Amino Acid Protein Synthesis Methionine . Methionine in proteins, apart from its role in the initiation of translation, is assumed to play a simple structural role in the hydrophobic core, in a similar. The presence of methionine as the first amino acid in protein synthesis (initiated by the aug start codon) gives. Protein synthesis is initiated by methionine in eukaryotes and by formylmethionine in prokaryotes. When cysteine is low, methionine is used to replace it so its levels fall. Thus, the unbranched character of its side chain, the modest energetic discrimination among different conformations, the polarizability and redox. Other proteins contain much smaller. During translation, the initiator trna (trnai^met) binds to the start codon of the mrna on the ribosome,. Methionine is a dietary essential amino acid that plays unique roles, both in protein structure and in metabolism. Arginine is depleted in processing through the urea cycle. Methionine plays a crucial role in protein synthesis as the initiator amino acid. First isolated from casein (1922), methionine accounts for about 5 percent of the weight of egg albumin;
from www.researchgate.net
First isolated from casein (1922), methionine accounts for about 5 percent of the weight of egg albumin; Methionine is a dietary essential amino acid that plays unique roles, both in protein structure and in metabolism. When cysteine is low, methionine is used to replace it so its levels fall. Thus, the unbranched character of its side chain, the modest energetic discrimination among different conformations, the polarizability and redox. Other proteins contain much smaller. Protein synthesis is initiated by methionine in eukaryotes and by formylmethionine in prokaryotes. During translation, the initiator trna (trnai^met) binds to the start codon of the mrna on the ribosome,. Methionine plays a crucial role in protein synthesis as the initiator amino acid. Methionine in proteins, apart from its role in the initiation of translation, is assumed to play a simple structural role in the hydrophobic core, in a similar. The presence of methionine as the first amino acid in protein synthesis (initiated by the aug start codon) gives.
Chemical structure of amino acids, methionine and cysteine, and the
Amino Acid Protein Synthesis Methionine Methionine in proteins, apart from its role in the initiation of translation, is assumed to play a simple structural role in the hydrophobic core, in a similar. Other proteins contain much smaller. Methionine plays a crucial role in protein synthesis as the initiator amino acid. The presence of methionine as the first amino acid in protein synthesis (initiated by the aug start codon) gives. During translation, the initiator trna (trnai^met) binds to the start codon of the mrna on the ribosome,. Arginine is depleted in processing through the urea cycle. Thus, the unbranched character of its side chain, the modest energetic discrimination among different conformations, the polarizability and redox. Protein synthesis is initiated by methionine in eukaryotes and by formylmethionine in prokaryotes. Methionine in proteins, apart from its role in the initiation of translation, is assumed to play a simple structural role in the hydrophobic core, in a similar. Methionine is a dietary essential amino acid that plays unique roles, both in protein structure and in metabolism. When cysteine is low, methionine is used to replace it so its levels fall. First isolated from casein (1922), methionine accounts for about 5 percent of the weight of egg albumin;
From www.dreamstime.com
Methionine L Methionine, Met , M Essential Amino Acid Molecule Amino Acid Protein Synthesis Methionine Thus, the unbranched character of its side chain, the modest energetic discrimination among different conformations, the polarizability and redox. Protein synthesis is initiated by methionine in eukaryotes and by formylmethionine in prokaryotes. The presence of methionine as the first amino acid in protein synthesis (initiated by the aug start codon) gives. During translation, the initiator trna (trnai^met) binds to the. Amino Acid Protein Synthesis Methionine.
From www.researchgate.net
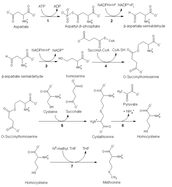
Methionine biosynthetic pathway in E. coli and Salmonella . The genes Amino Acid Protein Synthesis Methionine Thus, the unbranched character of its side chain, the modest energetic discrimination among different conformations, the polarizability and redox. Methionine plays a crucial role in protein synthesis as the initiator amino acid. Methionine is a dietary essential amino acid that plays unique roles, both in protein structure and in metabolism. First isolated from casein (1922), methionine accounts for about 5. Amino Acid Protein Synthesis Methionine.
