What Do You Mean By Time Period Of Vibrating Object . For example, if the period of a vibration is 0.1. We define periodic motion to be a motion that repeats itself at regular time intervals, such as exhibited by the guitar string or by an object on a spring moving up and. Simple harmonic motion is an example of periodic motion. A motion that repeats itself over time is said to be periodic and has a period, \ (t\), measured in seconds. A vibrating object is repeating its motion over and over again, often in a periodic manner. Given a disturbance from its usual resting or. The time for one complete vibration is called the periodperioda time period (denoted by 't'' ) is the time taken for one complete. The time for one complete vibration is called the period (t) and is measured in seconds. The usual physics terminology for motion that repeats itself over and over is periodic motion, and the time required for one repetition. We define periodic motion to be a motion that repeats itself at regular time intervals, such as exhibited by the guitar string or by an.
from dokumen.tips
The time for one complete vibration is called the period (t) and is measured in seconds. For example, if the period of a vibration is 0.1. The usual physics terminology for motion that repeats itself over and over is periodic motion, and the time required for one repetition. The time for one complete vibration is called the periodperioda time period (denoted by 't'' ) is the time taken for one complete. Given a disturbance from its usual resting or. A motion that repeats itself over time is said to be periodic and has a period, \ (t\), measured in seconds. We define periodic motion to be a motion that repeats itself at regular time intervals, such as exhibited by the guitar string or by an object on a spring moving up and. Simple harmonic motion is an example of periodic motion. A vibrating object is repeating its motion over and over again, often in a periodic manner. We define periodic motion to be a motion that repeats itself at regular time intervals, such as exhibited by the guitar string or by an.
(PPTX) CHAPTER 7 PHYSICS FOR JUNIOR HIGH SCHOOL VIII. SOUND Sound is
What Do You Mean By Time Period Of Vibrating Object A vibrating object is repeating its motion over and over again, often in a periodic manner. Given a disturbance from its usual resting or. For example, if the period of a vibration is 0.1. We define periodic motion to be a motion that repeats itself at regular time intervals, such as exhibited by the guitar string or by an. We define periodic motion to be a motion that repeats itself at regular time intervals, such as exhibited by the guitar string or by an object on a spring moving up and. Simple harmonic motion is an example of periodic motion. The usual physics terminology for motion that repeats itself over and over is periodic motion, and the time required for one repetition. A vibrating object is repeating its motion over and over again, often in a periodic manner. A motion that repeats itself over time is said to be periodic and has a period, \ (t\), measured in seconds. The time for one complete vibration is called the period (t) and is measured in seconds. The time for one complete vibration is called the periodperioda time period (denoted by 't'' ) is the time taken for one complete.
From www.youtube.com
How does the sound produced by a vibrating object in a medium reach What Do You Mean By Time Period Of Vibrating Object The time for one complete vibration is called the periodperioda time period (denoted by 't'' ) is the time taken for one complete. Given a disturbance from its usual resting or. A motion that repeats itself over time is said to be periodic and has a period, \ (t\), measured in seconds. The usual physics terminology for motion that repeats. What Do You Mean By Time Period Of Vibrating Object.
From www.youtube.com
How does the sound produced by a vibrating object in a medium reach What Do You Mean By Time Period Of Vibrating Object The usual physics terminology for motion that repeats itself over and over is periodic motion, and the time required for one repetition. Given a disturbance from its usual resting or. We define periodic motion to be a motion that repeats itself at regular time intervals, such as exhibited by the guitar string or by an. For example, if the period. What Do You Mean By Time Period Of Vibrating Object.
From www.toppr.com
A sound wave is vibrating at frequency 50 Hz. What is its time period What Do You Mean By Time Period Of Vibrating Object Simple harmonic motion is an example of periodic motion. The time for one complete vibration is called the period (t) and is measured in seconds. We define periodic motion to be a motion that repeats itself at regular time intervals, such as exhibited by the guitar string or by an. Given a disturbance from its usual resting or. A vibrating. What Do You Mean By Time Period Of Vibrating Object.
