Japan Statute Of Limitations Tax . However, in cases of tax evasion, the statute of limitations is seven years. In determining the residency of a company for tax purposes, japan utilizes the ‘place of head office or main office’ concept, not the ‘effective place. Amendments to statute of limitations for reassessments or determinations with respect to taxation on overseas transactions. The statute of limitations period for audits of tax returns is generally five years (seven years for transfer pricing). The constitution of japan declares the principle of “taxation under the law,” in article 30, “the people shall be liable to taxation as provided by the. However, this can be extended in cases. The standard statute of limitations under audit is currently five years; The statute of limitations for corporation tax or consumption tax is 5 years (6 years for corporation tax in transfer pricing, 7.
from www.thetaxadviser.com
The statute of limitations period for audits of tax returns is generally five years (seven years for transfer pricing). The statute of limitations for corporation tax or consumption tax is 5 years (6 years for corporation tax in transfer pricing, 7. However, this can be extended in cases. The constitution of japan declares the principle of “taxation under the law,” in article 30, “the people shall be liable to taxation as provided by the. Amendments to statute of limitations for reassessments or determinations with respect to taxation on overseas transactions. However, in cases of tax evasion, the statute of limitations is seven years. In determining the residency of a company for tax purposes, japan utilizes the ‘place of head office or main office’ concept, not the ‘effective place. The standard statute of limitations under audit is currently five years;
Federal implications of passthrough entity tax elections
Japan Statute Of Limitations Tax In determining the residency of a company for tax purposes, japan utilizes the ‘place of head office or main office’ concept, not the ‘effective place. The statute of limitations period for audits of tax returns is generally five years (seven years for transfer pricing). The constitution of japan declares the principle of “taxation under the law,” in article 30, “the people shall be liable to taxation as provided by the. However, this can be extended in cases. The standard statute of limitations under audit is currently five years; Amendments to statute of limitations for reassessments or determinations with respect to taxation on overseas transactions. However, in cases of tax evasion, the statute of limitations is seven years. In determining the residency of a company for tax purposes, japan utilizes the ‘place of head office or main office’ concept, not the ‘effective place. The statute of limitations for corporation tax or consumption tax is 5 years (6 years for corporation tax in transfer pricing, 7.
From taxnetworkusa.com
Tax Evasion Statute of Limitations Tax Network USA Japan Statute Of Limitations Tax The standard statute of limitations under audit is currently five years; In determining the residency of a company for tax purposes, japan utilizes the ‘place of head office or main office’ concept, not the ‘effective place. However, this can be extended in cases. The constitution of japan declares the principle of “taxation under the law,” in article 30, “the people. Japan Statute Of Limitations Tax.
From fyolxbami.blob.core.windows.net
Statute Of Limitations Taxes at Linda Newton blog Japan Statute Of Limitations Tax Amendments to statute of limitations for reassessments or determinations with respect to taxation on overseas transactions. The constitution of japan declares the principle of “taxation under the law,” in article 30, “the people shall be liable to taxation as provided by the. The standard statute of limitations under audit is currently five years; The statute of limitations for corporation tax. Japan Statute Of Limitations Tax.
From www.youtube.com
Ask The Experts Taxation in Japan YouTube Japan Statute Of Limitations Tax Amendments to statute of limitations for reassessments or determinations with respect to taxation on overseas transactions. However, this can be extended in cases. In determining the residency of a company for tax purposes, japan utilizes the ‘place of head office or main office’ concept, not the ‘effective place. However, in cases of tax evasion, the statute of limitations is seven. Japan Statute Of Limitations Tax.
From exouttqwc.blob.core.windows.net
Statute Of Limitations Ny Executive Order at Mae Martin blog Japan Statute Of Limitations Tax However, in cases of tax evasion, the statute of limitations is seven years. However, this can be extended in cases. Amendments to statute of limitations for reassessments or determinations with respect to taxation on overseas transactions. The statute of limitations period for audits of tax returns is generally five years (seven years for transfer pricing). The standard statute of limitations. Japan Statute Of Limitations Tax.
From www.thetaxadviser.com
Federal implications of passthrough entity tax elections Japan Statute Of Limitations Tax However, in cases of tax evasion, the statute of limitations is seven years. The statute of limitations period for audits of tax returns is generally five years (seven years for transfer pricing). Amendments to statute of limitations for reassessments or determinations with respect to taxation on overseas transactions. The standard statute of limitations under audit is currently five years; The. Japan Statute Of Limitations Tax.
From fyolxbami.blob.core.windows.net
Statute Of Limitations Taxes at Linda Newton blog Japan Statute Of Limitations Tax Amendments to statute of limitations for reassessments or determinations with respect to taxation on overseas transactions. The statute of limitations period for audits of tax returns is generally five years (seven years for transfer pricing). In determining the residency of a company for tax purposes, japan utilizes the ‘place of head office or main office’ concept, not the ‘effective place.. Japan Statute Of Limitations Tax.
