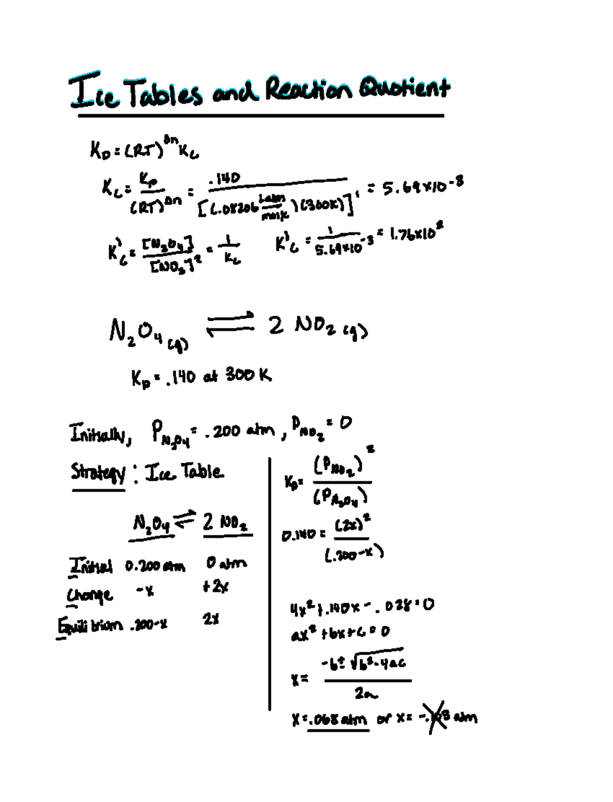
Ice Table With Coefficients . Ice tables are composed of the concentrations of molecules in solution in different stages of a reaction, and are usually used to calculate the. An useful tool in solving equilibrium problems is an ice chart. What are ice or rice tables and how do you use them in equilibrium? An ice table (acronym for initial concentration, change in concentration, and equilibrium concentration) is an useful methodology for calculating an equilibrium constant from. An ice table (for initial concentration, change in concentration, and equilibrium concentration) is a good methodology for calculating an equilibrium constant from. Making an ice chart an aid in solving equilibrium problems. Use an ice table to solve any stoichiometry problem. Video solving ice tables demonstrated. An ice table is a simple organizational tool to solve stoichiometry problems. Ice tables are composed of the concentrations of molecules in solution in different stages of a reaction, and are usually used to calculate the k, or equilibrium constant expression, of a. I stands for the initial concentrations (or pressures).
from www.cambridge.org
I stands for the initial concentrations (or pressures). An ice table (acronym for initial concentration, change in concentration, and equilibrium concentration) is an useful methodology for calculating an equilibrium constant from. Use an ice table to solve any stoichiometry problem. Ice tables are composed of the concentrations of molecules in solution in different stages of a reaction, and are usually used to calculate the k, or equilibrium constant expression, of a. An ice table (for initial concentration, change in concentration, and equilibrium concentration) is a good methodology for calculating an equilibrium constant from. What are ice or rice tables and how do you use them in equilibrium? Video solving ice tables demonstrated. An ice table is a simple organizational tool to solve stoichiometry problems. Making an ice chart an aid in solving equilibrium problems. Ice tables are composed of the concentrations of molecules in solution in different stages of a reaction, and are usually used to calculate the.
Thermal Expansion Coefficients For Sea Ice Journal of Glaciology
Ice Table With Coefficients What are ice or rice tables and how do you use them in equilibrium? Use an ice table to solve any stoichiometry problem. An ice table (for initial concentration, change in concentration, and equilibrium concentration) is a good methodology for calculating an equilibrium constant from. Ice tables are composed of the concentrations of molecules in solution in different stages of a reaction, and are usually used to calculate the k, or equilibrium constant expression, of a. Video solving ice tables demonstrated. I stands for the initial concentrations (or pressures). Making an ice chart an aid in solving equilibrium problems. Ice tables are composed of the concentrations of molecules in solution in different stages of a reaction, and are usually used to calculate the. What are ice or rice tables and how do you use them in equilibrium? An ice table is a simple organizational tool to solve stoichiometry problems. An useful tool in solving equilibrium problems is an ice chart. An ice table (acronym for initial concentration, change in concentration, and equilibrium concentration) is an useful methodology for calculating an equilibrium constant from.
