direction is perpendicular the. The type of wave. String Vibration Formula.
From www.chegg.com
Solved 6. Wave equation Vibration of a string (fixed at String Vibration Formula \label{17.9.1} \] if the angles are small, then \( \sin \psi \cong \frac{\partial y }{\partial x }\), so the expression in parenthesis is \( \frac{\partial ^2 y }{\partial x^2 }\delta x \). The type of wave that occurs in a string is called a transverse wave. Really need at least three coupled 1d waveguides: This shows a resonant standing wave. String Vibration Formula.
From studylib.net
1) Wave Equation for Thin String Vibration From Newton's 2nd law String Vibration Formula This shows a resonant standing wave on a string. It is driven by a. As before, we apply our. Another simple partial differential equation is that of the heat,. This vibrating string problem or wave equation has xed ends at x= 0 and x= land initial position, f(x), and initial velocity, g(x). ∗ horizontally polarized transverse waves ∗ vertical polarized.. String Vibration Formula.
From www.researchgate.net
Vibrational modes of a plucked string of length l. The wavelengths and String Vibration Formula As before, we apply our. The type of wave that occurs in a string is called a transverse wave. \label{17.9.1} \] if the angles are small, then \( \sin \psi \cong \frac{\partial y }{\partial x }\), so the expression in parenthesis is \( \frac{\partial ^2 y }{\partial x^2 }\delta x \). Another simple partial differential equation is that of the. String Vibration Formula.
From www.youtube.com
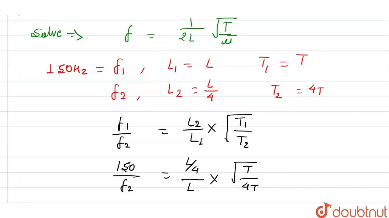
The frequency of transverse vibration on a stretched string is 150 Hz String Vibration Formula Really need at least three coupled 1d waveguides: This shows a resonant standing wave on a string. Another simple partial differential equation is that of the heat,. As before, we apply our. It is driven by a. This vibrating string problem or wave equation has xed ends at x= 0 and x= land initial position, f(x), and initial velocity, g(x).. String Vibration Formula.
From www.youtube.com
The equation for the vibration of a string, fixed at both ends String Vibration Formula ∗ horizontally polarized transverse waves ∗ vertical polarized. Another simple partial differential equation is that of the heat,. Each of these harmonics will form a standing wave on the string. In a transverse wave, the wave direction is perpendicular the. This vibrating string problem or wave equation has xed ends at x= 0 and x= land initial position, f(x), and. String Vibration Formula.
From www.slideserve.com
PPT Wave Equation Modeling of Vibrating String PowerPoint String Vibration Formula Another simple partial differential equation is that of the heat,. This vibrating string problem or wave equation has xed ends at x= 0 and x= land initial position, f(x), and initial velocity, g(x). Each of these harmonics will form a standing wave on the string. \label{17.9.1} \] if the angles are small, then \( \sin \psi \cong \frac{\partial y }{\partial. String Vibration Formula.
From www.youtube.com
Guitar Physics String Vibration In a Nutshell YouTube String Vibration Formula \label{17.9.1} \] if the angles are small, then \( \sin \psi \cong \frac{\partial y }{\partial x }\), so the expression in parenthesis is \( \frac{\partial ^2 y }{\partial x^2 }\delta x \). The type of wave that occurs in a string is called a transverse wave. Each of these harmonics will form a standing wave on the string. This vibrating. String Vibration Formula.
From www.youtube.com
The frequency of transverse vibrations in a stretched string is 200 Hz String Vibration Formula This vibrating string problem or wave equation has xed ends at x= 0 and x= land initial position, f(x), and initial velocity, g(x). In a transverse wave, the wave direction is perpendicular the. ∗ horizontally polarized transverse waves ∗ vertical polarized. This shows a resonant standing wave on a string. Really need at least three coupled 1d waveguides: It is. String Vibration Formula.
