Final Exam Ncsu . review how you studied for exams you did well on while you review the content, habits create better outcomes than just trying to. I keep working the practice exams until i can. Any advice on what to focus on or how to study effectively for this test. An exam schedule showing the date and hours of examination for each. The exam calendar is available at the link below:. final examinations for regularly scheduled classes have precedence over common final examinations. Dempster's calc 1 final exam! final exams are scheduled based on when the class is held regularly during the semester. while cheesy, i would just study the previous exams and the practice exams. — final examination schedule. looking for tips to nail prof.
from www.studypool.com
Dempster's calc 1 final exam! while cheesy, i would just study the previous exams and the practice exams. — final examination schedule. Any advice on what to focus on or how to study effectively for this test. The exam calendar is available at the link below:. looking for tips to nail prof. An exam schedule showing the date and hours of examination for each. I keep working the practice exams until i can. final examinations for regularly scheduled classes have precedence over common final examinations. final exams are scheduled based on when the class is held regularly during the semester.
SOLUTION Final exam introduction to human computer interaction Studypool
Final Exam Ncsu final exams are scheduled based on when the class is held regularly during the semester. Dempster's calc 1 final exam! — final examination schedule. I keep working the practice exams until i can. Any advice on what to focus on or how to study effectively for this test. The exam calendar is available at the link below:. An exam schedule showing the date and hours of examination for each. while cheesy, i would just study the previous exams and the practice exams. review how you studied for exams you did well on while you review the content, habits create better outcomes than just trying to. looking for tips to nail prof. final examinations for regularly scheduled classes have precedence over common final examinations. final exams are scheduled based on when the class is held regularly during the semester.
From education2research.com
The Ultimate NCSU Exam Calendar Guide Everything You Need to Know Final Exam Ncsu looking for tips to nail prof. final examinations for regularly scheduled classes have precedence over common final examinations. The exam calendar is available at the link below:. An exam schedule showing the date and hours of examination for each. Any advice on what to focus on or how to study effectively for this test. final exams are. Final Exam Ncsu.
From oneclass.com
BIO 183 Study Guide Comprehensive Final Exam Guide Vjing, Los Angele... OneClass Final Exam Ncsu The exam calendar is available at the link below:. review how you studied for exams you did well on while you review the content, habits create better outcomes than just trying to. final exams are scheduled based on when the class is held regularly during the semester. final examinations for regularly scheduled classes have precedence over common. Final Exam Ncsu.
From education2research.com
The Ultimate NCSU Exam Calendar Guide Everything You Need to Know Final Exam Ncsu An exam schedule showing the date and hours of examination for each. final examinations for regularly scheduled classes have precedence over common final examinations. — final examination schedule. looking for tips to nail prof. while cheesy, i would just study the previous exams and the practice exams. Any advice on what to focus on or how. Final Exam Ncsu.
From www.studypool.com
SOLUTION Final exam introduction to human computer interaction Studypool Final Exam Ncsu final examinations for regularly scheduled classes have precedence over common final examinations. Dempster's calc 1 final exam! review how you studied for exams you did well on while you review the content, habits create better outcomes than just trying to. Any advice on what to focus on or how to study effectively for this test. I keep working. Final Exam Ncsu.
From oneclass.com
CH 101 Final Exam Guide Comprehensive Notes for the exam ( 50 pages l... OneClass Final Exam Ncsu I keep working the practice exams until i can. review how you studied for exams you did well on while you review the content, habits create better outcomes than just trying to. Dempster's calc 1 final exam! while cheesy, i would just study the previous exams and the practice exams. — final examination schedule. Any advice on. Final Exam Ncsu.
From www.olliesgreatbakery.com
NCSU Final Exam Brownie Box Ollie's Great Bakery Final Exam Ncsu final examinations for regularly scheduled classes have precedence over common final examinations. looking for tips to nail prof. final exams are scheduled based on when the class is held regularly during the semester. — final examination schedule. I keep working the practice exams until i can. Any advice on what to focus on or how to. Final Exam Ncsu.
From education2research.com
The Ultimate NCSU Exam Calendar Guide Everything You Need to Know Final Exam Ncsu looking for tips to nail prof. Any advice on what to focus on or how to study effectively for this test. I keep working the practice exams until i can. — final examination schedule. final exams are scheduled based on when the class is held regularly during the semester. final examinations for regularly scheduled classes have. Final Exam Ncsu.
From classdbgregg.z21.web.core.windows.net
Accounting T Chart Cheat Sheet Final Exam Ncsu Dempster's calc 1 final exam! review how you studied for exams you did well on while you review the content, habits create better outcomes than just trying to. The exam calendar is available at the link below:. An exam schedule showing the date and hours of examination for each. — final examination schedule. final examinations for regularly. Final Exam Ncsu.
