Marbles In A Jar Probability . A jar contains 6 red marbles, 3 blue marbles, and 1 green marble. B) find the probabilities for p(at least one black marble), p(same color), p(bw), p(exactly one black marble) The probability that we pick one of the 3 green marbles out of the 11 is simply that ratio: Probability examples a jar contains 30 red marbles, 12 yellow marbles, 8 green marbles and 5 blue marbles what is the probability that you draw and replace marbles 3 times and. Suppose you have a jar containing 100 red marbles and 100 white marbles. A) if you draw 5 marbles in a row, throwing each marble across. P green = 3 11. A) draw the tree diagram for the experiment. Two marbles are drawn without replacement from a jar containing 4 black and 6 white marbles. Two marbles are drawn randomly one after the other without replacement from a jar that contains 4 red marbles, 4 white marbles,. What is the probability that the first marble picked at random is blue and that the second marble is green and that the third. Two of those ten marbles originally came from the first jar and eight of those ten marbles originally came from the second jar. The marbles are well mixed and one marble randomly chosen from.
from www.chegg.com
Two marbles are drawn randomly one after the other without replacement from a jar that contains 4 red marbles, 4 white marbles,. Probability examples a jar contains 30 red marbles, 12 yellow marbles, 8 green marbles and 5 blue marbles what is the probability that you draw and replace marbles 3 times and. P green = 3 11. The probability that we pick one of the 3 green marbles out of the 11 is simply that ratio: What is the probability that the first marble picked at random is blue and that the second marble is green and that the third. A jar contains 6 red marbles, 3 blue marbles, and 1 green marble. B) find the probabilities for p(at least one black marble), p(same color), p(bw), p(exactly one black marble) A) draw the tree diagram for the experiment. The marbles are well mixed and one marble randomly chosen from. Two marbles are drawn without replacement from a jar containing 4 black and 6 white marbles.
Solved Suppose a jar contains 5 red marbles and 24 blue
Marbles In A Jar Probability P green = 3 11. Two marbles are drawn without replacement from a jar containing 4 black and 6 white marbles. The marbles are well mixed and one marble randomly chosen from. A jar contains 6 red marbles, 3 blue marbles, and 1 green marble. P green = 3 11. Two of those ten marbles originally came from the first jar and eight of those ten marbles originally came from the second jar. What is the probability that the first marble picked at random is blue and that the second marble is green and that the third. Suppose you have a jar containing 100 red marbles and 100 white marbles. The probability that we pick one of the 3 green marbles out of the 11 is simply that ratio: Probability examples a jar contains 30 red marbles, 12 yellow marbles, 8 green marbles and 5 blue marbles what is the probability that you draw and replace marbles 3 times and. Two marbles are drawn randomly one after the other without replacement from a jar that contains 4 red marbles, 4 white marbles,. B) find the probabilities for p(at least one black marble), p(same color), p(bw), p(exactly one black marble) A) if you draw 5 marbles in a row, throwing each marble across. A) draw the tree diagram for the experiment.
From www.gauthmath.com
Solved A jar of marbles contains the following two purple marbles, four white marbles, three Marbles In A Jar Probability Two marbles are drawn without replacement from a jar containing 4 black and 6 white marbles. Two of those ten marbles originally came from the first jar and eight of those ten marbles originally came from the second jar. A) if you draw 5 marbles in a row, throwing each marble across. B) find the probabilities for p(at least one. Marbles In A Jar Probability.
From www.dreamstime.com
A Jar of Colorful Marbles, Representing the Different Chemicals Used in a Science Experiment Marbles In A Jar Probability What is the probability that the first marble picked at random is blue and that the second marble is green and that the third. B) find the probabilities for p(at least one black marble), p(same color), p(bw), p(exactly one black marble) Two marbles are drawn randomly one after the other without replacement from a jar that contains 4 red marbles,. Marbles In A Jar Probability.