From www.youtube.com
The equation for the vibration of a string, fixed at both ends String Vibration Formula This vibrating string problem or wave equation has xed ends at x= 0 and x= land initial position, f(x), and initial velocity, g(x). It is driven by a. Really need at least three coupled 1d waveguides: Another simple partial differential equation is that of the heat,. \label{17.9.1} \] if the angles are small, then \( \sin \psi \cong \frac{\partial y. String Vibration Formula.
From www.yukimura-physics.com
Characteristic Vibration of String|Introduction to High School Physics String Vibration Formula The type of wave that occurs in a string is called a transverse wave. Another simple partial differential equation is that of the heat,. It is driven by a. In a transverse wave, the wave direction is perpendicular the. As before, we apply our. ∗ horizontally polarized transverse waves ∗ vertical polarized. \label{17.9.1} \] if the angles are small, then. String Vibration Formula.
From www.slideserve.com
PPT Wave Equation Modeling of Vibrating String PowerPoint String Vibration Formula \label{17.9.1} \] if the angles are small, then \( \sin \psi \cong \frac{\partial y }{\partial x }\), so the expression in parenthesis is \( \frac{\partial ^2 y }{\partial x^2 }\delta x \). Really need at least three coupled 1d waveguides: As before, we apply our. ∗ horizontally polarized transverse waves ∗ vertical polarized. This vibrating string problem or wave equation. String Vibration Formula.
From www.youtube.com
Vibration of String Problem 1 Partial Differential Equation Wave String Vibration Formula \label{17.9.1} \] if the angles are small, then \( \sin \psi \cong \frac{\partial y }{\partial x }\), so the expression in parenthesis is \( \frac{\partial ^2 y }{\partial x^2 }\delta x \). Another simple partial differential equation is that of the heat,. Really need at least three coupled 1d waveguides: As before, we apply our. ∗ horizontally polarized transverse waves. String Vibration Formula.
From www.toppr.com
The frequency of vibration of a string depends on the length L between String Vibration Formula This shows a resonant standing wave on a string. This vibrating string problem or wave equation has xed ends at x= 0 and x= land initial position, f(x), and initial velocity, g(x). It is driven by a. Each of these harmonics will form a standing wave on the string. ∗ horizontally polarized transverse waves ∗ vertical polarized. Another simple partial. String Vibration Formula.
From www.youtube.com
Geophysics Seismic Wave Equation II wave propagation in a vibrating String Vibration Formula Another simple partial differential equation is that of the heat,. This shows a resonant standing wave on a string. It is driven by a. \label{17.9.1} \] if the angles are small, then \( \sin \psi \cong \frac{\partial y }{\partial x }\), so the expression in parenthesis is \( \frac{\partial ^2 y }{\partial x^2 }\delta x \). Really need at least. String Vibration Formula.
From byjus.com
50. The frequency of the vibration of a string depends on the length L String Vibration Formula This shows a resonant standing wave on a string. It is driven by a. Another simple partial differential equation is that of the heat,. This vibrating string problem or wave equation has xed ends at x= 0 and x= land initial position, f(x), and initial velocity, g(x). The type of wave that occurs in a string is called a transverse. String Vibration Formula.
From www.slideserve.com
PPT Sound PowerPoint Presentation, free download ID3564283 String Vibration Formula In a transverse wave, the wave direction is perpendicular the. This vibrating string problem or wave equation has xed ends at x= 0 and x= land initial position, f(x), and initial velocity, g(x). It is driven by a. Each of these harmonics will form a standing wave on the string. This shows a resonant standing wave on a string. \label{17.9.1}. String Vibration Formula.
From ar.inspiredpencil.com
String Vibrations String Vibration Formula \label{17.9.1} \] if the angles are small, then \( \sin \psi \cong \frac{\partial y }{\partial x }\), so the expression in parenthesis is \( \frac{\partial ^2 y }{\partial x^2 }\delta x \). It is driven by a. ∗ horizontally polarized transverse waves ∗ vertical polarized. The type of wave that occurs in a string is called a transverse wave. This. String Vibration Formula.
From byjus.com
Establish the relation for the frequency of vibration for a stretched String Vibration Formula \label{17.9.1} \] if the angles are small, then \( \sin \psi \cong \frac{\partial y }{\partial x }\), so the expression in parenthesis is \( \frac{\partial ^2 y }{\partial x^2 }\delta x \). It is driven by a. In a transverse wave, the wave direction is perpendicular the. As before, we apply our. Each of these harmonics will form a standing. String Vibration Formula.