From www.pdffiller.com
Fillable Online mae ncsu PhD Final Oral Exam Announcement Form 92211 mae ncsu Fax Email Final Exam Ncsu — final examination schedule. Dempster's calc 1 final exam! The exam calendar is available at the link below:. looking for tips to nail prof. Any advice on what to focus on or how to study effectively for this test. review how you studied for exams you did well on while you review the content, habits create better. Final Exam Ncsu.
From ise.ncsu.edu
Final Exams NC State Spring 2017 Week 2 Final Exam Ncsu final exams are scheduled based on when the class is held regularly during the semester. I keep working the practice exams until i can. final examinations for regularly scheduled classes have precedence over common final examinations. — final examination schedule. Dempster's calc 1 final exam! Any advice on what to focus on or how to study effectively. Final Exam Ncsu.
From www.studocu.com
Bio 181 Exam 1 Study Guide Bio 181 Exam 1 Study Guide Know what positive and negative feedback Final Exam Ncsu looking for tips to nail prof. The exam calendar is available at the link below:. review how you studied for exams you did well on while you review the content, habits create better outcomes than just trying to. — final examination schedule. An exam schedule showing the date and hours of examination for each. final exams. Final Exam Ncsu.
From www.studocu.com
HCI past exam with answers Q1 a) You have been asked a software company to provide a training Final Exam Ncsu The exam calendar is available at the link below:. final exams are scheduled based on when the class is held regularly during the semester. I keep working the practice exams until i can. looking for tips to nail prof. Any advice on what to focus on or how to study effectively for this test. — final examination. Final Exam Ncsu.
From www.facebook.com
RED WOLFORAMA. Dr. Tara Harrison and her veterinary team recently headed to the Museum of Life Final Exam Ncsu final exams are scheduled based on when the class is held regularly during the semester. The exam calendar is available at the link below:. An exam schedule showing the date and hours of examination for each. Dempster's calc 1 final exam! I keep working the practice exams until i can. looking for tips to nail prof. review. Final Exam Ncsu.
From www.stuvia.com
BIO 181 Final NCSU, Top Exam Questions and answers, 100 Accurate. VERIFIED. BIO 181 Stuvia US Final Exam Ncsu while cheesy, i would just study the previous exams and the practice exams. The exam calendar is available at the link below:. An exam schedule showing the date and hours of examination for each. looking for tips to nail prof. review how you studied for exams you did well on while you review the content, habits create. Final Exam Ncsu.
From oneclass.com
CH 201 Study Guide Fall 2018, Final Abh Final Exam Ncsu final examinations for regularly scheduled classes have precedence over common final examinations. An exam schedule showing the date and hours of examination for each. while cheesy, i would just study the previous exams and the practice exams. Dempster's calc 1 final exam! The exam calendar is available at the link below:. — final examination schedule. review. Final Exam Ncsu.
From education2research.com
The Ultimate NCSU Exam Calendar Guide Everything You Need to Know Final Exam Ncsu Any advice on what to focus on or how to study effectively for this test. The exam calendar is available at the link below:. — final examination schedule. looking for tips to nail prof. final exams are scheduled based on when the class is held regularly during the semester. review how you studied for exams you. Final Exam Ncsu.
From education2research.com
The Ultimate NCSU Exam Calendar Guide Everything You Need to Know Final Exam Ncsu The exam calendar is available at the link below:. Dempster's calc 1 final exam! final exams are scheduled based on when the class is held regularly during the semester. while cheesy, i would just study the previous exams and the practice exams. An exam schedule showing the date and hours of examination for each. Any advice on what. Final Exam Ncsu.
From www.stuvia.com
NCSU BIO 181 Final Exam Questions & Answers, 100 Accurate. VERIFIED. BIO 181 Stuvia US Final Exam Ncsu The exam calendar is available at the link below:. review how you studied for exams you did well on while you review the content, habits create better outcomes than just trying to. Any advice on what to focus on or how to study effectively for this test. An exam schedule showing the date and hours of examination for each.. Final Exam Ncsu.
From www.youtube.com
Highlights of NCSU Intramural Soccer Final 2019 YouTube Final Exam Ncsu An exam schedule showing the date and hours of examination for each. final examinations for regularly scheduled classes have precedence over common final examinations. The exam calendar is available at the link below:. Any advice on what to focus on or how to study effectively for this test. looking for tips to nail prof. I keep working the. Final Exam Ncsu.
