From www.chegg.com
Solved A typical laboratory centrifuge rotates at 3600rpm. Typical Laboratory Centrifuge Rotates Test tubes have to be. A typical laboratory centrifuge rotates at 4000 rpm. Testtubes have to be placed into a centrifuge very carefully because ofthe very. Test tubes have to be placed into a centrifuge very carefully because of the very. Test tubes have to be placed into a centrifuge very carefully because of the very large accelerations. A typical. Typical Laboratory Centrifuge Rotates.
From www.chegg.com
Solved K) 11 of 12> A typical laboratory centrifuge rotates Typical Laboratory Centrifuge Rotates Rotational kinematics converting between linear & rotational. A typical laboratory centrifuge rotates at 4000 rpm. A typical laboratory centrifuge rotates at 3800. Test tubes have to be. A typical laboratory centrifuge rotates at 4000 rpm. There are mainly three types of rotors: What is the acceleration at the. Test tubes have to be placed into a centrifuge very carefully because. Typical Laboratory Centrifuge Rotates.
From www.coursehero.com
[Solved] A typical laboratory centrifuge rotates at 4400 rpm . Test Typical Laboratory Centrifuge Rotates Test tubes have to be placed into a centrifuge very carefully because of the. There are mainly three types of rotors: Test tubes have to be placed into a centrifuge very carefully because of the. These rotors hold the tubes at an angle of 14 to 40° to the vertical. Test tubes have to be placed into a centrifuge very. Typical Laboratory Centrifuge Rotates.
From www.wmedicalsystems.com
Centrifuges W Medical Systems Shop Typical Laboratory Centrifuge Rotates These rotors hold the tubes at an angle of 14 to 40° to the vertical. A typical laboratory centrifuge rotates at 4000 rpm. Testtubes have to be placed into a centrifuge very carefully because ofthe very. A typical laboratory centrifuge rotates at 3800. Test tubes have to be placed into a centrifuge very carefully because of the. Test tubes have. Typical Laboratory Centrifuge Rotates.
From www.dreamstime.com
Laboratory Centrifuge. Scientific and Research Equipment Stock Photo Typical Laboratory Centrifuge Rotates Test tubes have to be placed into a centrifuge very carefully because of the. What is the acceleration at the. A typical laboratory centrifuge rotates at 4000 rpm. These rotors hold the tubes at an angle of 14 to 40° to the vertical. Test tubes have to be placed into a centrifuge very carefully because of the. Rotational kinematics converting. Typical Laboratory Centrifuge Rotates.
From www.iqsdirectory.com
Centrifuges Types, Classifications, Applications, and Benefits Typical Laboratory Centrifuge Rotates A typical laboratory centrifuge rotates at 4000 rpm. There are mainly three types of rotors: These rotors hold the tubes at an angle of 14 to 40° to the vertical. What is the acceleration at the. Testtubes have to be placed into a centrifuge very carefully because ofthe very. A typical laboratory centrifuge rotates at 4000 rpm. Test tubes have. Typical Laboratory Centrifuge Rotates.