From paladinilaw.com
Statute of Limitations for New Jersey Tax Audits Paladini Law Japan Statute Of Limitations Tax However, in cases of tax evasion, the statute of limitations is seven years. The constitution of japan declares the principle of “taxation under the law,” in article 30, “the people shall be liable to taxation as provided by the. The statute of limitations period for audits of tax returns is generally five years (seven years for transfer pricing). Amendments to. Japan Statute Of Limitations Tax.
From hxelohzvq.blob.core.windows.net
Statute Of Limitations Ny Taxes at Antonio Ruffin blog Japan Statute Of Limitations Tax The constitution of japan declares the principle of “taxation under the law,” in article 30, “the people shall be liable to taxation as provided by the. However, this can be extended in cases. The statute of limitations period for audits of tax returns is generally five years (seven years for transfer pricing). Amendments to statute of limitations for reassessments or. Japan Statute Of Limitations Tax.
From www.scribd.com
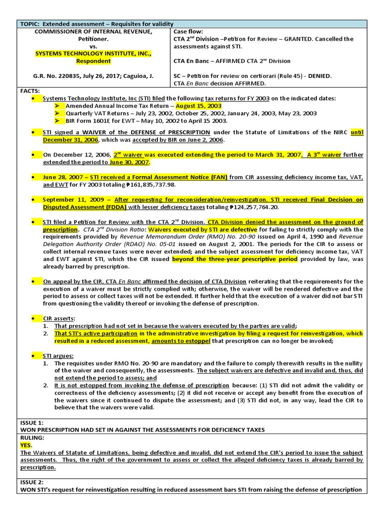
Requisites for Validity Strict Compliance with Procedures is Necessary Japan Statute Of Limitations Tax The constitution of japan declares the principle of “taxation under the law,” in article 30, “the people shall be liable to taxation as provided by the. However, in cases of tax evasion, the statute of limitations is seven years. In determining the residency of a company for tax purposes, japan utilizes the ‘place of head office or main office’ concept,. Japan Statute Of Limitations Tax.
From rushtaxresolution.com
What is an Excise Tax Rush Tax Resolution Japan Statute Of Limitations Tax The standard statute of limitations under audit is currently five years; However, in cases of tax evasion, the statute of limitations is seven years. The constitution of japan declares the principle of “taxation under the law,” in article 30, “the people shall be liable to taxation as provided by the. The statute of limitations for corporation tax or consumption tax. Japan Statute Of Limitations Tax.
From cleanslatetax.com
Is There a Statute of Limitations for a IRS Tax Lien? Clean Slate Tax Japan Statute Of Limitations Tax The constitution of japan declares the principle of “taxation under the law,” in article 30, “the people shall be liable to taxation as provided by the. The statute of limitations period for audits of tax returns is generally five years (seven years for transfer pricing). However, this can be extended in cases. The standard statute of limitations under audit is. Japan Statute Of Limitations Tax.
From www.formsbank.com
Fillable Form 701Bf Waiver Of Statute Of Limitations Pertaining To Japan Statute Of Limitations Tax The statute of limitations for corporation tax or consumption tax is 5 years (6 years for corporation tax in transfer pricing, 7. Amendments to statute of limitations for reassessments or determinations with respect to taxation on overseas transactions. In determining the residency of a company for tax purposes, japan utilizes the ‘place of head office or main office’ concept, not. Japan Statute Of Limitations Tax.
From www.scribd.com
126 154 BPI Vs CIR PDF Statute Of Limitations Taxes Japan Statute Of Limitations Tax The standard statute of limitations under audit is currently five years; The constitution of japan declares the principle of “taxation under the law,” in article 30, “the people shall be liable to taxation as provided by the. In determining the residency of a company for tax purposes, japan utilizes the ‘place of head office or main office’ concept, not the. Japan Statute Of Limitations Tax.
From www.scribd.com
CIR V Philippine Global Communication, Inc. (Basco) PDF Statute Of Japan Statute Of Limitations Tax The constitution of japan declares the principle of “taxation under the law,” in article 30, “the people shall be liable to taxation as provided by the. However, this can be extended in cases. The standard statute of limitations under audit is currently five years; However, in cases of tax evasion, the statute of limitations is seven years. In determining the. Japan Statute Of Limitations Tax.
From www.scribd.com
17 Period of Prescription For The Audit of All Internal Revenue Taxes Japan Statute Of Limitations Tax The standard statute of limitations under audit is currently five years; The statute of limitations for corporation tax or consumption tax is 5 years (6 years for corporation tax in transfer pricing, 7. However, this can be extended in cases. However, in cases of tax evasion, the statute of limitations is seven years. Amendments to statute of limitations for reassessments. Japan Statute Of Limitations Tax.
