What Is Proposition 64 In California . Proposition 64, or the adult use of marijuana act (“prop. Effective november 9, 2016, proposition 64 legalizes specified personal use and cultivation of marijuana for adults 21 years of age or older;. Proposition 64 legalized the recreational use of marijuana for adults aged 21 years or older, permitting smoking in a private. By a margin of about 56% to 44%, voters passed proposition 64, making california the fifth state to legalize recreational pot, after colorado, washington, oregon and alaska. 64”), is designed to allow the responsible use of marijuana by adults and establish a. At 62 pages long, proposition 64 is a detailed and complicated document that spells out how california will regulate and tax the growth, transportation and sale of marijuana for recreational. With the passage of proposition 64 in 2016, california legalized responsible adult use of marijuana. The following details how this.
from bayareacannabis.com
By a margin of about 56% to 44%, voters passed proposition 64, making california the fifth state to legalize recreational pot, after colorado, washington, oregon and alaska. Proposition 64, or the adult use of marijuana act (“prop. Proposition 64 legalized the recreational use of marijuana for adults aged 21 years or older, permitting smoking in a private. The following details how this. With the passage of proposition 64 in 2016, california legalized responsible adult use of marijuana. Effective november 9, 2016, proposition 64 legalizes specified personal use and cultivation of marijuana for adults 21 years of age or older;. 64”), is designed to allow the responsible use of marijuana by adults and establish a. At 62 pages long, proposition 64 is a detailed and complicated document that spells out how california will regulate and tax the growth, transportation and sale of marijuana for recreational.
Prop 64 Passes, California Legalizes Marijuana BayAreaCannabis
What Is Proposition 64 In California 64”), is designed to allow the responsible use of marijuana by adults and establish a. Proposition 64, or the adult use of marijuana act (“prop. By a margin of about 56% to 44%, voters passed proposition 64, making california the fifth state to legalize recreational pot, after colorado, washington, oregon and alaska. The following details how this. Proposition 64 legalized the recreational use of marijuana for adults aged 21 years or older, permitting smoking in a private. With the passage of proposition 64 in 2016, california legalized responsible adult use of marijuana. Effective november 9, 2016, proposition 64 legalizes specified personal use and cultivation of marijuana for adults 21 years of age or older;. At 62 pages long, proposition 64 is a detailed and complicated document that spells out how california will regulate and tax the growth, transportation and sale of marijuana for recreational. 64”), is designed to allow the responsible use of marijuana by adults and establish a.
From www.weedtab.com
California's Top Healthcare Professionals Support Proposition 64 Weed Tab What Is Proposition 64 In California The following details how this. Proposition 64, or the adult use of marijuana act (“prop. With the passage of proposition 64 in 2016, california legalized responsible adult use of marijuana. 64”), is designed to allow the responsible use of marijuana by adults and establish a. Effective november 9, 2016, proposition 64 legalizes specified personal use and cultivation of marijuana for. What Is Proposition 64 In California.
From www.smokersguide.com
California To Legalize Cannabis? Proposition 64 The Facts What Is Proposition 64 In California Effective november 9, 2016, proposition 64 legalizes specified personal use and cultivation of marijuana for adults 21 years of age or older;. Proposition 64 legalized the recreational use of marijuana for adults aged 21 years or older, permitting smoking in a private. By a margin of about 56% to 44%, voters passed proposition 64, making california the fifth state to. What Is Proposition 64 In California.
From www.covasoftware.com
California's Proposition 64 Compliance is Key! What Is Proposition 64 In California The following details how this. With the passage of proposition 64 in 2016, california legalized responsible adult use of marijuana. At 62 pages long, proposition 64 is a detailed and complicated document that spells out how california will regulate and tax the growth, transportation and sale of marijuana for recreational. Proposition 64 legalized the recreational use of marijuana for adults. What Is Proposition 64 In California.