From www.numerade.com
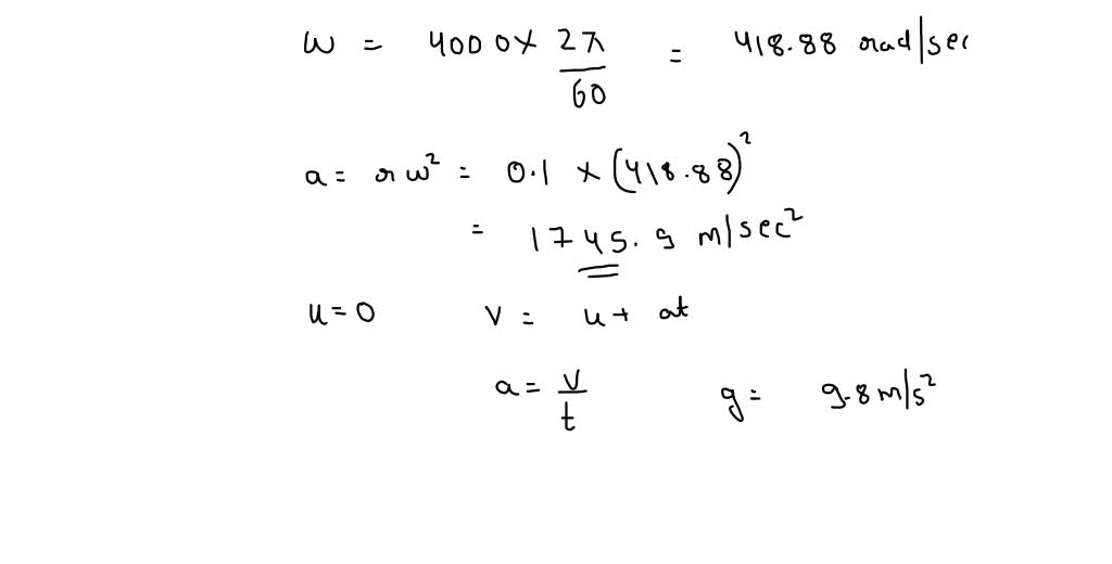
⏩SOLVEDA typical laboratory centrifuge rotates at 4000 rpm. Test Typical Laboratory Centrifuge Rotates These rotors hold the tubes at an angle of 14 to 40° to the vertical. Test tubes have to be placed into a centrifuge very carefully because of the very. A typical laboratory centrifuge rotates at 4000 rpm. What is the acceleration at the. A typical laboratory centrifuge rotates at 4000 rpm. A typical laboratory centrifuge rotates at 4000 rpm.. Typical Laboratory Centrifuge Rotates.
From www.chegg.com
Solved A typical laboratory centrifuge rotates at 4000 Typical Laboratory Centrifuge Rotates A typical laboratory centrifuge rotates at 4000 rpm. A typical laboratory centrifuge rotates at 4000 rpm. Test tubes have to be placed into a centrifuge very carefully because of the. Testtubes have to be placed into a centrifuge very carefully because ofthe very. A typical laboratory centrifuge rotates at 4000 rpm. Test tubes have to be placed into a centrifuge. Typical Laboratory Centrifuge Rotates.
From www.chegg.com
Solved A typical laboratory centrifuge rotates at 3500 rpm. Typical Laboratory Centrifuge Rotates What is the acceleration at the. Test tubes have to be placed into a centrifuge very carefully because of the. A typical laboratory centrifuge rotates at 4000 rpm. A typical laboratory centrifuge rotates at 4000 rpm. Test tubes have to be. A typical laboratory centrifuge rotates at 4000 rpm. A typical laboratory centrifuge rotates at 3800. A typical laboratory centrifuge. Typical Laboratory Centrifuge Rotates.
From microbenotes.com
Centrifuge Principle, Parts, Types, Uses, Examples Typical Laboratory Centrifuge Rotates Test tubes have to be. Test tubes have to be placed into a centrifuge very carefully because of the. Testtubes have to be placed into a centrifuge very carefully because ofthe very. A typical laboratory centrifuge rotates at 3800. What is the acceleration at the. A typical laboratory centrifuge rotates at 4000 rpm. Test tubes have to be placed into. Typical Laboratory Centrifuge Rotates.
From bloodbankdepot.com
Compact Lab Centrifuge Hermle Z206 bloodbankdepot Typical Laboratory Centrifuge Rotates What is the acceleration at the. Test tubes have to be. Rotational kinematics converting between linear & rotational. Testtubes have to be placed into a centrifuge very carefully because ofthe very. Test tubes have to be placed into a centrifuge very carefully because of the very large accelerations. A typical laboratory centrifuge rotates at 4000 rpm. A typical laboratory centrifuge. Typical Laboratory Centrifuge Rotates.