From www.youtube.com
Perfect Squares ICE Table Equilibrium Calculations YouTube Ice Table With Coefficients Use an ice table to solve any stoichiometry problem. I stands for the initial concentrations (or pressures). Ice tables are composed of the concentrations of molecules in solution in different stages of a reaction, and are usually used to calculate the k, or equilibrium constant expression, of a. What are ice or rice tables and how do you use them. Ice Table With Coefficients.
From www.slideserve.com
PPT SCH4U Unit 2 EQUILIBRIUM PowerPoint Presentation, free download Ice Table With Coefficients Use an ice table to solve any stoichiometry problem. An useful tool in solving equilibrium problems is an ice chart. What are ice or rice tables and how do you use them in equilibrium? Video solving ice tables demonstrated. An ice table is a simple organizational tool to solve stoichiometry problems. Ice tables are composed of the concentrations of molecules. Ice Table With Coefficients.
From www.youtube.com
Reaction quotients and ICE tables YouTube Ice Table With Coefficients Ice tables are composed of the concentrations of molecules in solution in different stages of a reaction, and are usually used to calculate the. An ice table (for initial concentration, change in concentration, and equilibrium concentration) is a good methodology for calculating an equilibrium constant from. Use an ice table to solve any stoichiometry problem. I stands for the initial. Ice Table With Coefficients.
From www.youtube.com
14.4 The ICE Table Method YouTube Ice Table With Coefficients An useful tool in solving equilibrium problems is an ice chart. An ice table is a simple organizational tool to solve stoichiometry problems. Ice tables are composed of the concentrations of molecules in solution in different stages of a reaction, and are usually used to calculate the. An ice table (for initial concentration, change in concentration, and equilibrium concentration) is. Ice Table With Coefficients.
From www.cambridge.org
Thermal Expansion Coefficients For Sea Ice Journal of Glaciology Ice Table With Coefficients An ice table (acronym for initial concentration, change in concentration, and equilibrium concentration) is an useful methodology for calculating an equilibrium constant from. An useful tool in solving equilibrium problems is an ice chart. Ice tables are composed of the concentrations of molecules in solution in different stages of a reaction, and are usually used to calculate the. Ice tables. Ice Table With Coefficients.
From www.chegg.com
Solved ICE tables are used for calculating changes in Ice Table With Coefficients An useful tool in solving equilibrium problems is an ice chart. What are ice or rice tables and how do you use them in equilibrium? Making an ice chart an aid in solving equilibrium problems. Use an ice table to solve any stoichiometry problem. Video solving ice tables demonstrated. An ice table is a simple organizational tool to solve stoichiometry. Ice Table With Coefficients.
From z-cm.blogspot.com
Ice Table Chem Decoration Examples Ice Table With Coefficients Ice tables are composed of the concentrations of molecules in solution in different stages of a reaction, and are usually used to calculate the. Use an ice table to solve any stoichiometry problem. Video solving ice tables demonstrated. An ice table is a simple organizational tool to solve stoichiometry problems. Making an ice chart an aid in solving equilibrium problems.. Ice Table With Coefficients.
From www.youtube.com
Equilibrium Reaction with an ICE Table Chemistry Sample Problem YouTube Ice Table With Coefficients Use an ice table to solve any stoichiometry problem. Video solving ice tables demonstrated. What are ice or rice tables and how do you use them in equilibrium? Making an ice chart an aid in solving equilibrium problems. An useful tool in solving equilibrium problems is an ice chart. Ice tables are composed of the concentrations of molecules in solution. Ice Table With Coefficients.
