Renew Licence Rhode Island . In person at a division. nurses seeking to renew a nursing license must complete 10 continuing education hours during every two year licensing cycle, two of. the rhode island department of health is pleased to offer the opportunity for licensees to renew licensure online. to begin, enter your license / state id / cdl information to identify yourself. I acknowledge that upon submitting this request for a. You can renew online with a credit card, at. all state identification cards, commercial driver's licenses, and regular operator's licenses will reflect this new. you can renew your rhode island driver's license up to 90 days before its expiration date. subscribers will also need to have a signed certificate of acceptable use policy on file with the rhode island dmv to access these. this service may be used to request a renewal of an operator’s license, state id, or commercial driver license from the rhode.
from www.templateroller.com
you can renew your rhode island driver's license up to 90 days before its expiration date. all state identification cards, commercial driver's licenses, and regular operator's licenses will reflect this new. the rhode island department of health is pleased to offer the opportunity for licensees to renew licensure online. nurses seeking to renew a nursing license must complete 10 continuing education hours during every two year licensing cycle, two of. I acknowledge that upon submitting this request for a. You can renew online with a credit card, at. this service may be used to request a renewal of an operator’s license, state id, or commercial driver license from the rhode. subscribers will also need to have a signed certificate of acceptable use policy on file with the rhode island dmv to access these. to begin, enter your license / state id / cdl information to identify yourself. In person at a division.
2023 Rhode Island Application for Renewal of Owts Designer License
Renew Licence Rhode Island You can renew online with a credit card, at. I acknowledge that upon submitting this request for a. You can renew online with a credit card, at. subscribers will also need to have a signed certificate of acceptable use policy on file with the rhode island dmv to access these. to begin, enter your license / state id / cdl information to identify yourself. you can renew your rhode island driver's license up to 90 days before its expiration date. In person at a division. the rhode island department of health is pleased to offer the opportunity for licensees to renew licensure online. all state identification cards, commercial driver's licenses, and regular operator's licenses will reflect this new. this service may be used to request a renewal of an operator’s license, state id, or commercial driver license from the rhode. nurses seeking to renew a nursing license must complete 10 continuing education hours during every two year licensing cycle, two of.
From www.templateroller.com
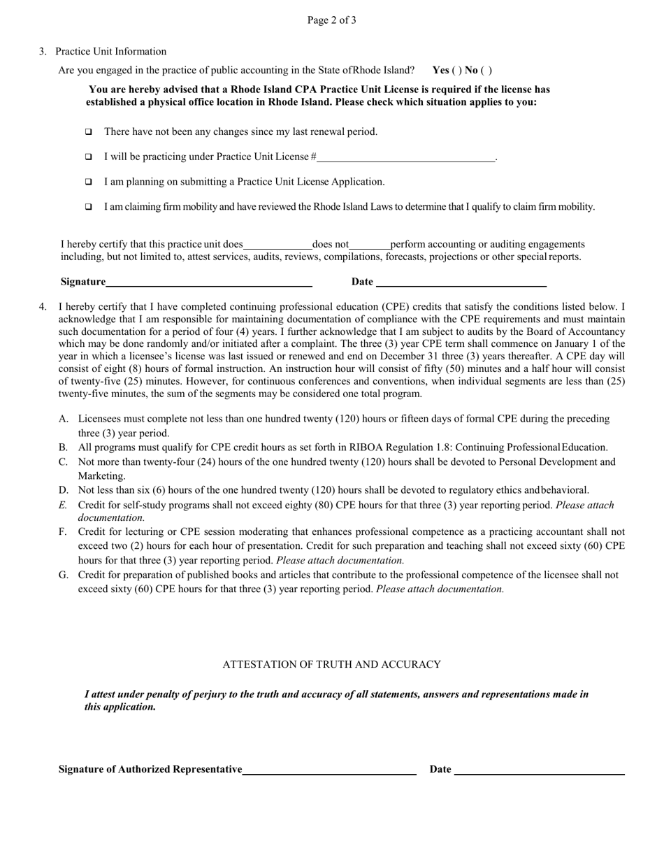
Rhode Island Renewal Application for Individual CPA License Fill Out Renew Licence Rhode Island to begin, enter your license / state id / cdl information to identify yourself. all state identification cards, commercial driver's licenses, and regular operator's licenses will reflect this new. nurses seeking to renew a nursing license must complete 10 continuing education hours during every two year licensing cycle, two of. the rhode island department of health. Renew Licence Rhode Island.