From www.chegg.com
Solved A typical laboratory centrifuge rotates at 3700 rpm. Typical Laboratory Centrifuge Rotates There are mainly three types of rotors: Test tubes have to be placed into a centrifuge very carefully because of the. Test tubes have to be. A typical laboratory centrifuge rotates at 4000 rpm. Rotational kinematics converting between linear & rotational. A typical laboratory centrifuge rotates at 4000 rpm. Test tubes have to be placed into a centrifuge very carefully. Typical Laboratory Centrifuge Rotates.
From www.numerade.com
SOLVED Review Constants A typical laboratory centrifuge rotates at Typical Laboratory Centrifuge Rotates Test tubes have to be placed into a centrifuge very carefully because of the. Test tubes have to be placed into a centrifuge very carefully because of the very large accelerations. Test tubes have to be placed into a centrifuge very carefully because of the. What is the acceleration at the. Testtubes have to be placed into a centrifuge very. Typical Laboratory Centrifuge Rotates.
From www.chegg.com
Solved MA Review Constants A typical laboratory centrifuge Typical Laboratory Centrifuge Rotates Test tubes have to be placed into a centrifuge very carefully because of the very. A typical laboratory centrifuge rotates at 4000 rpm. A typical laboratory centrifuge rotates at 4000 rpm. Test tubes have to be placed into a centrifuge very carefully because of the very large accelerations. A typical laboratory centrifuge rotates at 3800. Rotational kinematics converting between linear. Typical Laboratory Centrifuge Rotates.
From www.iqsdirectory.com
Laboratory Centrifuge Manufacturers IQS Directory Typical Laboratory Centrifuge Rotates What is the acceleration at the. Rotational kinematics converting between linear & rotational. Test tubes have to be placed into a centrifuge very carefully because of the very. Test tubes have to be placed into a centrifuge very carefully because of the. Test tubes have to be placed into a centrifuge very carefully because of the. These rotors hold the. Typical Laboratory Centrifuge Rotates.
From studyx.ai
Review I Consta A typical laboratory StudyX Typical Laboratory Centrifuge Rotates Test tubes have to be placed into a centrifuge very carefully because of the very large accelerations. Test tubes have to be placed into a centrifuge very carefully because of the. A typical laboratory centrifuge rotates at 4000 rpm. Test tubes have to be placed into a centrifuge very carefully because of the very. A typical laboratory centrifuge rotates at. Typical Laboratory Centrifuge Rotates.
From www.bartleby.com
Answered A typical laboratory centrifuge rotates… bartleby Typical Laboratory Centrifuge Rotates A typical laboratory centrifuge rotates at 4000 rpm. Test tubes have to be placed into a centrifuge very carefully because of the. Test tubes have to be. A typical laboratory centrifuge rotates at 4000 rpm. A typical laboratory centrifuge rotates at 4000 rpm. Rotational kinematics converting between linear & rotational. Test tubes have to be placed into a centrifuge very. Typical Laboratory Centrifuge Rotates.
From www.scimetricsinc.com
Categories Centrifuges Universal Benchtop Centrifuges LC8 Typical Laboratory Centrifuge Rotates Test tubes have to be. Test tubes have to be placed into a centrifuge very carefully because of the. A typical laboratory centrifuge rotates at 4000 rpm. Test tubes have to be placed into a centrifuge very carefully because of the very. Test tubes have to be placed into a centrifuge very carefully because of the. A typical laboratory centrifuge. Typical Laboratory Centrifuge Rotates.
From microbeonline.com
Centrifuge Parts, Types, and Handling Microbe Online Typical Laboratory Centrifuge Rotates A typical laboratory centrifuge rotates at 4000 rpm. A typical laboratory centrifuge rotates at 4000 rpm. A typical laboratory centrifuge rotates at 4000 rpm. Test tubes have to be placed into a centrifuge very carefully because of the. Test tubes have to be placed into a centrifuge very carefully because of the. A typical laboratory centrifuge rotates at 3800. There. Typical Laboratory Centrifuge Rotates.
