How Does Buffer Resist Ph Change . Fortunately, the body has a mechanism for minimizing such dramatic ph changes. How does a mixture of a weak acid and its conjugate base help buffer a solution against ph changes? This equation reveals a key relationship: Either a weak acid plus a salt derived from that weak acid, or a weak base plus a salt of that weak. A buffer is able to resist ph change because the two components (conjugate acid and conjugate base) are both present in. A buffer solution is a solution where the ph does not change significantly on dilution or if an acid or base is added at constant temperature. You can change the ph of the buffer solution by changing the ratio of acid to salt, or by choosing a different acid and one of its salts. This mechanism involves a buffer, a solution that. If you have a very weak acid and one of its. The ph of a buffer depends on the pka of the weak acid and the ratio of the conjugate. Buffers resist dramatic changes in ph by being composed of certain pairs of solutes: How does a buffer work?
from www.numerade.com
How does a buffer work? A buffer is able to resist ph change because the two components (conjugate acid and conjugate base) are both present in. This equation reveals a key relationship: This mechanism involves a buffer, a solution that. A buffer solution is a solution where the ph does not change significantly on dilution or if an acid or base is added at constant temperature. How does a mixture of a weak acid and its conjugate base help buffer a solution against ph changes? Either a weak acid plus a salt derived from that weak acid, or a weak base plus a salt of that weak. The ph of a buffer depends on the pka of the weak acid and the ratio of the conjugate. Fortunately, the body has a mechanism for minimizing such dramatic ph changes. If you have a very weak acid and one of its.
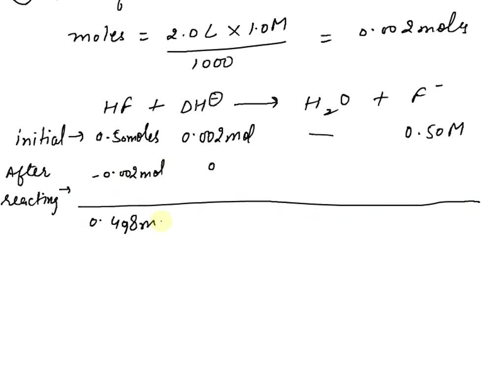
SOLVED Explain in your own words how buffer system resists changes to
How Does Buffer Resist Ph Change The ph of a buffer depends on the pka of the weak acid and the ratio of the conjugate. How does a buffer work? Fortunately, the body has a mechanism for minimizing such dramatic ph changes. You can change the ph of the buffer solution by changing the ratio of acid to salt, or by choosing a different acid and one of its salts. A buffer is able to resist ph change because the two components (conjugate acid and conjugate base) are both present in. Either a weak acid plus a salt derived from that weak acid, or a weak base plus a salt of that weak. This equation reveals a key relationship: This mechanism involves a buffer, a solution that. A buffer solution is a solution where the ph does not change significantly on dilution or if an acid or base is added at constant temperature. The ph of a buffer depends on the pka of the weak acid and the ratio of the conjugate. If you have a very weak acid and one of its. Buffers resist dramatic changes in ph by being composed of certain pairs of solutes: How does a mixture of a weak acid and its conjugate base help buffer a solution against ph changes?
From www.numerade.com
SOLVED Explain in your own words how buffer system resists changes to How Does Buffer Resist Ph Change This equation reveals a key relationship: Buffers resist dramatic changes in ph by being composed of certain pairs of solutes: This mechanism involves a buffer, a solution that. Either a weak acid plus a salt derived from that weak acid, or a weak base plus a salt of that weak. Fortunately, the body has a mechanism for minimizing such dramatic. How Does Buffer Resist Ph Change.
From www.youtube.com
14.10 Buffers Solutions that Resist pH Change YouTube How Does Buffer Resist Ph Change If you have a very weak acid and one of its. Either a weak acid plus a salt derived from that weak acid, or a weak base plus a salt of that weak. How does a mixture of a weak acid and its conjugate base help buffer a solution against ph changes? This mechanism involves a buffer, a solution that.. How Does Buffer Resist Ph Change.
From giobalfwo.blob.core.windows.net
How Long Does Ph Buffer Last at Betty Gerald blog How Does Buffer Resist Ph Change How does a buffer work? A buffer solution is a solution where the ph does not change significantly on dilution or if an acid or base is added at constant temperature. Fortunately, the body has a mechanism for minimizing such dramatic ph changes. This equation reveals a key relationship: This mechanism involves a buffer, a solution that. Either a weak. How Does Buffer Resist Ph Change.