From prop64com.wordpress.com
Proposition 64 Marijuana Reforms in California. Prop 64 in california What Is Proposition 64 In California By a margin of about 56% to 44%, voters passed proposition 64, making california the fifth state to legalize recreational pot, after colorado, washington, oregon and alaska. Proposition 64 legalized the recreational use of marijuana for adults aged 21 years or older, permitting smoking in a private. With the passage of proposition 64 in 2016, california legalized responsible adult use. What Is Proposition 64 In California.
From www.cbsnews.com
Proposition 64 Marijuana Legalization CBS Sacramento What Is Proposition 64 In California Proposition 64, or the adult use of marijuana act (“prop. The following details how this. Proposition 64 legalized the recreational use of marijuana for adults aged 21 years or older, permitting smoking in a private. By a margin of about 56% to 44%, voters passed proposition 64, making california the fifth state to legalize recreational pot, after colorado, washington, oregon. What Is Proposition 64 In California.
From www.dispensaries.com
The Impact of Proposition 64 on Medical Marijuana in California What Is Proposition 64 In California With the passage of proposition 64 in 2016, california legalized responsible adult use of marijuana. Proposition 64, or the adult use of marijuana act (“prop. At 62 pages long, proposition 64 is a detailed and complicated document that spells out how california will regulate and tax the growth, transportation and sale of marijuana for recreational. By a margin of about. What Is Proposition 64 In California.
From compasslawcenter.com
Proposition 64 What Is Proposition 64 In California By a margin of about 56% to 44%, voters passed proposition 64, making california the fifth state to legalize recreational pot, after colorado, washington, oregon and alaska. With the passage of proposition 64 in 2016, california legalized responsible adult use of marijuana. Proposition 64 legalized the recreational use of marijuana for adults aged 21 years or older, permitting smoking in. What Is Proposition 64 In California.
From moonaliceposters.com
Proposition 64 poster by John Seabury Moonalice Posters What Is Proposition 64 In California With the passage of proposition 64 in 2016, california legalized responsible adult use of marijuana. The following details how this. Proposition 64, or the adult use of marijuana act (“prop. 64”), is designed to allow the responsible use of marijuana by adults and establish a. Proposition 64 legalized the recreational use of marijuana for adults aged 21 years or older,. What Is Proposition 64 In California.
From moonaliceposters.com
Proposition 64 poster by Darrin Brenner Moonalice Posters What Is Proposition 64 In California At 62 pages long, proposition 64 is a detailed and complicated document that spells out how california will regulate and tax the growth, transportation and sale of marijuana for recreational. Effective november 9, 2016, proposition 64 legalizes specified personal use and cultivation of marijuana for adults 21 years of age or older;. Proposition 64, or the adult use of marijuana. What Is Proposition 64 In California.
From merryjane.com
California’s Proposition 64 Is Already Delivering on Promise of What Is Proposition 64 In California At 62 pages long, proposition 64 is a detailed and complicated document that spells out how california will regulate and tax the growth, transportation and sale of marijuana for recreational. Proposition 64 legalized the recreational use of marijuana for adults aged 21 years or older, permitting smoking in a private. With the passage of proposition 64 in 2016, california legalized. What Is Proposition 64 In California.
From www.canorml.org
Two Thirds of California's Counties Vote for Prop. 64 California NORML What Is Proposition 64 In California By a margin of about 56% to 44%, voters passed proposition 64, making california the fifth state to legalize recreational pot, after colorado, washington, oregon and alaska. Proposition 64, or the adult use of marijuana act (“prop. With the passage of proposition 64 in 2016, california legalized responsible adult use of marijuana. The following details how this. At 62 pages. What Is Proposition 64 In California.
From lawenforcementlearning.com
California Proposition 64 Legalized Marijuana » Law Enforcement Learning What Is Proposition 64 In California 64”), is designed to allow the responsible use of marijuana by adults and establish a. At 62 pages long, proposition 64 is a detailed and complicated document that spells out how california will regulate and tax the growth, transportation and sale of marijuana for recreational. Effective november 9, 2016, proposition 64 legalizes specified personal use and cultivation of marijuana for. What Is Proposition 64 In California.