From www.numerade.com
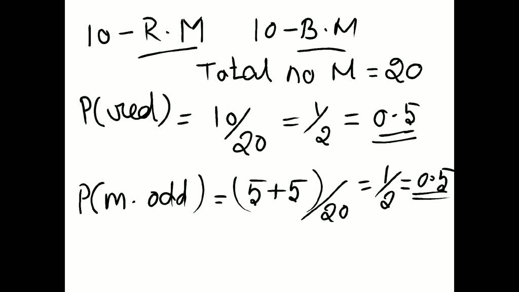
SOLVED A jar contains 10 red marbles numbered 1 to 10 and 10 blue marbles numbered 1 to 10. A Marbles In A Jar Probability P green = 3 11. A) draw the tree diagram for the experiment. B) find the probabilities for p(at least one black marble), p(same color), p(bw), p(exactly one black marble) A jar contains 6 red marbles, 3 blue marbles, and 1 green marble. The probability that we pick one of the 3 green marbles out of the 11 is simply. Marbles In A Jar Probability.
From www.numerade.com
SOLVED A jar contains 5 red marbles, 6 green marbles and 21 white marbles. If a marble is drawn Marbles In A Jar Probability Two of those ten marbles originally came from the first jar and eight of those ten marbles originally came from the second jar. B) find the probabilities for p(at least one black marble), p(same color), p(bw), p(exactly one black marble) A) draw the tree diagram for the experiment. Suppose you have a jar containing 100 red marbles and 100 white. Marbles In A Jar Probability.
From www.chegg.com
Solved Suppose a jar contains 5 red marbles and 24 blue Marbles In A Jar Probability Two marbles are drawn without replacement from a jar containing 4 black and 6 white marbles. The marbles are well mixed and one marble randomly chosen from. Suppose you have a jar containing 100 red marbles and 100 white marbles. A) if you draw 5 marbles in a row, throwing each marble across. What is the probability that the first. Marbles In A Jar Probability.
From www.numerade.com
Calculate the following probabilities based on the jar of marbles shown below. Round your answer Marbles In A Jar Probability What is the probability that the first marble picked at random is blue and that the second marble is green and that the third. A) draw the tree diagram for the experiment. Probability examples a jar contains 30 red marbles, 12 yellow marbles, 8 green marbles and 5 blue marbles what is the probability that you draw and replace marbles. Marbles In A Jar Probability.
From www.toppr.com
"26. A jar contains 54 marbles of blue 37ncolours. The probability of selecting a blue marblenat Marbles In A Jar Probability A jar contains 6 red marbles, 3 blue marbles, and 1 green marble. A) draw the tree diagram for the experiment. Two marbles are drawn randomly one after the other without replacement from a jar that contains 4 red marbles, 4 white marbles,. The probability that we pick one of the 3 green marbles out of the 11 is simply. Marbles In A Jar Probability.
From www.gauthmath.com
Solved A jar contains four red marbles and six green marbles. You randomly select a marble from Marbles In A Jar Probability Two marbles are drawn randomly one after the other without replacement from a jar that contains 4 red marbles, 4 white marbles,. A) if you draw 5 marbles in a row, throwing each marble across. A jar contains 6 red marbles, 3 blue marbles, and 1 green marble. What is the probability that the first marble picked at random is. Marbles In A Jar Probability.
From www.chegg.com
Solved Question 6 Suppose a jar contains 13 red marbles and Marbles In A Jar Probability B) find the probabilities for p(at least one black marble), p(same color), p(bw), p(exactly one black marble) The probability that we pick one of the 3 green marbles out of the 11 is simply that ratio: Probability examples a jar contains 30 red marbles, 12 yellow marbles, 8 green marbles and 5 blue marbles what is the probability that you. Marbles In A Jar Probability.