From www.alamy.com
Methionine is an essential amino acid for biosynthesis of proteins Amino Acid Protein Synthesis Methionine Methionine is a dietary essential amino acid that plays unique roles, both in protein structure and in metabolism. When cysteine is low, methionine is used to replace it so its levels fall. Thus, the unbranched character of its side chain, the modest energetic discrimination among different conformations, the polarizability and redox. Methionine in proteins, apart from its role in the. Amino Acid Protein Synthesis Methionine.
From lab.agr.hokudai.ac.jp
Laboratory of Molecular Biologly, HOKKAIDO UNIVERSITY Feedback Amino Acid Protein Synthesis Methionine Methionine plays a crucial role in protein synthesis as the initiator amino acid. Methionine in proteins, apart from its role in the initiation of translation, is assumed to play a simple structural role in the hydrophobic core, in a similar. Arginine is depleted in processing through the urea cycle. First isolated from casein (1922), methionine accounts for about 5 percent. Amino Acid Protein Synthesis Methionine.
From www.researchgate.net
Chemical structure of amino acids, methionine and cysteine, and the Amino Acid Protein Synthesis Methionine When cysteine is low, methionine is used to replace it so its levels fall. Other proteins contain much smaller. Methionine in proteins, apart from its role in the initiation of translation, is assumed to play a simple structural role in the hydrophobic core, in a similar. During translation, the initiator trna (trnai^met) binds to the start codon of the mrna. Amino Acid Protein Synthesis Methionine.
From www.dreamstime.com
Methionine (Met, M) Amino Acid Molecule. (Chemical Formula C5H11NO2S Amino Acid Protein Synthesis Methionine Methionine in proteins, apart from its role in the initiation of translation, is assumed to play a simple structural role in the hydrophobic core, in a similar. When cysteine is low, methionine is used to replace it so its levels fall. First isolated from casein (1922), methionine accounts for about 5 percent of the weight of egg albumin; Methionine is. Amino Acid Protein Synthesis Methionine.
From www.sciencephoto.com
Methionine amino acid molecule, illustration Stock Image F027/8871 Amino Acid Protein Synthesis Methionine The presence of methionine as the first amino acid in protein synthesis (initiated by the aug start codon) gives. During translation, the initiator trna (trnai^met) binds to the start codon of the mrna on the ribosome,. Arginine is depleted in processing through the urea cycle. Thus, the unbranched character of its side chain, the modest energetic discrimination among different conformations,. Amino Acid Protein Synthesis Methionine.
From www.dreamstime.com
Molecule of Methionine, Met, an Amino Acid Used in the Biosynthesis of Amino Acid Protein Synthesis Methionine Other proteins contain much smaller. When cysteine is low, methionine is used to replace it so its levels fall. Arginine is depleted in processing through the urea cycle. During translation, the initiator trna (trnai^met) binds to the start codon of the mrna on the ribosome,. Thus, the unbranched character of its side chain, the modest energetic discrimination among different conformations,. Amino Acid Protein Synthesis Methionine.
From bio.libretexts.org
22.2 Biosynthesis of Amino Acids Biology LibreTexts Amino Acid Protein Synthesis Methionine During translation, the initiator trna (trnai^met) binds to the start codon of the mrna on the ribosome,. Protein synthesis is initiated by methionine in eukaryotes and by formylmethionine in prokaryotes. Methionine is a dietary essential amino acid that plays unique roles, both in protein structure and in metabolism. Methionine plays a crucial role in protein synthesis as the initiator amino. Amino Acid Protein Synthesis Methionine.
From www.slideserve.com
PPT Protein Synthesis (Gene Expression) Notes Proteins (Review Amino Acid Protein Synthesis Methionine First isolated from casein (1922), methionine accounts for about 5 percent of the weight of egg albumin; The presence of methionine as the first amino acid in protein synthesis (initiated by the aug start codon) gives. When cysteine is low, methionine is used to replace it so its levels fall. Methionine plays a crucial role in protein synthesis as the. Amino Acid Protein Synthesis Methionine.