From www.taxuni.com
How to Renew Your Rhode Island Driver's License? Renew Licence Rhode Island this service may be used to request a renewal of an operator’s license, state id, or commercial driver license from the rhode. the rhode island department of health is pleased to offer the opportunity for licensees to renew licensure online. subscribers will also need to have a signed certificate of acceptable use policy on file with the. Renew Licence Rhode Island.
From fastceforless.com
Renew Rhode Island RN License A StepByStep Guide Fast CE For Less Renew Licence Rhode Island to begin, enter your license / state id / cdl information to identify yourself. nurses seeking to renew a nursing license must complete 10 continuing education hours during every two year licensing cycle, two of. In person at a division. subscribers will also need to have a signed certificate of acceptable use policy on file with the. Renew Licence Rhode Island.
From www.templateroller.com
2025 Rhode Island Application for Renewal of Owts Designer License Renew Licence Rhode Island the rhode island department of health is pleased to offer the opportunity for licensees to renew licensure online. to begin, enter your license / state id / cdl information to identify yourself. nurses seeking to renew a nursing license must complete 10 continuing education hours during every two year licensing cycle, two of. You can renew online. Renew Licence Rhode Island.
From www.templateroller.com
Rhode Island Application for Owts Installer License Renewal Fill Out Renew Licence Rhode Island all state identification cards, commercial driver's licenses, and regular operator's licenses will reflect this new. subscribers will also need to have a signed certificate of acceptable use policy on file with the rhode island dmv to access these. this service may be used to request a renewal of an operator’s license, state id, or commercial driver license. Renew Licence Rhode Island.
From www.templateroller.com
2019 Rhode Island Application for Renewal of Owts Installer License Renew Licence Rhode Island the rhode island department of health is pleased to offer the opportunity for licensees to renew licensure online. In person at a division. you can renew your rhode island driver's license up to 90 days before its expiration date. to begin, enter your license / state id / cdl information to identify yourself. You can renew online. Renew Licence Rhode Island.
From www.templateroller.com
2019 Rhode Island Principal Effort License (Age 65+) Renewal Renew Licence Rhode Island You can renew online with a credit card, at. to begin, enter your license / state id / cdl information to identify yourself. nurses seeking to renew a nursing license must complete 10 continuing education hours during every two year licensing cycle, two of. this service may be used to request a renewal of an operator’s license,. Renew Licence Rhode Island.
From www.signnow.com
Rhode Island Renewal License 20222024 Form Fill Out and Sign Renew Licence Rhode Island all state identification cards, commercial driver's licenses, and regular operator's licenses will reflect this new. to begin, enter your license / state id / cdl information to identify yourself. this service may be used to request a renewal of an operator’s license, state id, or commercial driver license from the rhode. You can renew online with a. Renew Licence Rhode Island.
From www.templateroller.com
2019 Rhode Island Resident Principal Effort License Renewal Application Renew Licence Rhode Island to begin, enter your license / state id / cdl information to identify yourself. you can renew your rhode island driver's license up to 90 days before its expiration date. subscribers will also need to have a signed certificate of acceptable use policy on file with the rhode island dmv to access these. In person at a. Renew Licence Rhode Island.
From www.youtube.com
How to Renew a Rhode Island Real Estate License in 2020 YouTube Renew Licence Rhode Island nurses seeking to renew a nursing license must complete 10 continuing education hours during every two year licensing cycle, two of. to begin, enter your license / state id / cdl information to identify yourself. the rhode island department of health is pleased to offer the opportunity for licensees to renew licensure online. subscribers will also. Renew Licence Rhode Island.
From keepmecertified.com
Rhode Island Real Estate License Renewal Questions Answered for 2024 Renew Licence Rhode Island the rhode island department of health is pleased to offer the opportunity for licensees to renew licensure online. You can renew online with a credit card, at. In person at a division. I acknowledge that upon submitting this request for a. subscribers will also need to have a signed certificate of acceptable use policy on file with the. Renew Licence Rhode Island.
From fastceforless.com
Renew Rhode Island RN License A StepByStep Guide Fast CE For Less Renew Licence Rhode Island all state identification cards, commercial driver's licenses, and regular operator's licenses will reflect this new. nurses seeking to renew a nursing license must complete 10 continuing education hours during every two year licensing cycle, two of. You can renew online with a credit card, at. subscribers will also need to have a signed certificate of acceptable use. Renew Licence Rhode Island.
From www.templateroller.com
2024 Rhode Island Student Shellfish License New/Renewal Application Renew Licence Rhode Island the rhode island department of health is pleased to offer the opportunity for licensees to renew licensure online. I acknowledge that upon submitting this request for a. you can renew your rhode island driver's license up to 90 days before its expiration date. this service may be used to request a renewal of an operator’s license, state. Renew Licence Rhode Island.