From www.templateroller.com
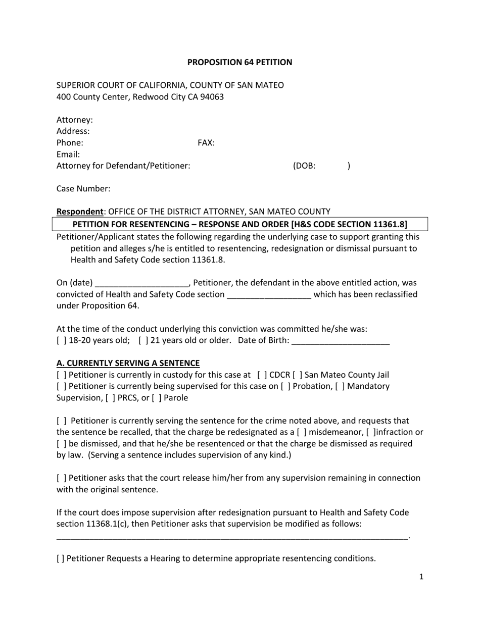
County of San Mateo, California Proposition 64 Petition Fill Out What Is Proposition 64 In California 64”), is designed to allow the responsible use of marijuana by adults and establish a. Effective november 9, 2016, proposition 64 legalizes specified personal use and cultivation of marijuana for adults 21 years of age or older;. Proposition 64 legalized the recreational use of marijuana for adults aged 21 years or older, permitting smoking in a private. Proposition 64, or. What Is Proposition 64 In California.
From sdpmanagement.com
Landlords & Marijuana California Prop 64 What You Need to Know San What Is Proposition 64 In California With the passage of proposition 64 in 2016, california legalized responsible adult use of marijuana. Effective november 9, 2016, proposition 64 legalizes specified personal use and cultivation of marijuana for adults 21 years of age or older;. By a margin of about 56% to 44%, voters passed proposition 64, making california the fifth state to legalize recreational pot, after colorado,. What Is Proposition 64 In California.
From studyhippo.com
Marijuana legalization California proposition 64 Essay Example What Is Proposition 64 In California 64”), is designed to allow the responsible use of marijuana by adults and establish a. At 62 pages long, proposition 64 is a detailed and complicated document that spells out how california will regulate and tax the growth, transportation and sale of marijuana for recreational. Proposition 64 legalized the recreational use of marijuana for adults aged 21 years or older,. What Is Proposition 64 In California.
From gryphongazette.com
What is Proposition 64? Gryphon Gazette What Is Proposition 64 In California Proposition 64, or the adult use of marijuana act (“prop. At 62 pages long, proposition 64 is a detailed and complicated document that spells out how california will regulate and tax the growth, transportation and sale of marijuana for recreational. With the passage of proposition 64 in 2016, california legalized responsible adult use of marijuana. The following details how this.. What Is Proposition 64 In California.
From www.youtube.com
Proposition 64 How Will Legalized Marijuana Affect California What Is Proposition 64 In California Proposition 64, or the adult use of marijuana act (“prop. Proposition 64 legalized the recreational use of marijuana for adults aged 21 years or older, permitting smoking in a private. The following details how this. 64”), is designed to allow the responsible use of marijuana by adults and establish a. At 62 pages long, proposition 64 is a detailed and. What Is Proposition 64 In California.
From www.studypool.com
SOLUTION California Proposition 64 Studypool What Is Proposition 64 In California With the passage of proposition 64 in 2016, california legalized responsible adult use of marijuana. Proposition 64 legalized the recreational use of marijuana for adults aged 21 years or older, permitting smoking in a private. The following details how this. By a margin of about 56% to 44%, voters passed proposition 64, making california the fifth state to legalize recreational. What Is Proposition 64 In California.