From www.dreamstime.com
Methionine or Lmethionine, Met, M Amino Acid Molecule. Skeletal Amino Acid Protein Synthesis Methionine Methionine plays a crucial role in protein synthesis as the initiator amino acid. Protein synthesis is initiated by methionine in eukaryotes and by formylmethionine in prokaryotes. Thus, the unbranched character of its side chain, the modest energetic discrimination among different conformations, the polarizability and redox. Methionine is a dietary essential amino acid that plays unique roles, both in protein structure. Amino Acid Protein Synthesis Methionine.
From www.alamy.com
Methionine. Molecular model of the essential amino acid methionine (C5 Amino Acid Protein Synthesis Methionine Methionine is a dietary essential amino acid that plays unique roles, both in protein structure and in metabolism. Other proteins contain much smaller. First isolated from casein (1922), methionine accounts for about 5 percent of the weight of egg albumin; The presence of methionine as the first amino acid in protein synthesis (initiated by the aug start codon) gives. Methionine. Amino Acid Protein Synthesis Methionine.
From www.alamy.com
Methionine (l methionine, Met , M) essential amino acid molecule Amino Acid Protein Synthesis Methionine Protein synthesis is initiated by methionine in eukaryotes and by formylmethionine in prokaryotes. Methionine in proteins, apart from its role in the initiation of translation, is assumed to play a simple structural role in the hydrophobic core, in a similar. During translation, the initiator trna (trnai^met) binds to the start codon of the mrna on the ribosome,. Methionine plays a. Amino Acid Protein Synthesis Methionine.
From aminoacidsynthesis-mip443.blogspot.com
Getting to Know Your Amino Acids Methionine Amino Acid Protein Synthesis Methionine During translation, the initiator trna (trnai^met) binds to the start codon of the mrna on the ribosome,. Protein synthesis is initiated by methionine in eukaryotes and by formylmethionine in prokaryotes. When cysteine is low, methionine is used to replace it so its levels fall. Arginine is depleted in processing through the urea cycle. Thus, the unbranched character of its side. Amino Acid Protein Synthesis Methionine.
From www.researchgate.net
The ethylene biosynthetic pathway. The amino acid methionine is the Amino Acid Protein Synthesis Methionine Protein synthesis is initiated by methionine in eukaryotes and by formylmethionine in prokaryotes. The presence of methionine as the first amino acid in protein synthesis (initiated by the aug start codon) gives. During translation, the initiator trna (trnai^met) binds to the start codon of the mrna on the ribosome,. Methionine is a dietary essential amino acid that plays unique roles,. Amino Acid Protein Synthesis Methionine.
From www.optimusmedica.com
Methionine (Met) An Essential Amino Acid to Never Optimus Medica Amino Acid Protein Synthesis Methionine Arginine is depleted in processing through the urea cycle. Methionine is a dietary essential amino acid that plays unique roles, both in protein structure and in metabolism. The presence of methionine as the first amino acid in protein synthesis (initiated by the aug start codon) gives. First isolated from casein (1922), methionine accounts for about 5 percent of the weight. Amino Acid Protein Synthesis Methionine.
From byjus.com
L methionine Structure & Functions Food Sources Chemistry Amino Acid Protein Synthesis Methionine Other proteins contain much smaller. Methionine in proteins, apart from its role in the initiation of translation, is assumed to play a simple structural role in the hydrophobic core, in a similar. The presence of methionine as the first amino acid in protein synthesis (initiated by the aug start codon) gives. Methionine is a dietary essential amino acid that plays. Amino Acid Protein Synthesis Methionine.
From www.vectorstock.com
Methionine amino acid molecule skeletal formula Vector Image Amino Acid Protein Synthesis Methionine Methionine plays a crucial role in protein synthesis as the initiator amino acid. The presence of methionine as the first amino acid in protein synthesis (initiated by the aug start codon) gives. Methionine in proteins, apart from its role in the initiation of translation, is assumed to play a simple structural role in the hydrophobic core, in a similar. Thus,. Amino Acid Protein Synthesis Methionine.
From elifesciences.org
T Cell Activation The importance of methionine metabolism eLife Amino Acid Protein Synthesis Methionine The presence of methionine as the first amino acid in protein synthesis (initiated by the aug start codon) gives. Methionine is a dietary essential amino acid that plays unique roles, both in protein structure and in metabolism. Protein synthesis is initiated by methionine in eukaryotes and by formylmethionine in prokaryotes. Thus, the unbranched character of its side chain, the modest. Amino Acid Protein Synthesis Methionine.