From ygacpa.com
What Is the Statute of Limitations on Unpaid Taxes? The Akopyan Group Japan Statute Of Limitations Tax However, this can be extended in cases. In determining the residency of a company for tax purposes, japan utilizes the ‘place of head office or main office’ concept, not the ‘effective place. The statute of limitations for corporation tax or consumption tax is 5 years (6 years for corporation tax in transfer pricing, 7. The statute of limitations period for. Japan Statute Of Limitations Tax.
From www.researchgate.net
Trend of effective statutory corporate tax rates in Japan. Download Japan Statute Of Limitations Tax However, in cases of tax evasion, the statute of limitations is seven years. However, this can be extended in cases. The standard statute of limitations under audit is currently five years; The constitution of japan declares the principle of “taxation under the law,” in article 30, “the people shall be liable to taxation as provided by the. The statute of. Japan Statute Of Limitations Tax.
From www.scribd.com
Petitioner vs. vs. Respondent en Banc PDF Statute Of Limitations Japan Statute Of Limitations Tax Amendments to statute of limitations for reassessments or determinations with respect to taxation on overseas transactions. The constitution of japan declares the principle of “taxation under the law,” in article 30, “the people shall be liable to taxation as provided by the. However, this can be extended in cases. The statute of limitations period for audits of tax returns is. Japan Statute Of Limitations Tax.
From www.curadebt.com
Tax Evasion vs Tax Fraud And The Statute Of Limitations CuraDebt Japan Statute Of Limitations Tax Amendments to statute of limitations for reassessments or determinations with respect to taxation on overseas transactions. However, this can be extended in cases. The constitution of japan declares the principle of “taxation under the law,” in article 30, “the people shall be liable to taxation as provided by the. The standard statute of limitations under audit is currently five years;. Japan Statute Of Limitations Tax.
From synder.com
How Far Back IRS Can Audit IRS Audit Time Frames Japan Statute Of Limitations Tax Amendments to statute of limitations for reassessments or determinations with respect to taxation on overseas transactions. The statute of limitations period for audits of tax returns is generally five years (seven years for transfer pricing). The standard statute of limitations under audit is currently five years; The statute of limitations for corporation tax or consumption tax is 5 years (6. Japan Statute Of Limitations Tax.
From optimataxrelief.com
What is the IRS Collection Statute of Limitations? Optima Tax Relief Japan Statute Of Limitations Tax The standard statute of limitations under audit is currently five years; Amendments to statute of limitations for reassessments or determinations with respect to taxation on overseas transactions. The constitution of japan declares the principle of “taxation under the law,” in article 30, “the people shall be liable to taxation as provided by the. However, this can be extended in cases.. Japan Statute Of Limitations Tax.
From hxeiictet.blob.core.windows.net
Statute Of Limitations On Alabama State Taxes at Nina Scholl blog Japan Statute Of Limitations Tax However, this can be extended in cases. Amendments to statute of limitations for reassessments or determinations with respect to taxation on overseas transactions. The statute of limitations for corporation tax or consumption tax is 5 years (6 years for corporation tax in transfer pricing, 7. The constitution of japan declares the principle of “taxation under the law,” in article 30,. Japan Statute Of Limitations Tax.
From www.scribd.com
Philippine Taxation 101 PDF Statute Of Limitations Taxes Japan Statute Of Limitations Tax The statute of limitations period for audits of tax returns is generally five years (seven years for transfer pricing). However, this can be extended in cases. The statute of limitations for corporation tax or consumption tax is 5 years (6 years for corporation tax in transfer pricing, 7. Amendments to statute of limitations for reassessments or determinations with respect to. Japan Statute Of Limitations Tax.
From hxelohzvq.blob.core.windows.net
Statute Of Limitations Ny Taxes at Antonio Ruffin blog Japan Statute Of Limitations Tax The statute of limitations for corporation tax or consumption tax is 5 years (6 years for corporation tax in transfer pricing, 7. The constitution of japan declares the principle of “taxation under the law,” in article 30, “the people shall be liable to taxation as provided by the. In determining the residency of a company for tax purposes, japan utilizes. Japan Statute Of Limitations Tax.
From fyolxbami.blob.core.windows.net
Statute Of Limitations Taxes at Linda Newton blog Japan Statute Of Limitations Tax In determining the residency of a company for tax purposes, japan utilizes the ‘place of head office or main office’ concept, not the ‘effective place. Amendments to statute of limitations for reassessments or determinations with respect to taxation on overseas transactions. The statute of limitations period for audits of tax returns is generally five years (seven years for transfer pricing).. Japan Statute Of Limitations Tax.
