What Does Letter X Represent Earth Science . Letters a through f represent. Geology, oceanography, and meteorology represent a large part of earth science, while astronomy represents science beyond earth. When physicist wilhelm röntgen discovered a new form of radiation in. Letter x indicates the top of the underground zone that is saturated with water. Base your answers to questions 1 through 3 on the diagram below, which shows a model of the water vapor cycle. The letter x stands for the unknown or the mysterious. Studies the atmosphere and the processes that produce weather and. If the surface soil is saturated and precipitation increases, there will. However, there are still many smaller branches of science that deal with the earth or interact greatly with earth sciences. 25 rows symbols representing physical quantities, units, mathematical operations and relationships, astronomical bodies,. Study the compositions and movements of seawater. The symbol for earth shows a globe bisected by meridian lines into four quarters, thought to represent the four main points of a compass, north, south, east and west.
from brainly.com
25 rows symbols representing physical quantities, units, mathematical operations and relationships, astronomical bodies,. The letter x stands for the unknown or the mysterious. Letter x indicates the top of the underground zone that is saturated with water. Geology, oceanography, and meteorology represent a large part of earth science, while astronomy represents science beyond earth. When physicist wilhelm röntgen discovered a new form of radiation in. If the surface soil is saturated and precipitation increases, there will. The symbol for earth shows a globe bisected by meridian lines into four quarters, thought to represent the four main points of a compass, north, south, east and west. Letters a through f represent. Base your answers to questions 1 through 3 on the diagram below, which shows a model of the water vapor cycle. However, there are still many smaller branches of science that deal with the earth or interact greatly with earth sciences.
A ray diagram is shown. What does the letter X represent? angle of
What Does Letter X Represent Earth Science However, there are still many smaller branches of science that deal with the earth or interact greatly with earth sciences. However, there are still many smaller branches of science that deal with the earth or interact greatly with earth sciences. Base your answers to questions 1 through 3 on the diagram below, which shows a model of the water vapor cycle. Study the compositions and movements of seawater. Geology, oceanography, and meteorology represent a large part of earth science, while astronomy represents science beyond earth. If the surface soil is saturated and precipitation increases, there will. Letters a through f represent. Studies the atmosphere and the processes that produce weather and. The symbol for earth shows a globe bisected by meridian lines into four quarters, thought to represent the four main points of a compass, north, south, east and west. The letter x stands for the unknown or the mysterious. When physicist wilhelm röntgen discovered a new form of radiation in. 25 rows symbols representing physical quantities, units, mathematical operations and relationships, astronomical bodies,. Letter x indicates the top of the underground zone that is saturated with water.
From littlededo.blogspot.com
Animals That Start With The Letter X Write On Teaches Little iPad What Does Letter X Represent Earth Science If the surface soil is saturated and precipitation increases, there will. Letter x indicates the top of the underground zone that is saturated with water. Letters a through f represent. The letter x stands for the unknown or the mysterious. However, there are still many smaller branches of science that deal with the earth or interact greatly with earth sciences.. What Does Letter X Represent Earth Science.
From storage.googleapis.com
What Does Letter X Represent The Water Cycle What Does Letter X Represent Earth Science However, there are still many smaller branches of science that deal with the earth or interact greatly with earth sciences. Base your answers to questions 1 through 3 on the diagram below, which shows a model of the water vapor cycle. When physicist wilhelm röntgen discovered a new form of radiation in. Study the compositions and movements of seawater. Studies. What Does Letter X Represent Earth Science.
From printableshirubichanaf.z21.web.core.windows.net
Y Words In Science What Does Letter X Represent Earth Science The letter x stands for the unknown or the mysterious. Letters a through f represent. Base your answers to questions 1 through 3 on the diagram below, which shows a model of the water vapor cycle. However, there are still many smaller branches of science that deal with the earth or interact greatly with earth sciences. Geology, oceanography, and meteorology. What Does Letter X Represent Earth Science.