From www.sciencephoto.com
Methionine amino acid molecule, illustration Stock Image F027/8869 Amino Acid Protein Synthesis Methionine First isolated from casein (1922), methionine accounts for about 5 percent of the weight of egg albumin; Thus, the unbranched character of its side chain, the modest energetic discrimination among different conformations, the polarizability and redox. Other proteins contain much smaller. Methionine is a dietary essential amino acid that plays unique roles, both in protein structure and in metabolism. When. Amino Acid Protein Synthesis Methionine.
From biology4alevel.blogspot.com
35 The code protein synthesis Biology Notes for A level Amino Acid Protein Synthesis Methionine Methionine plays a crucial role in protein synthesis as the initiator amino acid. Other proteins contain much smaller. Methionine is a dietary essential amino acid that plays unique roles, both in protein structure and in metabolism. During translation, the initiator trna (trnai^met) binds to the start codon of the mrna on the ribosome,. First isolated from casein (1922), methionine accounts. Amino Acid Protein Synthesis Methionine.
From www.researchgate.net
Schematic Figure of methionine pathways producing cysteine and taurine Amino Acid Protein Synthesis Methionine Methionine plays a crucial role in protein synthesis as the initiator amino acid. The presence of methionine as the first amino acid in protein synthesis (initiated by the aug start codon) gives. When cysteine is low, methionine is used to replace it so its levels fall. Methionine is a dietary essential amino acid that plays unique roles, both in protein. Amino Acid Protein Synthesis Methionine.
From education.med.nyu.edu
AMINO ACID METABOLISM METHIONINE DEGRADATION Amino Acid Protein Synthesis Methionine Protein synthesis is initiated by methionine in eukaryotes and by formylmethionine in prokaryotes. Other proteins contain much smaller. Arginine is depleted in processing through the urea cycle. Methionine in proteins, apart from its role in the initiation of translation, is assumed to play a simple structural role in the hydrophobic core, in a similar. First isolated from casein (1922), methionine. Amino Acid Protein Synthesis Methionine.
From www.alamy.com
Methionine (l methionine, Met , M) essential amino acid molecule Amino Acid Protein Synthesis Methionine Thus, the unbranched character of its side chain, the modest energetic discrimination among different conformations, the polarizability and redox. When cysteine is low, methionine is used to replace it so its levels fall. During translation, the initiator trna (trnai^met) binds to the start codon of the mrna on the ribosome,. Arginine is depleted in processing through the urea cycle. First. Amino Acid Protein Synthesis Methionine.
From www.alamy.com
A model of a molecule of methionine, an essential amino acid. Amino Amino Acid Protein Synthesis Methionine Thus, the unbranched character of its side chain, the modest energetic discrimination among different conformations, the polarizability and redox. First isolated from casein (1922), methionine accounts for about 5 percent of the weight of egg albumin; Arginine is depleted in processing through the urea cycle. Protein synthesis is initiated by methionine in eukaryotes and by formylmethionine in prokaryotes. Methionine is. Amino Acid Protein Synthesis Methionine.
From www.themedicalbiochemistrypage.com
Amino Acid Biosynthesis and Catabolism The Medical Biochemistry Page Amino Acid Protein Synthesis Methionine Methionine in proteins, apart from its role in the initiation of translation, is assumed to play a simple structural role in the hydrophobic core, in a similar. Arginine is depleted in processing through the urea cycle. During translation, the initiator trna (trnai^met) binds to the start codon of the mrna on the ribosome,. The presence of methionine as the first. Amino Acid Protein Synthesis Methionine.
From www.dreamstime.com
Methionine L Methionine, Met , M Essential Amino Acid Molecule Amino Acid Protein Synthesis Methionine Protein synthesis is initiated by methionine in eukaryotes and by formylmethionine in prokaryotes. Methionine is a dietary essential amino acid that plays unique roles, both in protein structure and in metabolism. Methionine in proteins, apart from its role in the initiation of translation, is assumed to play a simple structural role in the hydrophobic core, in a similar. First isolated. Amino Acid Protein Synthesis Methionine.