From www.youtube.com
Quadratic Equation ICE Table Equilibrium Calculations YouTube Ice Table With Coefficients Video solving ice tables demonstrated. An ice table (for initial concentration, change in concentration, and equilibrium concentration) is a good methodology for calculating an equilibrium constant from. Use an ice table to solve any stoichiometry problem. Making an ice chart an aid in solving equilibrium problems. Ice tables are composed of the concentrations of molecules in solution in different stages. Ice Table With Coefficients.
From www.showme.com
ICE Table Problem I Science, Chemicalreactions, Chemistry Ice Table With Coefficients Use an ice table to solve any stoichiometry problem. An useful tool in solving equilibrium problems is an ice chart. I stands for the initial concentrations (or pressures). Ice tables are composed of the concentrations of molecules in solution in different stages of a reaction, and are usually used to calculate the k, or equilibrium constant expression, of a. Ice. Ice Table With Coefficients.
From slidetodoc.com
ICE Tables and Equilibrium Concentrations Lesson Outline ICE Ice Table With Coefficients Ice tables are composed of the concentrations of molecules in solution in different stages of a reaction, and are usually used to calculate the k, or equilibrium constant expression, of a. An ice table (for initial concentration, change in concentration, and equilibrium concentration) is a good methodology for calculating an equilibrium constant from. An ice table is a simple organizational. Ice Table With Coefficients.
From www.youtube.com
Chemical Equilibrium VI How to Solve an Equilibrium Problem with an Ice Table With Coefficients Use an ice table to solve any stoichiometry problem. An ice table (acronym for initial concentration, change in concentration, and equilibrium concentration) is an useful methodology for calculating an equilibrium constant from. An ice table (for initial concentration, change in concentration, and equilibrium concentration) is a good methodology for calculating an equilibrium constant from. Making an ice chart an aid. Ice Table With Coefficients.
From www.studocu.com
Outline 2 Equilibrium Concentrations using ICE Tables, Reaction Ice Table With Coefficients Making an ice chart an aid in solving equilibrium problems. Ice tables are composed of the concentrations of molecules in solution in different stages of a reaction, and are usually used to calculate the k, or equilibrium constant expression, of a. Use an ice table to solve any stoichiometry problem. Video solving ice tables demonstrated. I stands for the initial. Ice Table With Coefficients.
From www.youtube.com
Chemical Equilibrium ICE Table Example 3 YouTube Ice Table With Coefficients Use an ice table to solve any stoichiometry problem. An ice table is a simple organizational tool to solve stoichiometry problems. An ice table (for initial concentration, change in concentration, and equilibrium concentration) is a good methodology for calculating an equilibrium constant from. An useful tool in solving equilibrium problems is an ice chart. An ice table (acronym for initial. Ice Table With Coefficients.
From www.youtube.com
Chemical Equilibrium V The ICE Table Introduction YouTube Ice Table With Coefficients An ice table (for initial concentration, change in concentration, and equilibrium concentration) is a good methodology for calculating an equilibrium constant from. Making an ice chart an aid in solving equilibrium problems. An ice table is a simple organizational tool to solve stoichiometry problems. Ice tables are composed of the concentrations of molecules in solution in different stages of a. Ice Table With Coefficients.
From studylibmayer.z13.web.core.windows.net
Ice Table Chemistry Worksheet Ice Table With Coefficients Use an ice table to solve any stoichiometry problem. An ice table (acronym for initial concentration, change in concentration, and equilibrium concentration) is an useful methodology for calculating an equilibrium constant from. Ice tables are composed of the concentrations of molecules in solution in different stages of a reaction, and are usually used to calculate the k, or equilibrium constant. Ice Table With Coefficients.
From www.youtube.com
1 ICE Table WS YouTube Ice Table With Coefficients An ice table is a simple organizational tool to solve stoichiometry problems. Making an ice chart an aid in solving equilibrium problems. Use an ice table to solve any stoichiometry problem. Ice tables are composed of the concentrations of molecules in solution in different stages of a reaction, and are usually used to calculate the. What are ice or rice. Ice Table With Coefficients.