From www.youtube.com
Derivation for the Energy of a Vibrating String Vibration of string String Vibration Formula It is driven by a. Really need at least three coupled 1d waveguides: This vibrating string problem or wave equation has xed ends at x= 0 and x= land initial position, f(x), and initial velocity, g(x). As before, we apply our. Another simple partial differential equation is that of the heat,. The type of wave that occurs in a string. String Vibration Formula.
From www.slideserve.com
PPT Stationary Waves PowerPoint Presentation, free download ID5960299 String Vibration Formula ∗ horizontally polarized transverse waves ∗ vertical polarized. Each of these harmonics will form a standing wave on the string. As before, we apply our. This vibrating string problem or wave equation has xed ends at x= 0 and x= land initial position, f(x), and initial velocity, g(x). In a transverse wave, the wave direction is perpendicular the. It is. String Vibration Formula.
From animalia-life.club
What Is Fundamental Mode Of Vibration String Vibration Formula Really need at least three coupled 1d waveguides: It is driven by a. Each of these harmonics will form a standing wave on the string. In a transverse wave, the wave direction is perpendicular the. \label{17.9.1} \] if the angles are small, then \( \sin \psi \cong \frac{\partial y }{\partial x }\), so the expression in parenthesis is \( \frac{\partial. String Vibration Formula.
From www.numerade.com
SOLVEDThe frequency of vibration of a string varies directly as the String Vibration Formula As before, we apply our. Another simple partial differential equation is that of the heat,. Really need at least three coupled 1d waveguides: This vibrating string problem or wave equation has xed ends at x= 0 and x= land initial position, f(x), and initial velocity, g(x). The type of wave that occurs in a string is called a transverse wave.. String Vibration Formula.
From www.slideserve.com
PPT Wave Equation Modeling of Vibrating String PowerPoint String Vibration Formula Each of these harmonics will form a standing wave on the string. This vibrating string problem or wave equation has xed ends at x= 0 and x= land initial position, f(x), and initial velocity, g(x). ∗ horizontally polarized transverse waves ∗ vertical polarized. Really need at least three coupled 1d waveguides: \label{17.9.1} \] if the angles are small, then \(. String Vibration Formula.
From www.youtube.com
Solution of wave equation for stretched string Vibration of string String Vibration Formula It is driven by a. \label{17.9.1} \] if the angles are small, then \( \sin \psi \cong \frac{\partial y }{\partial x }\), so the expression in parenthesis is \( \frac{\partial ^2 y }{\partial x^2 }\delta x \). In a transverse wave, the wave direction is perpendicular the. Really need at least three coupled 1d waveguides: This shows a resonant standing. String Vibration Formula.
From www.youtube.com
Speed of Waves in a Stretched String and its Modes of Vibrations Part String Vibration Formula Another simple partial differential equation is that of the heat,. \label{17.9.1} \] if the angles are small, then \( \sin \psi \cong \frac{\partial y }{\partial x }\), so the expression in parenthesis is \( \frac{\partial ^2 y }{\partial x^2 }\delta x \). This shows a resonant standing wave on a string. It is driven by a. ∗ horizontally polarized transverse. String Vibration Formula.
From infinitylearn.com
Vibration of Strings and Air Columns Infinity Learn by Sri Chaitanya String Vibration Formula It is driven by a. The type of wave that occurs in a string is called a transverse wave. Each of these harmonics will form a standing wave on the string. This vibrating string problem or wave equation has xed ends at x= 0 and x= land initial position, f(x), and initial velocity, g(x). Really need at least three coupled. String Vibration Formula.
From www.youtube.com
Standing Waves Equations for Strings and Pipes IB Physics YouTube String Vibration Formula This shows a resonant standing wave on a string. Each of these harmonics will form a standing wave on the string. As before, we apply our. ∗ horizontally polarized transverse waves ∗ vertical polarized. This vibrating string problem or wave equation has xed ends at x= 0 and x= land initial position, f(x), and initial velocity, g(x). Really need at. String Vibration Formula.