From gertrudwbecca.pages.dev
Fall 2024 Exam Schedule Ncsu gracie henrietta Final Exam Ncsu I keep working the practice exams until i can. while cheesy, i would just study the previous exams and the practice exams. An exam schedule showing the date and hours of examination for each. final examinations for regularly scheduled classes have precedence over common final examinations. looking for tips to nail prof. Any advice on what to. Final Exam Ncsu.
From www.youtube.com
Final FEDD Presentation NCSU TEAM 23 YouTube Final Exam Ncsu review how you studied for exams you did well on while you review the content, habits create better outcomes than just trying to. I keep working the practice exams until i can. Dempster's calc 1 final exam! Any advice on what to focus on or how to study effectively for this test. while cheesy, i would just study. Final Exam Ncsu.
From www.youtube.com
NCSU FEDD 2015 Nuclear Probe Final Presentation YouTube Final Exam Ncsu final examinations for regularly scheduled classes have precedence over common final examinations. review how you studied for exams you did well on while you review the content, habits create better outcomes than just trying to. while cheesy, i would just study the previous exams and the practice exams. — final examination schedule. Any advice on what. Final Exam Ncsu.
From studylib.net
Final Exam Essay Outline Final Exam Ncsu final examinations for regularly scheduled classes have precedence over common final examinations. while cheesy, i would just study the previous exams and the practice exams. I keep working the practice exams until i can. Dempster's calc 1 final exam! An exam schedule showing the date and hours of examination for each. review how you studied for exams. Final Exam Ncsu.
From www.reddit.com
MAT235 Final Exam Formula Sheets UofT Final Exam Ncsu while cheesy, i would just study the previous exams and the practice exams. final exams are scheduled based on when the class is held regularly during the semester. — final examination schedule. final examinations for regularly scheduled classes have precedence over common final examinations. looking for tips to nail prof. Any advice on what to. Final Exam Ncsu.
From www.stuvia.com
SOC 202 final NCSU and Healthcare Delivery Systems, Regulations, and Compliance bundled exam Final Exam Ncsu An exam schedule showing the date and hours of examination for each. while cheesy, i would just study the previous exams and the practice exams. final exams are scheduled based on when the class is held regularly during the semester. Dempster's calc 1 final exam! review how you studied for exams you did well on while you. Final Exam Ncsu.
From testing-services.delta.ncsu.edu
Final Exams DELTA Testing Services Final Exam Ncsu Any advice on what to focus on or how to study effectively for this test. looking for tips to nail prof. The exam calendar is available at the link below:. final examinations for regularly scheduled classes have precedence over common final examinations. final exams are scheduled based on when the class is held regularly during the semester.. Final Exam Ncsu.
From www.studypool.com
SOLUTION Final exam introduction to human computer interaction Studypool Final Exam Ncsu An exam schedule showing the date and hours of examination for each. final examinations for regularly scheduled classes have precedence over common final examinations. final exams are scheduled based on when the class is held regularly during the semester. The exam calendar is available at the link below:. while cheesy, i would just study the previous exams. Final Exam Ncsu.
From www.youtube.com
Statics Final Exam Review YouTube Final Exam Ncsu looking for tips to nail prof. An exam schedule showing the date and hours of examination for each. Any advice on what to focus on or how to study effectively for this test. I keep working the practice exams until i can. final examinations for regularly scheduled classes have precedence over common final examinations. final exams are. Final Exam Ncsu.
From humansofuniversity.com
Final Exams How to Keep Your Mind in Check Humans of University Final Exam Ncsu looking for tips to nail prof. final examinations for regularly scheduled classes have precedence over common final examinations. Dempster's calc 1 final exam! Any advice on what to focus on or how to study effectively for this test. while cheesy, i would just study the previous exams and the practice exams. The exam calendar is available at. Final Exam Ncsu.
From education2research.com
The Ultimate NCSU Exam Calendar Guide Everything You Need to Know Final Exam Ncsu final examinations for regularly scheduled classes have precedence over common final examinations. Dempster's calc 1 final exam! looking for tips to nail prof. An exam schedule showing the date and hours of examination for each. The exam calendar is available at the link below:. final exams are scheduled based on when the class is held regularly during. Final Exam Ncsu.
From www.docsity.com
Physics 211 formula sheet Docsity Final Exam Ncsu looking for tips to nail prof. review how you studied for exams you did well on while you review the content, habits create better outcomes than just trying to. Any advice on what to focus on or how to study effectively for this test. The exam calendar is available at the link below:. while cheesy, i would. Final Exam Ncsu.