From solovelytogether.blogspot.com
How To Do Ice Tables Chemistry Decoration Drawing Ice Table With Coefficients Video solving ice tables demonstrated. Use an ice table to solve any stoichiometry problem. Ice tables are composed of the concentrations of molecules in solution in different stages of a reaction, and are usually used to calculate the. An ice table (acronym for initial concentration, change in concentration, and equilibrium concentration) is an useful methodology for calculating an equilibrium constant. Ice Table With Coefficients.
From www.youtube.com
Chemical Equilibrium ICE Table Example 2 YouTube Ice Table With Coefficients Video solving ice tables demonstrated. Making an ice chart an aid in solving equilibrium problems. An useful tool in solving equilibrium problems is an ice chart. An ice table is a simple organizational tool to solve stoichiometry problems. Ice tables are composed of the concentrations of molecules in solution in different stages of a reaction, and are usually used to. Ice Table With Coefficients.
From www.youtube.com
Calculate Equilibrium [ICE Tables] YouTube Ice Table With Coefficients I stands for the initial concentrations (or pressures). Ice tables are composed of the concentrations of molecules in solution in different stages of a reaction, and are usually used to calculate the k, or equilibrium constant expression, of a. An useful tool in solving equilibrium problems is an ice chart. An ice table (for initial concentration, change in concentration, and. Ice Table With Coefficients.
From www.youtube.com
equilibrium ICE tables YouTube Ice Table With Coefficients Video solving ice tables demonstrated. Ice tables are composed of the concentrations of molecules in solution in different stages of a reaction, and are usually used to calculate the. Use an ice table to solve any stoichiometry problem. An ice table (for initial concentration, change in concentration, and equilibrium concentration) is a good methodology for calculating an equilibrium constant from.. Ice Table With Coefficients.
From www.youtube.com
1605010 what is an ice table YouTube Ice Table With Coefficients Video solving ice tables demonstrated. What are ice or rice tables and how do you use them in equilibrium? An ice table (for initial concentration, change in concentration, and equilibrium concentration) is a good methodology for calculating an equilibrium constant from. Ice tables are composed of the concentrations of molecules in solution in different stages of a reaction, and are. Ice Table With Coefficients.
From www.slideserve.com
PPT Chemical Equilibrium PowerPoint Presentation, free download ID Ice Table With Coefficients An ice table (for initial concentration, change in concentration, and equilibrium concentration) is a good methodology for calculating an equilibrium constant from. I stands for the initial concentrations (or pressures). An ice table (acronym for initial concentration, change in concentration, and equilibrium concentration) is an useful methodology for calculating an equilibrium constant from. An ice table is a simple organizational. Ice Table With Coefficients.
From www.youtube.com
ICE Tables and Quadratic Formula, ICE Tables and Small Equilibrium Ice Table With Coefficients Making an ice chart an aid in solving equilibrium problems. Video solving ice tables demonstrated. What are ice or rice tables and how do you use them in equilibrium? An ice table is a simple organizational tool to solve stoichiometry problems. Use an ice table to solve any stoichiometry problem. Ice tables are composed of the concentrations of molecules in. Ice Table With Coefficients.
From www.youtube.com
14.5 ICE Table Examples and Approximations YouTube Ice Table With Coefficients An useful tool in solving equilibrium problems is an ice chart. An ice table is a simple organizational tool to solve stoichiometry problems. Use an ice table to solve any stoichiometry problem. I stands for the initial concentrations (or pressures). Ice tables are composed of the concentrations of molecules in solution in different stages of a reaction, and are usually. Ice Table With Coefficients.
From www.slideshare.net
Ap chem unit 13 presentation Ice Table With Coefficients An ice table (for initial concentration, change in concentration, and equilibrium concentration) is a good methodology for calculating an equilibrium constant from. Ice tables are composed of the concentrations of molecules in solution in different stages of a reaction, and are usually used to calculate the. What are ice or rice tables and how do you use them in equilibrium?. Ice Table With Coefficients.