From sheela23wmaterialdb.z21.web.core.windows.net
Label The Earth's Layers What Does Letter X Represent Earth Science Letters a through f represent. 25 rows symbols representing physical quantities, units, mathematical operations and relationships, astronomical bodies,. When physicist wilhelm röntgen discovered a new form of radiation in. The letter x stands for the unknown or the mysterious. The symbol for earth shows a globe bisected by meridian lines into four quarters, thought to represent the four main points. What Does Letter X Represent Earth Science.
From www.chegg.com
Solved i) What does the letter X represent? ii) What happens What Does Letter X Represent Earth Science Geology, oceanography, and meteorology represent a large part of earth science, while astronomy represents science beyond earth. Letters a through f represent. The symbol for earth shows a globe bisected by meridian lines into four quarters, thought to represent the four main points of a compass, north, south, east and west. If the surface soil is saturated and precipitation increases,. What Does Letter X Represent Earth Science.
From 7esl.com
4 Letter Words with X (63 Words in English) • 7ESL What Does Letter X Represent Earth Science Letter x indicates the top of the underground zone that is saturated with water. Letters a through f represent. Studies the atmosphere and the processes that produce weather and. Base your answers to questions 1 through 3 on the diagram below, which shows a model of the water vapor cycle. Study the compositions and movements of seawater. 25 rows symbols. What Does Letter X Represent Earth Science.
From brainly.com
A ray diagram is shown. What does the letter X represent? angle of What Does Letter X Represent Earth Science The symbol for earth shows a globe bisected by meridian lines into four quarters, thought to represent the four main points of a compass, north, south, east and west. Letter x indicates the top of the underground zone that is saturated with water. Base your answers to questions 1 through 3 on the diagram below, which shows a model of. What Does Letter X Represent Earth Science.
From worksheetspack.com
Find the Letter X Worksheet, Alphabet X Hunt Activity Free Printable What Does Letter X Represent Earth Science If the surface soil is saturated and precipitation increases, there will. Geology, oceanography, and meteorology represent a large part of earth science, while astronomy represents science beyond earth. When physicist wilhelm röntgen discovered a new form of radiation in. Studies the atmosphere and the processes that produce weather and. Base your answers to questions 1 through 3 on the diagram. What Does Letter X Represent Earth Science.
From www.pinterest.es
Image result for spheres of the earth Earth's spheres, Earth poster What Does Letter X Represent Earth Science Studies the atmosphere and the processes that produce weather and. Letters a through f represent. Letter x indicates the top of the underground zone that is saturated with water. The symbol for earth shows a globe bisected by meridian lines into four quarters, thought to represent the four main points of a compass, north, south, east and west. 25 rows. What Does Letter X Represent Earth Science.
From hxekxwmds.blob.core.windows.net
What Does An X Mean In Canvas Grades at Barbara Tavares blog What Does Letter X Represent Earth Science Letter x indicates the top of the underground zone that is saturated with water. Geology, oceanography, and meteorology represent a large part of earth science, while astronomy represents science beyond earth. 25 rows symbols representing physical quantities, units, mathematical operations and relationships, astronomical bodies,. Letters a through f represent. The symbol for earth shows a globe bisected by meridian lines. What Does Letter X Represent Earth Science.
From fyozihaek.blob.core.windows.net
What Does It Mean To Sign With An X at Joseph Sons blog What Does Letter X Represent Earth Science 25 rows symbols representing physical quantities, units, mathematical operations and relationships, astronomical bodies,. The letter x stands for the unknown or the mysterious. Letter x indicates the top of the underground zone that is saturated with water. Study the compositions and movements of seawater. When physicist wilhelm röntgen discovered a new form of radiation in. Base your answers to questions. What Does Letter X Represent Earth Science.
From masterbundles.com
set of initial letter x logo vector design MasterBundles What Does Letter X Represent Earth Science The symbol for earth shows a globe bisected by meridian lines into four quarters, thought to represent the four main points of a compass, north, south, east and west. The letter x stands for the unknown or the mysterious. However, there are still many smaller branches of science that deal with the earth or interact greatly with earth sciences. Base. What Does Letter X Represent Earth Science.