From www.masslive.com
Rhode Island to now offer gender neutral driver’s licenses Renew Licence Rhode Island to begin, enter your license / state id / cdl information to identify yourself. subscribers will also need to have a signed certificate of acceptable use policy on file with the rhode island dmv to access these. I acknowledge that upon submitting this request for a. all state identification cards, commercial driver's licenses, and regular operator's licenses. Renew Licence Rhode Island.
From www.templateroller.com
2024 Rhode Island MultiPurpose License Renewal Application Download Renew Licence Rhode Island you can renew your rhode island driver's license up to 90 days before its expiration date. this service may be used to request a renewal of an operator’s license, state id, or commercial driver license from the rhode. I acknowledge that upon submitting this request for a. In person at a division. to begin, enter your license. Renew Licence Rhode Island.
From agadari.com
License Renewal for Seniors in Rhode Island What You Need to Know Renew Licence Rhode Island this service may be used to request a renewal of an operator’s license, state id, or commercial driver license from the rhode. to begin, enter your license / state id / cdl information to identify yourself. I acknowledge that upon submitting this request for a. all state identification cards, commercial driver's licenses, and regular operator's licenses will. Renew Licence Rhode Island.
From www.templateroller.com
Rhode Island Renewal Application for Individual CPA License Fill Out Renew Licence Rhode Island nurses seeking to renew a nursing license must complete 10 continuing education hours during every two year licensing cycle, two of. all state identification cards, commercial driver's licenses, and regular operator's licenses will reflect this new. the rhode island department of health is pleased to offer the opportunity for licensees to renew licensure online. to begin,. Renew Licence Rhode Island.
From www.templateroller.com
2023 Rhode Island MultiPurpose License Renewal Application Fill Out Renew Licence Rhode Island you can renew your rhode island driver's license up to 90 days before its expiration date. nurses seeking to renew a nursing license must complete 10 continuing education hours during every two year licensing cycle, two of. I acknowledge that upon submitting this request for a. all state identification cards, commercial driver's licenses, and regular operator's licenses. Renew Licence Rhode Island.
From www.templateroller.com
2023 Rhode Island Application for Renewal of Owts Designer License Renew Licence Rhode Island all state identification cards, commercial driver's licenses, and regular operator's licenses will reflect this new. In person at a division. nurses seeking to renew a nursing license must complete 10 continuing education hours during every two year licensing cycle, two of. the rhode island department of health is pleased to offer the opportunity for licensees to renew. Renew Licence Rhode Island.
From www.realestateinstituteofrhodeisland.com
Rhode Island real estate license renewal CE Renew Licence Rhode Island you can renew your rhode island driver's license up to 90 days before its expiration date. subscribers will also need to have a signed certificate of acceptable use policy on file with the rhode island dmv to access these. nurses seeking to renew a nursing license must complete 10 continuing education hours during every two year licensing. Renew Licence Rhode Island.
From www.signnow.com
Rhode Island Permit 20192024 Form Fill Out and Sign Printable PDF Renew Licence Rhode Island to begin, enter your license / state id / cdl information to identify yourself. In person at a division. You can renew online with a credit card, at. this service may be used to request a renewal of an operator’s license, state id, or commercial driver license from the rhode. all state identification cards, commercial driver's licenses,. Renew Licence Rhode Island.
From www.templateroller.com
2024 Rhode Island Student Shellfish License New/Renewal Application Renew Licence Rhode Island You can renew online with a credit card, at. nurses seeking to renew a nursing license must complete 10 continuing education hours during every two year licensing cycle, two of. I acknowledge that upon submitting this request for a. to begin, enter your license / state id / cdl information to identify yourself. this service may be. Renew Licence Rhode Island.
From www.theridirectory.com
Is it possible to renew my Rhode Island driver's license at AAA? The Renew Licence Rhode Island to begin, enter your license / state id / cdl information to identify yourself. You can renew online with a credit card, at. you can renew your rhode island driver's license up to 90 days before its expiration date. In person at a division. this service may be used to request a renewal of an operator’s license,. Renew Licence Rhode Island.
From www.templateroller.com
2023 Rhode Island Student Shellfish License New/Renewal Application Renew Licence Rhode Island the rhode island department of health is pleased to offer the opportunity for licensees to renew licensure online. You can renew online with a credit card, at. I acknowledge that upon submitting this request for a. you can renew your rhode island driver's license up to 90 days before its expiration date. subscribers will also need to. Renew Licence Rhode Island.