From www.slideserve.com
PPT Ka, Kb PowerPoint Presentation, free download ID3060507 Ice Table With Coefficients An useful tool in solving equilibrium problems is an ice chart. Ice tables are composed of the concentrations of molecules in solution in different stages of a reaction, and are usually used to calculate the. An ice table (for initial concentration, change in concentration, and equilibrium concentration) is a good methodology for calculating an equilibrium constant from. An ice table. Ice Table With Coefficients.
From www.youtube.com
Chemical Equilibrium Constant K Ice Tables Kp and Kc Membership Ice Table With Coefficients An useful tool in solving equilibrium problems is an ice chart. An ice table (for initial concentration, change in concentration, and equilibrium concentration) is a good methodology for calculating an equilibrium constant from. Ice tables are composed of the concentrations of molecules in solution in different stages of a reaction, and are usually used to calculate the k, or equilibrium. Ice Table With Coefficients.
From solvedlib.com
Chemistry Lab3) Fill in the following ICE table for t… SolvedLib Ice Table With Coefficients Ice tables are composed of the concentrations of molecules in solution in different stages of a reaction, and are usually used to calculate the k, or equilibrium constant expression, of a. An ice table is a simple organizational tool to solve stoichiometry problems. Ice tables are composed of the concentrations of molecules in solution in different stages of a reaction,. Ice Table With Coefficients.
From general.chemistrysteps.com
pH of a Weak Acid Chemistry Steps Ice Table With Coefficients Ice tables are composed of the concentrations of molecules in solution in different stages of a reaction, and are usually used to calculate the. Ice tables are composed of the concentrations of molecules in solution in different stages of a reaction, and are usually used to calculate the k, or equilibrium constant expression, of a. Making an ice chart an. Ice Table With Coefficients.
From www.conquerhsc.com
HSC Chemistry Module 5 Inquiry Question 3 Ice Table With Coefficients Use an ice table to solve any stoichiometry problem. An useful tool in solving equilibrium problems is an ice chart. I stands for the initial concentrations (or pressures). An ice table (acronym for initial concentration, change in concentration, and equilibrium concentration) is an useful methodology for calculating an equilibrium constant from. An ice table (for initial concentration, change in concentration,. Ice Table With Coefficients.
From trenahaziim.blogspot.com
13+ Equilibrium Calculations With Ice Tables Worksheet TrenaHaziim Ice Table With Coefficients Video solving ice tables demonstrated. An ice table (for initial concentration, change in concentration, and equilibrium concentration) is a good methodology for calculating an equilibrium constant from. An ice table is a simple organizational tool to solve stoichiometry problems. Ice tables are composed of the concentrations of molecules in solution in different stages of a reaction, and are usually used. Ice Table With Coefficients.
From www.youtube.com
Equilibrium 5.4 ICE Tables YouTube Ice Table With Coefficients An ice table is a simple organizational tool to solve stoichiometry problems. What are ice or rice tables and how do you use them in equilibrium? I stands for the initial concentrations (or pressures). An useful tool in solving equilibrium problems is an ice chart. An ice table (acronym for initial concentration, change in concentration, and equilibrium concentration) is an. Ice Table With Coefficients.
From www.studocu.com
Applying ICE Tables Module 5 Calculating the Equilibrium Constant Ice Table With Coefficients Use an ice table to solve any stoichiometry problem. Making an ice chart an aid in solving equilibrium problems. An useful tool in solving equilibrium problems is an ice chart. I stands for the initial concentrations (or pressures). What are ice or rice tables and how do you use them in equilibrium? Ice tables are composed of the concentrations of. Ice Table With Coefficients.
From www.youtube.com
InitialChangeEquilibrium (ICE) Tables YouTube Ice Table With Coefficients An useful tool in solving equilibrium problems is an ice chart. Ice tables are composed of the concentrations of molecules in solution in different stages of a reaction, and are usually used to calculate the. Making an ice chart an aid in solving equilibrium problems. Use an ice table to solve any stoichiometry problem. Ice tables are composed of the. Ice Table With Coefficients.