From storage.googleapis.com
What Does Letter X Represent The Water Cycle What Does Letter X Represent Earth Science When physicist wilhelm röntgen discovered a new form of radiation in. Letters a through f represent. 25 rows symbols representing physical quantities, units, mathematical operations and relationships, astronomical bodies,. The symbol for earth shows a globe bisected by meridian lines into four quarters, thought to represent the four main points of a compass, north, south, east and west. Base your. What Does Letter X Represent Earth Science.
From www.doubtnut.com
In the given figure what does the letter X represent What Does Letter X Represent Earth Science However, there are still many smaller branches of science that deal with the earth or interact greatly with earth sciences. Base your answers to questions 1 through 3 on the diagram below, which shows a model of the water vapor cycle. 25 rows symbols representing physical quantities, units, mathematical operations and relationships, astronomical bodies,. The letter x stands for the. What Does Letter X Represent Earth Science.
From www.doubtnut.com
In the given figure what does the letter X represent What Does Letter X Represent Earth Science Study the compositions and movements of seawater. If the surface soil is saturated and precipitation increases, there will. The letter x stands for the unknown or the mysterious. The symbol for earth shows a globe bisected by meridian lines into four quarters, thought to represent the four main points of a compass, north, south, east and west. 25 rows symbols. What Does Letter X Represent Earth Science.
From exotikyfa.blob.core.windows.net
What Does Red Represent In Literature at Paul Hickman blog What Does Letter X Represent Earth Science Study the compositions and movements of seawater. However, there are still many smaller branches of science that deal with the earth or interact greatly with earth sciences. The symbol for earth shows a globe bisected by meridian lines into four quarters, thought to represent the four main points of a compass, north, south, east and west. Letters a through f. What Does Letter X Represent Earth Science.
From gioidlbdf.blob.core.windows.net
What Does X Mean In Between Two Words at Dorian Garraway blog What Does Letter X Represent Earth Science The symbol for earth shows a globe bisected by meridian lines into four quarters, thought to represent the four main points of a compass, north, south, east and west. Base your answers to questions 1 through 3 on the diagram below, which shows a model of the water vapor cycle. Geology, oceanography, and meteorology represent a large part of earth. What Does Letter X Represent Earth Science.
From www.internetgeography.net
What is the structure of the Earth? Geography What Does Letter X Represent Earth Science The letter x stands for the unknown or the mysterious. Study the compositions and movements of seawater. Letter x indicates the top of the underground zone that is saturated with water. If the surface soil is saturated and precipitation increases, there will. 25 rows symbols representing physical quantities, units, mathematical operations and relationships, astronomical bodies,. Geology, oceanography, and meteorology represent. What Does Letter X Represent Earth Science.
From 7esl.com
3 Letter Words with X (37 Words in English) • 7ESL What Does Letter X Represent Earth Science Letter x indicates the top of the underground zone that is saturated with water. The symbol for earth shows a globe bisected by meridian lines into four quarters, thought to represent the four main points of a compass, north, south, east and west. 25 rows symbols representing physical quantities, units, mathematical operations and relationships, astronomical bodies,. Base your answers to. What Does Letter X Represent Earth Science.
From mrswordsmith.com
The letter X What Does Letter X Represent Earth Science The symbol for earth shows a globe bisected by meridian lines into four quarters, thought to represent the four main points of a compass, north, south, east and west. The letter x stands for the unknown or the mysterious. When physicist wilhelm röntgen discovered a new form of radiation in. Studies the atmosphere and the processes that produce weather and.. What Does Letter X Represent Earth Science.
From loveenglish.org
25 Interesting Things that Start with X in English Love English What Does Letter X Represent Earth Science However, there are still many smaller branches of science that deal with the earth or interact greatly with earth sciences. The letter x stands for the unknown or the mysterious. The symbol for earth shows a globe bisected by meridian lines into four quarters, thought to represent the four main points of a compass, north, south, east and west. Base. What Does Letter X Represent Earth Science.