From pressbooks.online.ucf.edu
15.6 Buffers Chemistry Fundamentals How Does Buffer Resist Ph Change Fortunately, the body has a mechanism for minimizing such dramatic ph changes. How does a mixture of a weak acid and its conjugate base help buffer a solution against ph changes? This equation reveals a key relationship: Buffers resist dramatic changes in ph by being composed of certain pairs of solutes: A buffer solution is a solution where the ph. How Does Buffer Resist Ph Change.
From www.studocu.com
Chemistry 46 practice How does a buffer resist change in pH upon How Does Buffer Resist Ph Change A buffer is able to resist ph change because the two components (conjugate acid and conjugate base) are both present in. The ph of a buffer depends on the pka of the weak acid and the ratio of the conjugate. Either a weak acid plus a salt derived from that weak acid, or a weak base plus a salt of. How Does Buffer Resist Ph Change.
From www.vrogue.co
How Buffers Work vrogue.co How Does Buffer Resist Ph Change You can change the ph of the buffer solution by changing the ratio of acid to salt, or by choosing a different acid and one of its salts. If you have a very weak acid and one of its. A buffer solution is a solution where the ph does not change significantly on dilution or if an acid or base. How Does Buffer Resist Ph Change.
From chemistryguru.com.sg
Calculate pH Change of Buffer when Hydroxide Added How Does Buffer Resist Ph Change This equation reveals a key relationship: This mechanism involves a buffer, a solution that. How does a mixture of a weak acid and its conjugate base help buffer a solution against ph changes? The ph of a buffer depends on the pka of the weak acid and the ratio of the conjugate. A buffer is able to resist ph change. How Does Buffer Resist Ph Change.
From www.slideshare.net
Ch 18 buffers How Does Buffer Resist Ph Change This equation reveals a key relationship: Fortunately, the body has a mechanism for minimizing such dramatic ph changes. This mechanism involves a buffer, a solution that. Buffers resist dramatic changes in ph by being composed of certain pairs of solutes: If you have a very weak acid and one of its. A buffer is able to resist ph change because. How Does Buffer Resist Ph Change.
From www.chegg.com
Solved How does a buffer resist change in PH upon addition How Does Buffer Resist Ph Change If you have a very weak acid and one of its. A buffer solution is a solution where the ph does not change significantly on dilution or if an acid or base is added at constant temperature. The ph of a buffer depends on the pka of the weak acid and the ratio of the conjugate. Either a weak acid. How Does Buffer Resist Ph Change.
From slideplayer.com
Aqueous Ionic Equilibrium Buffers ppt download How Does Buffer Resist Ph Change Fortunately, the body has a mechanism for minimizing such dramatic ph changes. This mechanism involves a buffer, a solution that. If you have a very weak acid and one of its. You can change the ph of the buffer solution by changing the ratio of acid to salt, or by choosing a different acid and one of its salts. How. How Does Buffer Resist Ph Change.
From www.youtube.com
20 14.10 Buffers Solutions That Resist pH Change YouTube How Does Buffer Resist Ph Change A buffer solution is a solution where the ph does not change significantly on dilution or if an acid or base is added at constant temperature. The ph of a buffer depends on the pka of the weak acid and the ratio of the conjugate. You can change the ph of the buffer solution by changing the ratio of acid. How Does Buffer Resist Ph Change.
From psiberg.com
Buffer Solutions Principle and Mechanism of their Action PSIBERG How Does Buffer Resist Ph Change This mechanism involves a buffer, a solution that. This equation reveals a key relationship: Either a weak acid plus a salt derived from that weak acid, or a weak base plus a salt of that weak. You can change the ph of the buffer solution by changing the ratio of acid to salt, or by choosing a different acid and. How Does Buffer Resist Ph Change.
From www.scribd.com
How Does The Ocean Buffer Ph Buffer Solution How Does Buffer Resist Ph Change Fortunately, the body has a mechanism for minimizing such dramatic ph changes. Buffers resist dramatic changes in ph by being composed of certain pairs of solutes: Either a weak acid plus a salt derived from that weak acid, or a weak base plus a salt of that weak. This equation reveals a key relationship: How does a buffer work? You. How Does Buffer Resist Ph Change.
From chem.libretexts.org
8.8 Buffers Solutions That Resist pH Change Chemistry LibreTexts How Does Buffer Resist Ph Change Either a weak acid plus a salt derived from that weak acid, or a weak base plus a salt of that weak. A buffer is able to resist ph change because the two components (conjugate acid and conjugate base) are both present in. This equation reveals a key relationship: How does a mixture of a weak acid and its conjugate. How Does Buffer Resist Ph Change.