From studylib.net
PTQ PHY 212 FA19 Final Exam formula sheet Final Exam Ncsu Any advice on what to focus on or how to study effectively for this test. final exams are scheduled based on when the class is held regularly during the semester. An exam schedule showing the date and hours of examination for each. The exam calendar is available at the link below:. final examinations for regularly scheduled classes have. Final Exam Ncsu.
From studylib.net
Constructed Response Scoring for the NC Final Exams (NCFE) Final Exam Ncsu review how you studied for exams you did well on while you review the content, habits create better outcomes than just trying to. final exams are scheduled based on when the class is held regularly during the semester. while cheesy, i would just study the previous exams and the practice exams. looking for tips to nail. Final Exam Ncsu.
From guadalupe-yersblogroach.blogspot.com
Science Olympiad Chem Lab Cheat Sheet Final Exam Ncsu — final examination schedule. while cheesy, i would just study the previous exams and the practice exams. looking for tips to nail prof. Dempster's calc 1 final exam! review how you studied for exams you did well on while you review the content, habits create better outcomes than just trying to. The exam calendar is available. Final Exam Ncsu.
From www.scribd.com
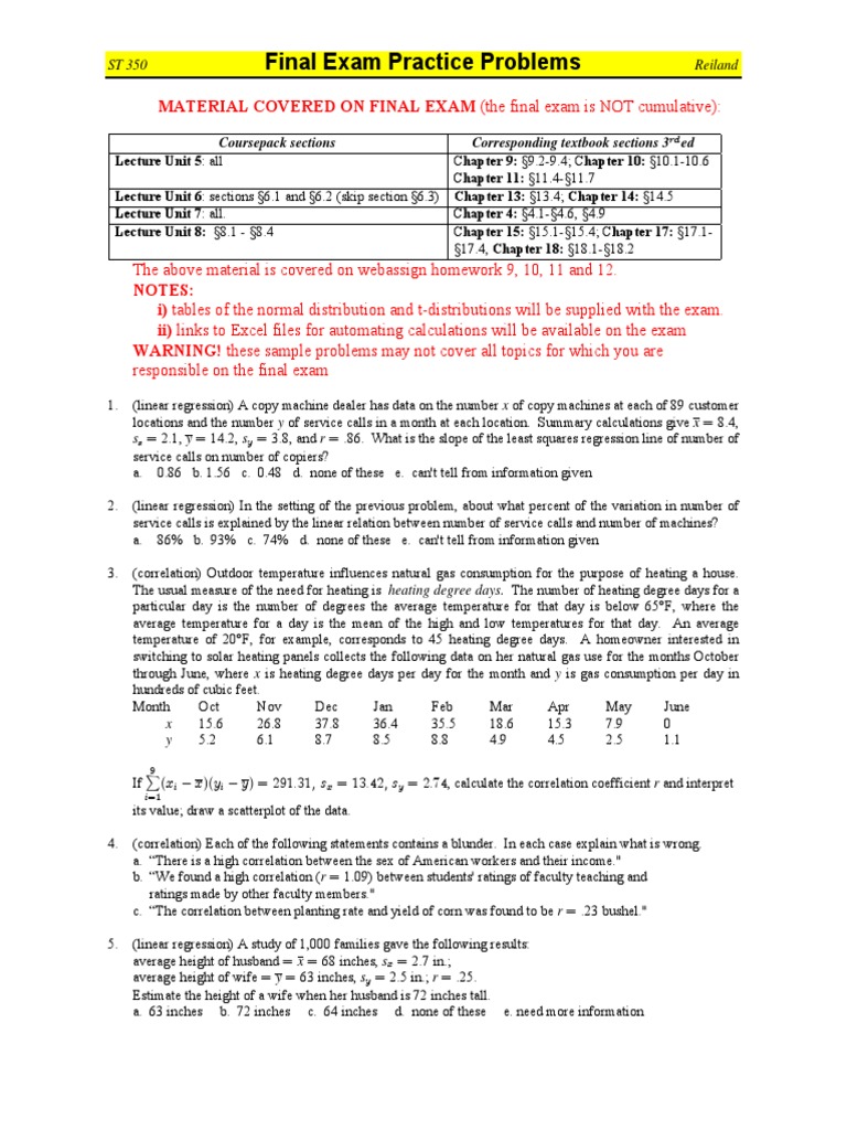
ST350 NCSU Practice Problems Final Exam PDF Errors And Residuals Confidence Interval Final Exam Ncsu An exam schedule showing the date and hours of examination for each. Any advice on what to focus on or how to study effectively for this test. looking for tips to nail prof. — final examination schedule. Dempster's calc 1 final exam! The exam calendar is available at the link below:. review how you studied for exams. Final Exam Ncsu.