From www.numerade.com
SOLVEDThe time period of a vibrating body is 0.1 s. Find its frequency. What Do You Mean By Time Period Of Vibrating Object The time for one complete vibration is called the periodperioda time period (denoted by 't'' ) is the time taken for one complete. The usual physics terminology for motion that repeats itself over and over is periodic motion, and the time required for one repetition. A motion that repeats itself over time is said to be periodic and has a. What Do You Mean By Time Period Of Vibrating Object.
From www.youtube.com
Cinema 4D Tutorial Dynamic vibrating object with turbulence / make What Do You Mean By Time Period Of Vibrating Object A motion that repeats itself over time is said to be periodic and has a period, \ (t\), measured in seconds. The time for one complete vibration is called the period (t) and is measured in seconds. Given a disturbance from its usual resting or. We define periodic motion to be a motion that repeats itself at regular time intervals,. What Do You Mean By Time Period Of Vibrating Object.
From www.chegg.com
Solved For the vibrating object , based on the assumptions, What Do You Mean By Time Period Of Vibrating Object The usual physics terminology for motion that repeats itself over and over is periodic motion, and the time required for one repetition. We define periodic motion to be a motion that repeats itself at regular time intervals, such as exhibited by the guitar string or by an object on a spring moving up and. The time for one complete vibration. What Do You Mean By Time Period Of Vibrating Object.
From brainly.in
A vibrating objects takes 50 seconds in order to complete 35 What Do You Mean By Time Period Of Vibrating Object A vibrating object is repeating its motion over and over again, often in a periodic manner. A motion that repeats itself over time is said to be periodic and has a period, \ (t\), measured in seconds. We define periodic motion to be a motion that repeats itself at regular time intervals, such as exhibited by the guitar string or. What Do You Mean By Time Period Of Vibrating Object.
From nereadelezana.com
BLOS gif — Nerea de Lezana What Do You Mean By Time Period Of Vibrating Object The time for one complete vibration is called the period (t) and is measured in seconds. A motion that repeats itself over time is said to be periodic and has a period, \ (t\), measured in seconds. We define periodic motion to be a motion that repeats itself at regular time intervals, such as exhibited by the guitar string or. What Do You Mean By Time Period Of Vibrating Object.
From www.numerade.com
SOLVED A vibrating object complete 500 cycles in 10 seconds. Calculate What Do You Mean By Time Period Of Vibrating Object Simple harmonic motion is an example of periodic motion. A vibrating object is repeating its motion over and over again, often in a periodic manner. We define periodic motion to be a motion that repeats itself at regular time intervals, such as exhibited by the guitar string or by an. For example, if the period of a vibration is 0.1.. What Do You Mean By Time Period Of Vibrating Object.
From slideplayer.com
CHAPTER 25 Vibration & Waves. ppt download What Do You Mean By Time Period Of Vibrating Object Simple harmonic motion is an example of periodic motion. Given a disturbance from its usual resting or. We define periodic motion to be a motion that repeats itself at regular time intervals, such as exhibited by the guitar string or by an object on a spring moving up and. The time for one complete vibration is called the period (t). What Do You Mean By Time Period Of Vibrating Object.
From www.gauthmath.com
Solved time 29. Which graph shows that the object is at rest? C. C A What Do You Mean By Time Period Of Vibrating Object A motion that repeats itself over time is said to be periodic and has a period, \ (t\), measured in seconds. We define periodic motion to be a motion that repeats itself at regular time intervals, such as exhibited by the guitar string or by an. The time for one complete vibration is called the periodperioda time period (denoted by. What Do You Mean By Time Period Of Vibrating Object.
From brainly.in
Explain how sound produced by a vibrating object reaches your ears what What Do You Mean By Time Period Of Vibrating Object The time for one complete vibration is called the periodperioda time period (denoted by 't'' ) is the time taken for one complete. The usual physics terminology for motion that repeats itself over and over is periodic motion, and the time required for one repetition. For example, if the period of a vibration is 0.1. We define periodic motion to. What Do You Mean By Time Period Of Vibrating Object.
From solvedlib.com
A particle vibrates in SHM along a straight line. Its… SolvedLib What Do You Mean By Time Period Of Vibrating Object Simple harmonic motion is an example of periodic motion. Given a disturbance from its usual resting or. The time for one complete vibration is called the period (t) and is measured in seconds. We define periodic motion to be a motion that repeats itself at regular time intervals, such as exhibited by the guitar string or by an. We define. What Do You Mean By Time Period Of Vibrating Object.