From www.coursehero.com
[Solved] . Suppose a jar contains 12 red marbles and 28 blue marbles. If... Course Hero Marbles In A Jar Probability A) draw the tree diagram for the experiment. The marbles are well mixed and one marble randomly chosen from. Suppose you have a jar containing 100 red marbles and 100 white marbles. Two marbles are drawn randomly one after the other without replacement from a jar that contains 4 red marbles, 4 white marbles,. B) find the probabilities for p(at. Marbles In A Jar Probability.
From www.coursehero.com
[Solved] A jar contains 8 red marbles, numbered 1 to 8, and 11 blue marbles... Course Hero Marbles In A Jar Probability Two of those ten marbles originally came from the first jar and eight of those ten marbles originally came from the second jar. The probability that we pick one of the 3 green marbles out of the 11 is simply that ratio: Two marbles are drawn without replacement from a jar containing 4 black and 6 white marbles. B) find. Marbles In A Jar Probability.
From www.toppr.com
A jar contains 54 marbles each of which is blue, green or white. The probability of selecting a Marbles In A Jar Probability Two marbles are drawn without replacement from a jar containing 4 black and 6 white marbles. B) find the probabilities for p(at least one black marble), p(same color), p(bw), p(exactly one black marble) Two marbles are drawn randomly one after the other without replacement from a jar that contains 4 red marbles, 4 white marbles,. A) if you draw 5. Marbles In A Jar Probability.
From www.toppr.com
A glass jar contains 6 red, 5 green, 4 blue and 5 yellow marbles of same size. Hari takes out a Marbles In A Jar Probability The marbles are well mixed and one marble randomly chosen from. Two marbles are drawn randomly one after the other without replacement from a jar that contains 4 red marbles, 4 white marbles,. B) find the probabilities for p(at least one black marble), p(same color), p(bw), p(exactly one black marble) What is the probability that the first marble picked at. Marbles In A Jar Probability.
From studylib.net
Probability Examples Marbles In A Jar Probability B) find the probabilities for p(at least one black marble), p(same color), p(bw), p(exactly one black marble) The marbles are well mixed and one marble randomly chosen from. The probability that we pick one of the 3 green marbles out of the 11 is simply that ratio: Two of those ten marbles originally came from the first jar and eight. Marbles In A Jar Probability.
From www.chegg.com
Solved PROBABILITY 1. A jar has 25 marbles. 16 marbles are Marbles In A Jar Probability Two marbles are drawn without replacement from a jar containing 4 black and 6 white marbles. A) draw the tree diagram for the experiment. Two of those ten marbles originally came from the first jar and eight of those ten marbles originally came from the second jar. Suppose you have a jar containing 100 red marbles and 100 white marbles.. Marbles In A Jar Probability.
From www.numerade.com
SOLVED A jar contains 3 red marbles, 24 green marbles and 20 white marbles. If a marble is Marbles In A Jar Probability Two marbles are drawn without replacement from a jar containing 4 black and 6 white marbles. A) if you draw 5 marbles in a row, throwing each marble across. P green = 3 11. What is the probability that the first marble picked at random is blue and that the second marble is green and that the third. Two marbles. Marbles In A Jar Probability.
From library.tis.today
Probability Calculations Marbles In A Jar Probability Two marbles are drawn without replacement from a jar containing 4 black and 6 white marbles. A) draw the tree diagram for the experiment. What is the probability that the first marble picked at random is blue and that the second marble is green and that the third. A) if you draw 5 marbles in a row, throwing each marble. Marbles In A Jar Probability.
From www.coursehero.com
[Solved] A jar contains 12 red marbles numbered 1 to 12 and 6 blue marbles... Course Hero Marbles In A Jar Probability Two marbles are drawn without replacement from a jar containing 4 black and 6 white marbles. What is the probability that the first marble picked at random is blue and that the second marble is green and that the third. A) if you draw 5 marbles in a row, throwing each marble across. P green = 3 11. Two marbles. Marbles In A Jar Probability.