From www.youtube.com
How buffer solution resist change in PH ??? YouTube How Does Buffer Resist Ph Change Fortunately, the body has a mechanism for minimizing such dramatic ph changes. How does a mixture of a weak acid and its conjugate base help buffer a solution against ph changes? This equation reveals a key relationship: The ph of a buffer depends on the pka of the weak acid and the ratio of the conjugate. This mechanism involves a. How Does Buffer Resist Ph Change.
From www.pdfprof.com
PDF examples of buffer solutions PDF Télécharger Download How Does Buffer Resist Ph Change This equation reveals a key relationship: This mechanism involves a buffer, a solution that. A buffer is able to resist ph change because the two components (conjugate acid and conjugate base) are both present in. How does a buffer work? Either a weak acid plus a salt derived from that weak acid, or a weak base plus a salt of. How Does Buffer Resist Ph Change.
From www.hotzxgirl.com
Vegetasi Riparian Sebagai Bioindikator Kualitas Ekosistem Perairan How Does Buffer Resist Ph Change A buffer solution is a solution where the ph does not change significantly on dilution or if an acid or base is added at constant temperature. If you have a very weak acid and one of its. Fortunately, the body has a mechanism for minimizing such dramatic ph changes. A buffer is able to resist ph change because the two. How Does Buffer Resist Ph Change.
From www.youtube.com
Chapter 14d how do buffers resist pH changes YouTube How Does Buffer Resist Ph Change If you have a very weak acid and one of its. You can change the ph of the buffer solution by changing the ratio of acid to salt, or by choosing a different acid and one of its salts. Either a weak acid plus a salt derived from that weak acid, or a weak base plus a salt of that. How Does Buffer Resist Ph Change.
From www.youtube.com
CALCULATION pH OF BUFFER SOLUTION EXAMPLE 2 YouTube How Does Buffer Resist Ph Change The ph of a buffer depends on the pka of the weak acid and the ratio of the conjugate. A buffer solution is a solution where the ph does not change significantly on dilution or if an acid or base is added at constant temperature. Buffers resist dramatic changes in ph by being composed of certain pairs of solutes: A. How Does Buffer Resist Ph Change.
From www.youtube.com
Calculating pH changes to a buffer solution YouTube How Does Buffer Resist Ph Change Either a weak acid plus a salt derived from that weak acid, or a weak base plus a salt of that weak. This equation reveals a key relationship: Buffers resist dramatic changes in ph by being composed of certain pairs of solutes: How does a mixture of a weak acid and its conjugate base help buffer a solution against ph. How Does Buffer Resist Ph Change.
From chem.libretexts.org
14.10 Buffers are Solutions that Resist pH Change Chemistry LibreTexts How Does Buffer Resist Ph Change How does a mixture of a weak acid and its conjugate base help buffer a solution against ph changes? Buffers resist dramatic changes in ph by being composed of certain pairs of solutes: How does a buffer work? A buffer is able to resist ph change because the two components (conjugate acid and conjugate base) are both present in. Either. How Does Buffer Resist Ph Change.
From www.youtube.com
H2 Chemistry AcidBase Equilibrium (Level 4.3 How does a buffer How Does Buffer Resist Ph Change You can change the ph of the buffer solution by changing the ratio of acid to salt, or by choosing a different acid and one of its salts. This mechanism involves a buffer, a solution that. A buffer solution is a solution where the ph does not change significantly on dilution or if an acid or base is added at. How Does Buffer Resist Ph Change.
From webmis.highland.cc.il.us
Buffers How Does Buffer Resist Ph Change A buffer solution is a solution where the ph does not change significantly on dilution or if an acid or base is added at constant temperature. How does a buffer work? A buffer is able to resist ph change because the two components (conjugate acid and conjugate base) are both present in. You can change the ph of the buffer. How Does Buffer Resist Ph Change.
From www.youtube.com
Acidic Buffers Buffer Solution Buffer Action how buffer resist pH How Does Buffer Resist Ph Change A buffer is able to resist ph change because the two components (conjugate acid and conjugate base) are both present in. This mechanism involves a buffer, a solution that. Either a weak acid plus a salt derived from that weak acid, or a weak base plus a salt of that weak. A buffer solution is a solution where the ph. How Does Buffer Resist Ph Change.