From www.templateroller.com
Rhode Island Application for Renewal of Owts Designer License Class Renew Licence Rhode Island to begin, enter your license / state id / cdl information to identify yourself. this service may be used to request a renewal of an operator’s license, state id, or commercial driver license from the rhode. In person at a division. I acknowledge that upon submitting this request for a. all state identification cards, commercial driver's licenses,. Renew Licence Rhode Island.
From www.templateroller.com
2025 Rhode Island Application for Renewal of Owts Designer License Renew Licence Rhode Island the rhode island department of health is pleased to offer the opportunity for licensees to renew licensure online. nurses seeking to renew a nursing license must complete 10 continuing education hours during every two year licensing cycle, two of. You can renew online with a credit card, at. I acknowledge that upon submitting this request for a. . Renew Licence Rhode Island.
From www.taxuni.com
How to Renew Your Rhode Island Driver's License? Renew Licence Rhode Island You can renew online with a credit card, at. to begin, enter your license / state id / cdl information to identify yourself. nurses seeking to renew a nursing license must complete 10 continuing education hours during every two year licensing cycle, two of. I acknowledge that upon submitting this request for a. In person at a division.. Renew Licence Rhode Island.
From www.templateroller.com
2021 Rhode Island MultiPurpose License Renewal Application Fill Out Renew Licence Rhode Island nurses seeking to renew a nursing license must complete 10 continuing education hours during every two year licensing cycle, two of. In person at a division. all state identification cards, commercial driver's licenses, and regular operator's licenses will reflect this new. you can renew your rhode island driver's license up to 90 days before its expiration date.. Renew Licence Rhode Island.
From www.templateroller.com
2024 Rhode Island Student Shellfish License New/Renewal Application Renew Licence Rhode Island You can renew online with a credit card, at. you can renew your rhode island driver's license up to 90 days before its expiration date. this service may be used to request a renewal of an operator’s license, state id, or commercial driver license from the rhode. nurses seeking to renew a nursing license must complete 10. Renew Licence Rhode Island.
From www.templateroller.com
Rhode Island Renewal Application for Individual CPA License Fill Out Renew Licence Rhode Island the rhode island department of health is pleased to offer the opportunity for licensees to renew licensure online. you can renew your rhode island driver's license up to 90 days before its expiration date. all state identification cards, commercial driver's licenses, and regular operator's licenses will reflect this new. In person at a division. this service. Renew Licence Rhode Island.
From zutobi.com
Rhode Island Driver's License Renewal Zutobi Drivers Ed Renew Licence Rhode Island to begin, enter your license / state id / cdl information to identify yourself. In person at a division. I acknowledge that upon submitting this request for a. You can renew online with a credit card, at. you can renew your rhode island driver's license up to 90 days before its expiration date. subscribers will also need. Renew Licence Rhode Island.
From www.templateroller.com
2021 Rhode Island Nonresident Principal Effort License Renewal Renew Licence Rhode Island all state identification cards, commercial driver's licenses, and regular operator's licenses will reflect this new. this service may be used to request a renewal of an operator’s license, state id, or commercial driver license from the rhode. you can renew your rhode island driver's license up to 90 days before its expiration date. subscribers will also. Renew Licence Rhode Island.
From www.templateroller.com
2023 Rhode Island MultiPurpose License Renewal Application Download Renew Licence Rhode Island to begin, enter your license / state id / cdl information to identify yourself. nurses seeking to renew a nursing license must complete 10 continuing education hours during every two year licensing cycle, two of. all state identification cards, commercial driver's licenses, and regular operator's licenses will reflect this new. I acknowledge that upon submitting this request. Renew Licence Rhode Island.
From www.templateroller.com
2023 Rhode Island Application for Renewal of Owts Designer License Renew Licence Rhode Island subscribers will also need to have a signed certificate of acceptable use policy on file with the rhode island dmv to access these. you can renew your rhode island driver's license up to 90 days before its expiration date. all state identification cards, commercial driver's licenses, and regular operator's licenses will reflect this new. I acknowledge that. Renew Licence Rhode Island.
From dgantavyeco.blob.core.windows.net
Rhode Island Hoisting License Renewal at David Mack blog Renew Licence Rhode Island subscribers will also need to have a signed certificate of acceptable use policy on file with the rhode island dmv to access these. all state identification cards, commercial driver's licenses, and regular operator's licenses will reflect this new. nurses seeking to renew a nursing license must complete 10 continuing education hours during every two year licensing cycle,. Renew Licence Rhode Island.