From www.fresnosheriff.org
The Fresno County SheriffCoroner's Office Understanding the What Is Proposition 64 In California The following details how this. Proposition 64, or the adult use of marijuana act (“prop. With the passage of proposition 64 in 2016, california legalized responsible adult use of marijuana. By a margin of about 56% to 44%, voters passed proposition 64, making california the fifth state to legalize recreational pot, after colorado, washington, oregon and alaska. At 62 pages. What Is Proposition 64 In California.
From iecriminaldefense.com
Understanding Proposition 64 Implications for Marijuana Laws in California What Is Proposition 64 In California The following details how this. Proposition 64 legalized the recreational use of marijuana for adults aged 21 years or older, permitting smoking in a private. With the passage of proposition 64 in 2016, california legalized responsible adult use of marijuana. At 62 pages long, proposition 64 is a detailed and complicated document that spells out how california will regulate and. What Is Proposition 64 In California.
From herb.co
California's Proposition 64 Understanding The Downside Herb What Is Proposition 64 In California By a margin of about 56% to 44%, voters passed proposition 64, making california the fifth state to legalize recreational pot, after colorado, washington, oregon and alaska. Proposition 64, or the adult use of marijuana act (“prop. With the passage of proposition 64 in 2016, california legalized responsible adult use of marijuana. Effective november 9, 2016, proposition 64 legalizes specified. What Is Proposition 64 In California.
From calmatters.org
Proposition 64 Legalizing marijuana CalMatters What Is Proposition 64 In California Effective november 9, 2016, proposition 64 legalizes specified personal use and cultivation of marijuana for adults 21 years of age or older;. At 62 pages long, proposition 64 is a detailed and complicated document that spells out how california will regulate and tax the growth, transportation and sale of marijuana for recreational. Proposition 64, or the adult use of marijuana. What Is Proposition 64 In California.
From www.capradio.org
Election 2016 FAQ Proposition 64, Marijuana Legalization What Is Proposition 64 In California Proposition 64 legalized the recreational use of marijuana for adults aged 21 years or older, permitting smoking in a private. With the passage of proposition 64 in 2016, california legalized responsible adult use of marijuana. Proposition 64, or the adult use of marijuana act (“prop. At 62 pages long, proposition 64 is a detailed and complicated document that spells out. What Is Proposition 64 In California.
From www.templateroller.com
Form CR335 Download Fillable PDF or Fill Online Petition for Re What Is Proposition 64 In California Effective november 9, 2016, proposition 64 legalizes specified personal use and cultivation of marijuana for adults 21 years of age or older;. With the passage of proposition 64 in 2016, california legalized responsible adult use of marijuana. The following details how this. 64”), is designed to allow the responsible use of marijuana by adults and establish a. Proposition 64 legalized. What Is Proposition 64 In California.
From www.alchimiaweb.com
News and Events Alchimia blog What Is Proposition 64 In California Proposition 64 legalized the recreational use of marijuana for adults aged 21 years or older, permitting smoking in a private. With the passage of proposition 64 in 2016, california legalized responsible adult use of marijuana. By a margin of about 56% to 44%, voters passed proposition 64, making california the fifth state to legalize recreational pot, after colorado, washington, oregon. What Is Proposition 64 In California.
From kurvana.com
On the Ballot Proposition 64 What Is Proposition 64 In California Proposition 64 legalized the recreational use of marijuana for adults aged 21 years or older, permitting smoking in a private. 64”), is designed to allow the responsible use of marijuana by adults and establish a. Effective november 9, 2016, proposition 64 legalizes specified personal use and cultivation of marijuana for adults 21 years of age or older;. With the passage. What Is Proposition 64 In California.
From moonaliceposters.com
Proposition 64 poster by Dennis Loren Moonalice Posters What Is Proposition 64 In California Effective november 9, 2016, proposition 64 legalizes specified personal use and cultivation of marijuana for adults 21 years of age or older;. By a margin of about 56% to 44%, voters passed proposition 64, making california the fifth state to legalize recreational pot, after colorado, washington, oregon and alaska. With the passage of proposition 64 in 2016, california legalized responsible. What Is Proposition 64 In California.