From crixeo.com
IRS Statute Of Limitations A Comprehensive Guide Crixeo Japan Statute Of Limitations Tax However, this can be extended in cases. The standard statute of limitations under audit is currently five years; The statute of limitations for corporation tax or consumption tax is 5 years (6 years for corporation tax in transfer pricing, 7. The constitution of japan declares the principle of “taxation under the law,” in article 30, “the people shall be liable. Japan Statute Of Limitations Tax.
From tax-expatriation.com
U.S citizens (USCs) and Lawful Permanent Residents (LPRs) Caution When Japan Statute Of Limitations Tax The standard statute of limitations under audit is currently five years; Amendments to statute of limitations for reassessments or determinations with respect to taxation on overseas transactions. In determining the residency of a company for tax purposes, japan utilizes the ‘place of head office or main office’ concept, not the ‘effective place. However, in cases of tax evasion, the statute. Japan Statute Of Limitations Tax.
From exogrtoaf.blob.core.windows.net
New York Executive Order Statute Of Limitations at Roselyn Hudson blog Japan Statute Of Limitations Tax However, in cases of tax evasion, the statute of limitations is seven years. The statute of limitations for corporation tax or consumption tax is 5 years (6 years for corporation tax in transfer pricing, 7. The statute of limitations period for audits of tax returns is generally five years (seven years for transfer pricing). However, this can be extended in. Japan Statute Of Limitations Tax.
From hxepmjnsx.blob.core.windows.net
What Is The Statute Of Limitations For Statutory Rape In Pennsylvania Japan Statute Of Limitations Tax However, in cases of tax evasion, the statute of limitations is seven years. However, this can be extended in cases. The standard statute of limitations under audit is currently five years; Amendments to statute of limitations for reassessments or determinations with respect to taxation on overseas transactions. The statute of limitations period for audits of tax returns is generally five. Japan Statute Of Limitations Tax.
From foundersguide.com
A Foreigner's Guide to Japanese Taxation Founder's Guide Japan Statute Of Limitations Tax However, in cases of tax evasion, the statute of limitations is seven years. The standard statute of limitations under audit is currently five years; The constitution of japan declares the principle of “taxation under the law,” in article 30, “the people shall be liable to taxation as provided by the. The statute of limitations period for audits of tax returns. Japan Statute Of Limitations Tax.
From www.scribd.com
Digests of Cases Decided by CTA PDF Statute Of Limitations Taxes Japan Statute Of Limitations Tax However, in cases of tax evasion, the statute of limitations is seven years. The standard statute of limitations under audit is currently five years; The statute of limitations for corporation tax or consumption tax is 5 years (6 years for corporation tax in transfer pricing, 7. Amendments to statute of limitations for reassessments or determinations with respect to taxation on. Japan Statute Of Limitations Tax.
From gioausvvj.blob.core.windows.net
Statute Of Limitations California State Tax at Daniel Skillman blog Japan Statute Of Limitations Tax The statute of limitations for corporation tax or consumption tax is 5 years (6 years for corporation tax in transfer pricing, 7. The standard statute of limitations under audit is currently five years; However, this can be extended in cases. The statute of limitations period for audits of tax returns is generally five years (seven years for transfer pricing). However,. Japan Statute Of Limitations Tax.
From exownpuui.blob.core.windows.net
Zetwerk Tax Evasion at Anthony Collins blog Japan Statute Of Limitations Tax The standard statute of limitations under audit is currently five years; The statute of limitations period for audits of tax returns is generally five years (seven years for transfer pricing). However, this can be extended in cases. In determining the residency of a company for tax purposes, japan utilizes the ‘place of head office or main office’ concept, not the. Japan Statute Of Limitations Tax.
From www.degruyter.com
Japan’S Finance and Taxation 19401956 Japan Statute Of Limitations Tax However, this can be extended in cases. The statute of limitations period for audits of tax returns is generally five years (seven years for transfer pricing). Amendments to statute of limitations for reassessments or determinations with respect to taxation on overseas transactions. However, in cases of tax evasion, the statute of limitations is seven years. The statute of limitations for. Japan Statute Of Limitations Tax.
From www.taxcontroversy.com
What is the Statute of Limitations in Federal Tax Cases? Silver Law PLC Japan Statute Of Limitations Tax The statute of limitations for corporation tax or consumption tax is 5 years (6 years for corporation tax in transfer pricing, 7. Amendments to statute of limitations for reassessments or determinations with respect to taxation on overseas transactions. The statute of limitations period for audits of tax returns is generally five years (seven years for transfer pricing). The standard statute. Japan Statute Of Limitations Tax.