From www.numerade.com
SOLVED A typical laboratory centrifuge rotates at 4000 rpm. Test tubes Typical Laboratory Centrifuge Rotates Test tubes have to be. A typical laboratory centrifuge rotates at 4000 rpm. These rotors hold the tubes at an angle of 14 to 40° to the vertical. Test tubes have to be placed into a centrifuge very carefully because of the. Rotational kinematics converting between linear & rotational. A typical laboratory centrifuge rotates at 4000 rpm. What is the. Typical Laboratory Centrifuge Rotates.
From www.chegg.com
Solved A typical laboratory centrifuge rotates at 4300 rpm. Typical Laboratory Centrifuge Rotates A typical laboratory centrifuge rotates at 4000 rpm. A typical laboratory centrifuge rotates at 4000 rpm. Test tubes have to be. A typical laboratory centrifuge rotates at 4000 rpm. There are mainly three types of rotors: A typical laboratory centrifuge rotates at 4000 rpm. What is the acceleration at the. Test tubes have to be placed into a centrifuge very. Typical Laboratory Centrifuge Rotates.
From www.chegg.com
Solved A typical laboratory centrifuge rotates at 3000rpm. Typical Laboratory Centrifuge Rotates These rotors hold the tubes at an angle of 14 to 40° to the vertical. A typical laboratory centrifuge rotates at 4000 rpm. Test tubes have to be. Test tubes have to be placed into a centrifuge very carefully because of the. What is the acceleration at the. A typical laboratory centrifuge rotates at 4000 rpm. Test tubes have to. Typical Laboratory Centrifuge Rotates.
From www.chegg.com
Solved A typical laboratory centrifuge rotates at 3100 rpm. Typical Laboratory Centrifuge Rotates There are mainly three types of rotors: A typical laboratory centrifuge rotates at 4000 rpm. Test tubes have to be. A typical laboratory centrifuge rotates at 4000 rpm. Test tubes have to be placed into a centrifuge very carefully because of the very large accelerations. Testtubes have to be placed into a centrifuge very carefully because ofthe very. Test tubes. Typical Laboratory Centrifuge Rotates.
From microbenotes.com
Centrifuge Principle, Parts, Types, Uses, Examples Typical Laboratory Centrifuge Rotates There are mainly three types of rotors: Test tubes have to be placed into a centrifuge very carefully because of the. A typical laboratory centrifuge rotates at 3800. A typical laboratory centrifuge rotates at 4000 rpm. A typical laboratory centrifuge rotates at 4000 rpm. Test tubes have to be placed into a centrifuge very carefully because of the very. A. Typical Laboratory Centrifuge Rotates.
From microbenotes.com
Centrifuge Principle, Parts, Types, Uses, Examples Typical Laboratory Centrifuge Rotates A typical laboratory centrifuge rotates at 4000 rpm. These rotors hold the tubes at an angle of 14 to 40° to the vertical. Test tubes have to be placed into a centrifuge very carefully because of the very. Test tubes have to be placed into a centrifuge very carefully because of the. Rotational kinematics converting between linear & rotational. A. Typical Laboratory Centrifuge Rotates.
From www.alamy.com
Medical laboratory centrifuge Stock Photo Alamy Typical Laboratory Centrifuge Rotates A typical laboratory centrifuge rotates at 4000 rpm. Test tubes have to be placed into a centrifuge very carefully because of the very. Test tubes have to be placed into a centrifuge very carefully because of the. Test tubes have to be placed into a centrifuge very carefully because of the very large accelerations. A typical laboratory centrifuge rotates at. Typical Laboratory Centrifuge Rotates.
From www.chegg.com
Solved A typical laboratory centrifuge rotates at Typical Laboratory Centrifuge Rotates Test tubes have to be placed into a centrifuge very carefully because of the. A typical laboratory centrifuge rotates at 4000 rpm. There are mainly three types of rotors: Test tubes have to be placed into a centrifuge very carefully because of the very large accelerations. Test tubes have to be placed into a centrifuge very carefully because of the.. Typical Laboratory Centrifuge Rotates.