From brainly.in
E. Link and Learn (Mathematics) We know that a vibrating object What Do You Mean By Time Period Of Vibrating Object Given a disturbance from its usual resting or. A motion that repeats itself over time is said to be periodic and has a period, \ (t\), measured in seconds. Simple harmonic motion is an example of periodic motion. A vibrating object is repeating its motion over and over again, often in a periodic manner. The time for one complete vibration. What Do You Mean By Time Period Of Vibrating Object.
From www.chegg.com
Solved An object is vibrating along the xaxis at a What Do You Mean By Time Period Of Vibrating Object We define periodic motion to be a motion that repeats itself at regular time intervals, such as exhibited by the guitar string or by an. The time for one complete vibration is called the periodperioda time period (denoted by 't'' ) is the time taken for one complete. We define periodic motion to be a motion that repeats itself at. What Do You Mean By Time Period Of Vibrating Object.
From www.youtube.com
How does the sound produced by a vibrating object in a medium reach What Do You Mean By Time Period Of Vibrating Object We define periodic motion to be a motion that repeats itself at regular time intervals, such as exhibited by the guitar string or by an object on a spring moving up and. The usual physics terminology for motion that repeats itself over and over is periodic motion, and the time required for one repetition. Given a disturbance from its usual. What Do You Mean By Time Period Of Vibrating Object.
From www.chegg.com
Solved Sketch an FBD and an ID for each vibrating object in What Do You Mean By Time Period Of Vibrating Object Simple harmonic motion is an example of periodic motion. The usual physics terminology for motion that repeats itself over and over is periodic motion, and the time required for one repetition. A motion that repeats itself over time is said to be periodic and has a period, \ (t\), measured in seconds. A vibrating object is repeating its motion over. What Do You Mean By Time Period Of Vibrating Object.
From brainly.in
An object is vibrating 100 hz what is its time period Brainly.in What Do You Mean By Time Period Of Vibrating Object A vibrating object is repeating its motion over and over again, often in a periodic manner. The time for one complete vibration is called the periodperioda time period (denoted by 't'' ) is the time taken for one complete. A motion that repeats itself over time is said to be periodic and has a period, \ (t\), measured in seconds.. What Do You Mean By Time Period Of Vibrating Object.
From www.gauthmath.com
Solved Name_ Comparing and Transforming Sine Assignment 13 MCF3M 1 What Do You Mean By Time Period Of Vibrating Object For example, if the period of a vibration is 0.1. A motion that repeats itself over time is said to be periodic and has a period, \ (t\), measured in seconds. We define periodic motion to be a motion that repeats itself at regular time intervals, such as exhibited by the guitar string or by an. We define periodic motion. What Do You Mean By Time Period Of Vibrating Object.
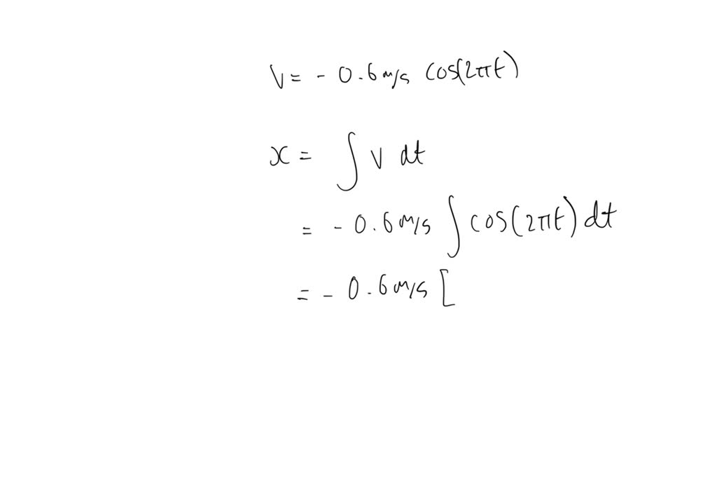
From www.numerade.com
SOLVED The velocity of a vibrating object changes as a function of What Do You Mean By Time Period Of Vibrating Object The time for one complete vibration is called the period (t) and is measured in seconds. For example, if the period of a vibration is 0.1. We define periodic motion to be a motion that repeats itself at regular time intervals, such as exhibited by the guitar string or by an. Simple harmonic motion is an example of periodic motion.. What Do You Mean By Time Period Of Vibrating Object.