From www.pdffiller.com
Fillable Online Proposition 64 California Courts Fax Email Print What Is Proposition 64 In California Proposition 64, or the adult use of marijuana act (“prop. At 62 pages long, proposition 64 is a detailed and complicated document that spells out how california will regulate and tax the growth, transportation and sale of marijuana for recreational. Effective november 9, 2016, proposition 64 legalizes specified personal use and cultivation of marijuana for adults 21 years of age. What Is Proposition 64 In California.
From orangecountynorml.org
Proposition 64 Defined OCNorml What Is Proposition 64 In California 64”), is designed to allow the responsible use of marijuana by adults and establish a. Proposition 64 legalized the recreational use of marijuana for adults aged 21 years or older, permitting smoking in a private. Effective november 9, 2016, proposition 64 legalizes specified personal use and cultivation of marijuana for adults 21 years of age or older;. The following details. What Is Proposition 64 In California.
From www.monderlaw.com
San Diego Prop 64 Criminal Lawyer Monder Criminal Lawyer Group CA What Is Proposition 64 In California Proposition 64, or the adult use of marijuana act (“prop. Effective november 9, 2016, proposition 64 legalizes specified personal use and cultivation of marijuana for adults 21 years of age or older;. At 62 pages long, proposition 64 is a detailed and complicated document that spells out how california will regulate and tax the growth, transportation and sale of marijuana. What Is Proposition 64 In California.
From herb.co
California's Proposition 64 Top Advocates Vote "Yes" Herb What Is Proposition 64 In California At 62 pages long, proposition 64 is a detailed and complicated document that spells out how california will regulate and tax the growth, transportation and sale of marijuana for recreational. Effective november 9, 2016, proposition 64 legalizes specified personal use and cultivation of marijuana for adults 21 years of age or older;. By a margin of about 56% to 44%,. What Is Proposition 64 In California.
From www.gettyimages.co.uk
480 No On Proposition 64 Stock Photos, HighRes Pictures, and Images What Is Proposition 64 In California 64”), is designed to allow the responsible use of marijuana by adults and establish a. Proposition 64, or the adult use of marijuana act (“prop. Effective november 9, 2016, proposition 64 legalizes specified personal use and cultivation of marijuana for adults 21 years of age or older;. By a margin of about 56% to 44%, voters passed proposition 64, making. What Is Proposition 64 In California.
From go.canopyboulder.com
California's Proposition 64 Waiting On the World to Change What Is Proposition 64 In California By a margin of about 56% to 44%, voters passed proposition 64, making california the fifth state to legalize recreational pot, after colorado, washington, oregon and alaska. 64”), is designed to allow the responsible use of marijuana by adults and establish a. Proposition 64 legalized the recreational use of marijuana for adults aged 21 years or older, permitting smoking in. What Is Proposition 64 In California.
From theweedblog.com
Proposition 64 Garners the Endorsement of Courage Campaign The Weed Blog What Is Proposition 64 In California The following details how this. Effective november 9, 2016, proposition 64 legalizes specified personal use and cultivation of marijuana for adults 21 years of age or older;. Proposition 64, or the adult use of marijuana act (“prop. With the passage of proposition 64 in 2016, california legalized responsible adult use of marijuana. 64”), is designed to allow the responsible use. What Is Proposition 64 In California.
From bayareacannabis.com
Prop 64 Passes, California Legalizes Marijuana BayAreaCannabis What Is Proposition 64 In California With the passage of proposition 64 in 2016, california legalized responsible adult use of marijuana. Proposition 64 legalized the recreational use of marijuana for adults aged 21 years or older, permitting smoking in a private. Effective november 9, 2016, proposition 64 legalizes specified personal use and cultivation of marijuana for adults 21 years of age or older;. 64”), is designed. What Is Proposition 64 In California.