From commons.wikimedia.org
FileCentrifuge with samples rotating slowly.jpg Wikimedia Commons Typical Laboratory Centrifuge Rotates A typical laboratory centrifuge rotates at 4000 rpm. A typical laboratory centrifuge rotates at 4000 rpm. What is the acceleration at the. Rotational kinematics converting between linear & rotational. A typical laboratory centrifuge rotates at 4000 rpm. Test tubes have to be placed into a centrifuge very carefully because of the. Test tubes have to be placed into a centrifuge. Typical Laboratory Centrifuge Rotates.
From www.iqsdirectory.com
Centrifuges Types, Classifications, Applications, and Benefits Typical Laboratory Centrifuge Rotates These rotors hold the tubes at an angle of 14 to 40° to the vertical. Test tubes have to be placed into a centrifuge very carefully because of the very. A typical laboratory centrifuge rotates at 4000 rpm. Test tubes have to be placed into a centrifuge very carefully because of the very large accelerations. There are mainly three types. Typical Laboratory Centrifuge Rotates.
From www.chegg.com
Solved A Review Constants A typical laboratory centrifuge Typical Laboratory Centrifuge Rotates Test tubes have to be placed into a centrifuge very carefully because of the. There are mainly three types of rotors: These rotors hold the tubes at an angle of 14 to 40° to the vertical. A typical laboratory centrifuge rotates at 4000 rpm. Test tubes have to be. Test tubes have to be placed into a centrifuge very carefully. Typical Laboratory Centrifuge Rotates.
From labneedssolution.co.ug
The Ultimate Guide to Centrifuges Laboratory Needs Solutions Ltd Typical Laboratory Centrifuge Rotates A typical laboratory centrifuge rotates at 4000 rpm. Test tubes have to be placed into a centrifuge very carefully because of the. A typical laboratory centrifuge rotates at 4000 rpm. Test tubes have to be placed into a centrifuge very carefully because of the very. A typical laboratory centrifuge rotates at 4000 rpm. These rotors hold the tubes at an. Typical Laboratory Centrifuge Rotates.
From www.numerade.com
SOLVED A typical laboratory centrifuge rotates at 4000 rpm. Test tubes Typical Laboratory Centrifuge Rotates A typical laboratory centrifuge rotates at 4000 rpm. Rotational kinematics converting between linear & rotational. Testtubes have to be placed into a centrifuge very carefully because ofthe very. A typical laboratory centrifuge rotates at 3800. Test tubes have to be placed into a centrifuge very carefully because of the. Test tubes have to be placed into a centrifuge very carefully. Typical Laboratory Centrifuge Rotates.
From scienceinfo.com
Centrifuge Principle, Types, Application, Limitation Typical Laboratory Centrifuge Rotates A typical laboratory centrifuge rotates at 4000 rpm. These rotors hold the tubes at an angle of 14 to 40° to the vertical. Test tubes have to be placed into a centrifuge very carefully because of the. Test tubes have to be. Test tubes have to be placed into a centrifuge very carefully because of the very. A typical laboratory. Typical Laboratory Centrifuge Rotates.
From microbenotes.com
Centrifuge Principle, Parts, Types, Uses, Examples Typical Laboratory Centrifuge Rotates Test tubes have to be placed into a centrifuge very carefully because of the very. Test tubes have to be placed into a centrifuge very carefully because of the very large accelerations. Test tubes have to be placed into a centrifuge very carefully because of the. Test tubes have to be. Rotational kinematics converting between linear & rotational. These rotors. Typical Laboratory Centrifuge Rotates.
From universe84a.com
Centrifuge Introduction, Principle, Types, Handling Procedure, Uses and Typical Laboratory Centrifuge Rotates Test tubes have to be placed into a centrifuge very carefully because of the. Test tubes have to be placed into a centrifuge very carefully because of the very. Testtubes have to be placed into a centrifuge very carefully because ofthe very. These rotors hold the tubes at an angle of 14 to 40° to the vertical. A typical laboratory. Typical Laboratory Centrifuge Rotates.