From www.chegg.com
Solved How a buffer resists change in pH 3. A buffer is How Does Buffer Resist Ph Change This mechanism involves a buffer, a solution that. A buffer is able to resist ph change because the two components (conjugate acid and conjugate base) are both present in. The ph of a buffer depends on the pka of the weak acid and the ratio of the conjugate. A buffer solution is a solution where the ph does not change. How Does Buffer Resist Ph Change.
From www.brainkart.com
How do buffers work? How Does Buffer Resist Ph Change This mechanism involves a buffer, a solution that. The ph of a buffer depends on the pka of the weak acid and the ratio of the conjugate. Either a weak acid plus a salt derived from that weak acid, or a weak base plus a salt of that weak. A buffer solution is a solution where the ph does not. How Does Buffer Resist Ph Change.
From www.slideserve.com
PPT Chapter 16 Aqueous Ionic Equilibrium PowerPoint Presentation ID How Does Buffer Resist Ph Change Buffers resist dramatic changes in ph by being composed of certain pairs of solutes: How does a mixture of a weak acid and its conjugate base help buffer a solution against ph changes? Fortunately, the body has a mechanism for minimizing such dramatic ph changes. A buffer solution is a solution where the ph does not change significantly on dilution. How Does Buffer Resist Ph Change.
From www.slideserve.com
PPT Chem. Concepts Buffers PowerPoint Presentation, free download How Does Buffer Resist Ph Change This mechanism involves a buffer, a solution that. Either a weak acid plus a salt derived from that weak acid, or a weak base plus a salt of that weak. This equation reveals a key relationship: Fortunately, the body has a mechanism for minimizing such dramatic ph changes. A buffer solution is a solution where the ph does not change. How Does Buffer Resist Ph Change.
From granddesignrv.blogspot.com
Experimental Design Examples Biology How Does Buffer Resist Ph Change You can change the ph of the buffer solution by changing the ratio of acid to salt, or by choosing a different acid and one of its salts. This mechanism involves a buffer, a solution that. This equation reveals a key relationship: A buffer solution is a solution where the ph does not change significantly on dilution or if an. How Does Buffer Resist Ph Change.
From www.youtube.com
Buffer Action Acidic and basic buffer Action how buffer resist pH How Does Buffer Resist Ph Change Buffers resist dramatic changes in ph by being composed of certain pairs of solutes: This equation reveals a key relationship: How does a buffer work? A buffer solution is a solution where the ph does not change significantly on dilution or if an acid or base is added at constant temperature. You can change the ph of the buffer solution. How Does Buffer Resist Ph Change.
From www.numerade.com
SOLVED Show how a buffered solution resists pH change upon addition of How Does Buffer Resist Ph Change Either a weak acid plus a salt derived from that weak acid, or a weak base plus a salt of that weak. This equation reveals a key relationship: This mechanism involves a buffer, a solution that. A buffer is able to resist ph change because the two components (conjugate acid and conjugate base) are both present in. You can change. How Does Buffer Resist Ph Change.
From giobalfwo.blob.core.windows.net
How Long Does Ph Buffer Last at Betty Gerald blog How Does Buffer Resist Ph Change Buffers resist dramatic changes in ph by being composed of certain pairs of solutes: This mechanism involves a buffer, a solution that. A buffer is able to resist ph change because the two components (conjugate acid and conjugate base) are both present in. How does a mixture of a weak acid and its conjugate base help buffer a solution against. How Does Buffer Resist Ph Change.
From www.mheducation.com
What is McGraw Hill Virtual Labs? McGraw Hill Higher Education How Does Buffer Resist Ph Change This equation reveals a key relationship: A buffer is able to resist ph change because the two components (conjugate acid and conjugate base) are both present in. How does a mixture of a weak acid and its conjugate base help buffer a solution against ph changes? Fortunately, the body has a mechanism for minimizing such dramatic ph changes. Either a. How Does Buffer Resist Ph Change.
From brainly.ph
How can buffer solutions resist ph change? Brainly.ph How Does Buffer Resist Ph Change This mechanism involves a buffer, a solution that. The ph of a buffer depends on the pka of the weak acid and the ratio of the conjugate. Either a weak acid plus a salt derived from that weak acid, or a weak base plus a salt of that weak. A buffer is able to resist ph change because the two. How Does Buffer Resist Ph Change.
From www.azom.com
How do pH Buffers Work? How Does Buffer Resist Ph Change You can change the ph of the buffer solution by changing the ratio of acid to salt, or by choosing a different acid and one of its salts. The ph of a buffer depends on the pka of the weak acid and the ratio of the conjugate. A buffer solution is a solution where the ph does not change significantly. How Does Buffer Resist Ph Change.