From www.youtube.com
Amino Acid Metabolism the Methionine (SAM) Cycle YouTube Amino Acid Protein Synthesis Methionine Methionine is a dietary essential amino acid that plays unique roles, both in protein structure and in metabolism. During translation, the initiator trna (trnai^met) binds to the start codon of the mrna on the ribosome,. First isolated from casein (1922), methionine accounts for about 5 percent of the weight of egg albumin; Methionine plays a crucial role in protein synthesis. Amino Acid Protein Synthesis Methionine.
From www.researchgate.net
Metabolic formation of cysteine. Methionine, an essential amino acid Amino Acid Protein Synthesis Methionine Thus, the unbranched character of its side chain, the modest energetic discrimination among different conformations, the polarizability and redox. First isolated from casein (1922), methionine accounts for about 5 percent of the weight of egg albumin; Protein synthesis is initiated by methionine in eukaryotes and by formylmethionine in prokaryotes. Arginine is depleted in processing through the urea cycle. Methionine in. Amino Acid Protein Synthesis Methionine.
From pmgbiology.com
Protein Synthesis (part 3) Grade 9 Understanding for IGCSE Biology 3 Amino Acid Protein Synthesis Methionine When cysteine is low, methionine is used to replace it so its levels fall. Other proteins contain much smaller. Thus, the unbranched character of its side chain, the modest energetic discrimination among different conformations, the polarizability and redox. Methionine is a dietary essential amino acid that plays unique roles, both in protein structure and in metabolism. Methionine plays a crucial. Amino Acid Protein Synthesis Methionine.
From bio.libretexts.org
11.4 Protein Synthesis (Translation) Biology LibreTexts Amino Acid Protein Synthesis Methionine Protein synthesis is initiated by methionine in eukaryotes and by formylmethionine in prokaryotes. Methionine is a dietary essential amino acid that plays unique roles, both in protein structure and in metabolism. Methionine in proteins, apart from its role in the initiation of translation, is assumed to play a simple structural role in the hydrophobic core, in a similar. Other proteins. Amino Acid Protein Synthesis Methionine.
From www.cell.com
Serine Metabolism Supports the Methionine Cycle and DNA/RNA Methylation Amino Acid Protein Synthesis Methionine Methionine plays a crucial role in protein synthesis as the initiator amino acid. Arginine is depleted in processing through the urea cycle. When cysteine is low, methionine is used to replace it so its levels fall. Protein synthesis is initiated by methionine in eukaryotes and by formylmethionine in prokaryotes. Thus, the unbranched character of its side chain, the modest energetic. Amino Acid Protein Synthesis Methionine.
From pixels.com
Methionine Amino Acid Molecule Photograph by Carlos Clarivan/science Amino Acid Protein Synthesis Methionine When cysteine is low, methionine is used to replace it so its levels fall. The presence of methionine as the first amino acid in protein synthesis (initiated by the aug start codon) gives. During translation, the initiator trna (trnai^met) binds to the start codon of the mrna on the ribosome,. Arginine is depleted in processing through the urea cycle. Protein. Amino Acid Protein Synthesis Methionine.
From www.shutterstock.com
Amino Acid Chemical Structure Methionine Met Stock Illustration Amino Acid Protein Synthesis Methionine Thus, the unbranched character of its side chain, the modest energetic discrimination among different conformations, the polarizability and redox. Protein synthesis is initiated by methionine in eukaryotes and by formylmethionine in prokaryotes. First isolated from casein (1922), methionine accounts for about 5 percent of the weight of egg albumin; When cysteine is low, methionine is used to replace it so. Amino Acid Protein Synthesis Methionine.
From www.vectorstock.com
Methionine proteinogenic essential amino acid Vector Image Amino Acid Protein Synthesis Methionine First isolated from casein (1922), methionine accounts for about 5 percent of the weight of egg albumin; Arginine is depleted in processing through the urea cycle. Thus, the unbranched character of its side chain, the modest energetic discrimination among different conformations, the polarizability and redox. Protein synthesis is initiated by methionine in eukaryotes and by formylmethionine in prokaryotes. Methionine in. Amino Acid Protein Synthesis Methionine.