From www.pinterest.nz
The symbol or letter X can mean a number of things when it shows up in What Does Letter X Represent Earth Science When physicist wilhelm röntgen discovered a new form of radiation in. Geology, oceanography, and meteorology represent a large part of earth science, while astronomy represents science beyond earth. 25 rows symbols representing physical quantities, units, mathematical operations and relationships, astronomical bodies,. The symbol for earth shows a globe bisected by meridian lines into four quarters, thought to represent the four. What Does Letter X Represent Earth Science.
From ar.inspiredpencil.com
Objects That Start With The Letter X What Does Letter X Represent Earth Science 25 rows symbols representing physical quantities, units, mathematical operations and relationships, astronomical bodies,. Studies the atmosphere and the processes that produce weather and. The letter x stands for the unknown or the mysterious. The symbol for earth shows a globe bisected by meridian lines into four quarters, thought to represent the four main points of a compass, north, south, east. What Does Letter X Represent Earth Science.
From www.chegg.com
Solved Which of the following graphs represent y as a What Does Letter X Represent Earth Science Study the compositions and movements of seawater. Geology, oceanography, and meteorology represent a large part of earth science, while astronomy represents science beyond earth. Letter x indicates the top of the underground zone that is saturated with water. Base your answers to questions 1 through 3 on the diagram below, which shows a model of the water vapor cycle. 25. What Does Letter X Represent Earth Science.
From superstarworksheets.com
Letter X Worksheets Superstar Worksheets What Does Letter X Represent Earth Science Letters a through f represent. Base your answers to questions 1 through 3 on the diagram below, which shows a model of the water vapor cycle. Studies the atmosphere and the processes that produce weather and. If the surface soil is saturated and precipitation increases, there will. Study the compositions and movements of seawater. 25 rows symbols representing physical quantities,. What Does Letter X Represent Earth Science.
From www.numerade.com
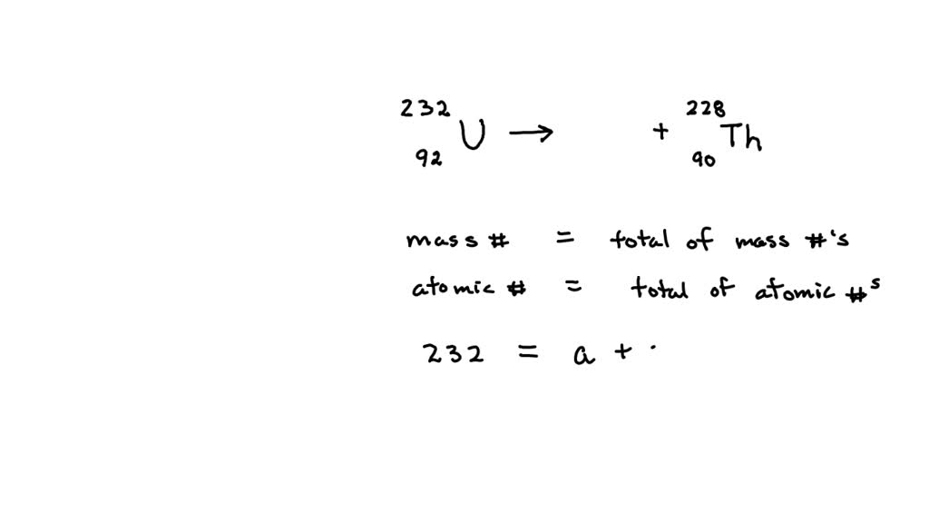
SOLVED '1) In the nuclear equation below, what does the letter X What Does Letter X Represent Earth Science Study the compositions and movements of seawater. Letters a through f represent. Letter x indicates the top of the underground zone that is saturated with water. When physicist wilhelm röntgen discovered a new form of radiation in. If the surface soil is saturated and precipitation increases, there will. Geology, oceanography, and meteorology represent a large part of earth science, while. What Does Letter X Represent Earth Science.