From www.coursehero.com
[Solved] Suppose a jar contains 11 red marbles and 18 blue marbles. If you... Course Hero Marbles In A Jar Probability B) find the probabilities for p(at least one black marble), p(same color), p(bw), p(exactly one black marble) A jar contains 6 red marbles, 3 blue marbles, and 1 green marble. A) if you draw 5 marbles in a row, throwing each marble across. Suppose you have a jar containing 100 red marbles and 100 white marbles. Two marbles are drawn. Marbles In A Jar Probability.
From www.numerade.com
SOLVED point) A jar contains 2 red marbles numbered 1 to 2 and 10 blue marbles numbered 1 to 10 Marbles In A Jar Probability The marbles are well mixed and one marble randomly chosen from. What is the probability that the first marble picked at random is blue and that the second marble is green and that the third. Two of those ten marbles originally came from the first jar and eight of those ten marbles originally came from the second jar. Suppose you. Marbles In A Jar Probability.
From www.gauthmath.com
Solved 11 A jar contains 54 marbles each of which is blue, green, or white. The probability of Marbles In A Jar Probability A) draw the tree diagram for the experiment. B) find the probabilities for p(at least one black marble), p(same color), p(bw), p(exactly one black marble) Two of those ten marbles originally came from the first jar and eight of those ten marbles originally came from the second jar. A) if you draw 5 marbles in a row, throwing each marble. Marbles In A Jar Probability.
From www.coursehero.com
[Solved] Suppose a jar contains 14 red marbles and 17 blue marbles. If you... Course Hero Marbles In A Jar Probability Two marbles are drawn without replacement from a jar containing 4 black and 6 white marbles. Two of those ten marbles originally came from the first jar and eight of those ten marbles originally came from the second jar. What is the probability that the first marble picked at random is blue and that the second marble is green and. Marbles In A Jar Probability.
From www.numerade.com
SOLVED A jar contains 6 red marbles numbered 1 to 6 and 12 blue marbles numbered 1 to 12. A Marbles In A Jar Probability Two of those ten marbles originally came from the first jar and eight of those ten marbles originally came from the second jar. Two marbles are drawn randomly one after the other without replacement from a jar that contains 4 red marbles, 4 white marbles,. Probability examples a jar contains 30 red marbles, 12 yellow marbles, 8 green marbles and. Marbles In A Jar Probability.
From www.numerade.com
SOLVED Suppose a jar contains 5 red marbles and 18 blue marbles. If you reach in the jar and Marbles In A Jar Probability The marbles are well mixed and one marble randomly chosen from. A) draw the tree diagram for the experiment. Probability examples a jar contains 30 red marbles, 12 yellow marbles, 8 green marbles and 5 blue marbles what is the probability that you draw and replace marbles 3 times and. B) find the probabilities for p(at least one black marble),. Marbles In A Jar Probability.
From www.numerade.com
SOLVED A jar contains 7 red marbles numbered 1 to 7 and 5 blue marbles numbered 1 to 5. A Marbles In A Jar Probability A jar contains 6 red marbles, 3 blue marbles, and 1 green marble. The marbles are well mixed and one marble randomly chosen from. Probability examples a jar contains 30 red marbles, 12 yellow marbles, 8 green marbles and 5 blue marbles what is the probability that you draw and replace marbles 3 times and. P green = 3 11.. Marbles In A Jar Probability.
From www.numerade.com
SOLVED A jar contains 6 red marbles numbered 1 to 6 and 12 blue marbles numbered 1 to 12. A Marbles In A Jar Probability The probability that we pick one of the 3 green marbles out of the 11 is simply that ratio: The marbles are well mixed and one marble randomly chosen from. Probability examples a jar contains 30 red marbles, 12 yellow marbles, 8 green marbles and 5 blue marbles what is the probability that you draw and replace marbles 3 times. Marbles In A Jar Probability.
From www.numerade.com
SOLVED A jar contains 18 red marbles, 22 green marbles and 24 white marbles. If a marble is Marbles In A Jar Probability A jar contains 6 red marbles, 3 blue marbles, and 1 green marble. B) find the probabilities for p(at least one black marble), p(same color), p(bw), p(exactly one black marble) A) if you draw 5 marbles in a row, throwing each marble across. The marbles are well mixed and one marble randomly chosen from. A) draw the tree diagram for. Marbles In A Jar Probability.