From answerfullpackage.z13.web.core.windows.net
Objects Start With Letter X What Does Letter X Represent Earth Science The symbol for earth shows a globe bisected by meridian lines into four quarters, thought to represent the four main points of a compass, north, south, east and west. 25 rows symbols representing physical quantities, units, mathematical operations and relationships, astronomical bodies,. Letter x indicates the top of the underground zone that is saturated with water. Studies the atmosphere and. What Does Letter X Represent Earth Science.
From www.dailyarthub.com
Science Symbols Clip Art Set Daily Art Hub // Graphics, Alphabets & SVG What Does Letter X Represent Earth Science 25 rows symbols representing physical quantities, units, mathematical operations and relationships, astronomical bodies,. Letter x indicates the top of the underground zone that is saturated with water. When physicist wilhelm röntgen discovered a new form of radiation in. Letters a through f represent. The symbol for earth shows a globe bisected by meridian lines into four quarters, thought to represent. What Does Letter X Represent Earth Science.
From es.vecteezy.com
práctica de rastreo del alfabeto letra x. hoja de trabajo de práctica What Does Letter X Represent Earth Science Base your answers to questions 1 through 3 on the diagram below, which shows a model of the water vapor cycle. However, there are still many smaller branches of science that deal with the earth or interact greatly with earth sciences. If the surface soil is saturated and precipitation increases, there will. Geology, oceanography, and meteorology represent a large part. What Does Letter X Represent Earth Science.
From hxeqhnrce.blob.core.windows.net
What Does Triangle With X Mean On Clothes at Karl Daniels blog What Does Letter X Represent Earth Science If the surface soil is saturated and precipitation increases, there will. Letter x indicates the top of the underground zone that is saturated with water. The symbol for earth shows a globe bisected by meridian lines into four quarters, thought to represent the four main points of a compass, north, south, east and west. Studies the atmosphere and the processes. What Does Letter X Represent Earth Science.
From slideplayer.com
The diagram shows a coastal region in which the land slopes toward the What Does Letter X Represent Earth Science The symbol for earth shows a globe bisected by meridian lines into four quarters, thought to represent the four main points of a compass, north, south, east and west. Studies the atmosphere and the processes that produce weather and. Study the compositions and movements of seawater. 25 rows symbols representing physical quantities, units, mathematical operations and relationships, astronomical bodies,. Geology,. What Does Letter X Represent Earth Science.
From www.printabulls.com
Letter X Coloring Pages 15 FREE Pages Printabulls What Does Letter X Represent Earth Science However, there are still many smaller branches of science that deal with the earth or interact greatly with earth sciences. The letter x stands for the unknown or the mysterious. Base your answers to questions 1 through 3 on the diagram below, which shows a model of the water vapor cycle. The symbol for earth shows a globe bisected by. What Does Letter X Represent Earth Science.
From exowuvsrg.blob.core.windows.net
Geology Or Earth Science at Marian Dunning blog What Does Letter X Represent Earth Science Letters a through f represent. The symbol for earth shows a globe bisected by meridian lines into four quarters, thought to represent the four main points of a compass, north, south, east and west. Study the compositions and movements of seawater. If the surface soil is saturated and precipitation increases, there will. Letter x indicates the top of the underground. What Does Letter X Represent Earth Science.
From brainly.com
a ray diagram is shown. what does the letter x represent? angle of What Does Letter X Represent Earth Science Geology, oceanography, and meteorology represent a large part of earth science, while astronomy represents science beyond earth. The letter x stands for the unknown or the mysterious. Study the compositions and movements of seawater. However, there are still many smaller branches of science that deal with the earth or interact greatly with earth sciences. Base your answers to questions 1. What Does Letter X Represent Earth Science.
From www.dreamstime.com
Sign of the letter X stock vector. Illustration of element 130871908 What Does Letter X Represent Earth Science The letter x stands for the unknown or the mysterious. When physicist wilhelm röntgen discovered a new form of radiation in. Geology, oceanography, and meteorology represent a large part of earth science, while astronomy represents science beyond earth. 25 rows symbols representing physical quantities, units, mathematical operations and relationships, astronomical bodies,. The symbol for earth shows a globe bisected by. What Does Letter X Represent Earth Science.