From www.toppr.com
A jar contains 54 marbles each of which is in one of the colours blue, green and white. The Marbles In A Jar Probability The marbles are well mixed and one marble randomly chosen from. The probability that we pick one of the 3 green marbles out of the 11 is simply that ratio: A) if you draw 5 marbles in a row, throwing each marble across. Suppose you have a jar containing 100 red marbles and 100 white marbles. Two marbles are drawn. Marbles In A Jar Probability.
From www.toppr.com
The probability of selecting a green marble at random from a jar that contains only green, white Marbles In A Jar Probability Two marbles are drawn without replacement from a jar containing 4 black and 6 white marbles. B) find the probabilities for p(at least one black marble), p(same color), p(bw), p(exactly one black marble) A) draw the tree diagram for the experiment. A jar contains 6 red marbles, 3 blue marbles, and 1 green marble. Probability examples a jar contains 30. Marbles In A Jar Probability.
From www.numerade.com
A jar contains 4 red marbles, 2 white marbles, and 4 blue marbles. Two marbles are randomly Marbles In A Jar Probability B) find the probabilities for p(at least one black marble), p(same color), p(bw), p(exactly one black marble) The probability that we pick one of the 3 green marbles out of the 11 is simply that ratio: P green = 3 11. Suppose you have a jar containing 100 red marbles and 100 white marbles. A) if you draw 5 marbles. Marbles In A Jar Probability.
From ar.inspiredpencil.com
Colorful Marbles In A Jar Marbles In A Jar Probability A jar contains 6 red marbles, 3 blue marbles, and 1 green marble. What is the probability that the first marble picked at random is blue and that the second marble is green and that the third. P green = 3 11. Suppose you have a jar containing 100 red marbles and 100 white marbles. The probability that we pick. Marbles In A Jar Probability.
From www.numerade.com
SOLVED Suppose a jar contains 16 red marbles and 26 blue marbles. If you reach in the jar and Marbles In A Jar Probability Probability examples a jar contains 30 red marbles, 12 yellow marbles, 8 green marbles and 5 blue marbles what is the probability that you draw and replace marbles 3 times and. The probability that we pick one of the 3 green marbles out of the 11 is simply that ratio: Suppose you have a jar containing 100 red marbles and. Marbles In A Jar Probability.
From www.numerade.com
SOLVED A jar contains 10 red marbles numbered 1 to 10 and 6 blue marbles numbered 1 to 6. A Marbles In A Jar Probability B) find the probabilities for p(at least one black marble), p(same color), p(bw), p(exactly one black marble) The marbles are well mixed and one marble randomly chosen from. A) if you draw 5 marbles in a row, throwing each marble across. A) draw the tree diagram for the experiment. Two marbles are drawn without replacement from a jar containing 4. Marbles In A Jar Probability.
From www.youtube.com
Probability With Marbles Made Easy Probabilties for Drawing One Marble Out of a Jar YouTube Marbles In A Jar Probability Two marbles are drawn randomly one after the other without replacement from a jar that contains 4 red marbles, 4 white marbles,. Suppose you have a jar containing 100 red marbles and 100 white marbles. P green = 3 11. The probability that we pick one of the 3 green marbles out of the 11 is simply that ratio: A). Marbles In A Jar Probability.
From www.gauthmath.com
Solved A jar contains 4 red marbles, 3 white marbles, and 8 blue marbles. Two marbles are Marbles In A Jar Probability Two of those ten marbles originally came from the first jar and eight of those ten marbles originally came from the second jar. A jar contains 6 red marbles, 3 blue marbles, and 1 green marble. Two marbles are drawn randomly one after the other without replacement from a jar that contains 4 red marbles, 4 white marbles,. What is. Marbles In A Jar Probability.