From www.researchgate.net
(PDF) Visual Vibration Analysis of Vibrating Object at Low Frequency What Do You Mean By Time Period Of Vibrating Object Given a disturbance from its usual resting or. A vibrating object is repeating its motion over and over again, often in a periodic manner. The usual physics terminology for motion that repeats itself over and over is periodic motion, and the time required for one repetition. The time for one complete vibration is called the period (t) and is measured. What Do You Mean By Time Period Of Vibrating Object.
From dokumen.tips
(PPTX) CHAPTER 7 PHYSICS FOR JUNIOR HIGH SCHOOL VIII. SOUND Sound is What Do You Mean By Time Period Of Vibrating Object A motion that repeats itself over time is said to be periodic and has a period, \ (t\), measured in seconds. The usual physics terminology for motion that repeats itself over and over is periodic motion, and the time required for one repetition. We define periodic motion to be a motion that repeats itself at regular time intervals, such as. What Do You Mean By Time Period Of Vibrating Object.
From www.facebook.com
Facebook What Do You Mean By Time Period Of Vibrating Object The time for one complete vibration is called the periodperioda time period (denoted by 't'' ) is the time taken for one complete. A vibrating object is repeating its motion over and over again, often in a periodic manner. We define periodic motion to be a motion that repeats itself at regular time intervals, such as exhibited by the guitar. What Do You Mean By Time Period Of Vibrating Object.
From www.youtube.com
Sound is produced by a vibrating body// Class 8 Physics // Chapter What Do You Mean By Time Period Of Vibrating Object A motion that repeats itself over time is said to be periodic and has a period, \ (t\), measured in seconds. The usual physics terminology for motion that repeats itself over and over is periodic motion, and the time required for one repetition. For example, if the period of a vibration is 0.1. Given a disturbance from its usual resting. What Do You Mean By Time Period Of Vibrating Object.
From www.researchgate.net
Numerical model of a vibrating object and the corresponding sensing What Do You Mean By Time Period Of Vibrating Object Given a disturbance from its usual resting or. A vibrating object is repeating its motion over and over again, often in a periodic manner. We define periodic motion to be a motion that repeats itself at regular time intervals, such as exhibited by the guitar string or by an object on a spring moving up and. The time for one. What Do You Mean By Time Period Of Vibrating Object.
From www.chegg.com
Solved The horizontal motion of some vibrating object in What Do You Mean By Time Period Of Vibrating Object A vibrating object is repeating its motion over and over again, often in a periodic manner. The usual physics terminology for motion that repeats itself over and over is periodic motion, and the time required for one repetition. We define periodic motion to be a motion that repeats itself at regular time intervals, such as exhibited by the guitar string. What Do You Mean By Time Period Of Vibrating Object.
From www.toppr.com
How does the sound produced by a vibrating object in a medium reach What Do You Mean By Time Period Of Vibrating Object We define periodic motion to be a motion that repeats itself at regular time intervals, such as exhibited by the guitar string or by an object on a spring moving up and. A vibrating object is repeating its motion over and over again, often in a periodic manner. Given a disturbance from its usual resting or. Simple harmonic motion is. What Do You Mean By Time Period Of Vibrating Object.
From www.chegg.com
Solved 4) A vibrating object completes 8 complete vibrations What Do You Mean By Time Period Of Vibrating Object For example, if the period of a vibration is 0.1. Given a disturbance from its usual resting or. A vibrating object is repeating its motion over and over again, often in a periodic manner. The time for one complete vibration is called the period (t) and is measured in seconds. Simple harmonic motion is an example of periodic motion. The. What Do You Mean By Time Period Of Vibrating Object.
From www.toppr.com
A sound wave is vibrating at frequency 50 Hz. What is its time period What Do You Mean By Time Period Of Vibrating Object The time for one complete vibration is called the period (t) and is measured in seconds. We define periodic motion to be a motion that repeats itself at regular time intervals, such as exhibited by the guitar string or by an object on a spring moving up and. For example, if the period of a vibration is 0.1. The time. What Do You Mean By Time Period Of Vibrating Object.
From brainly.in
two objects are vibrating with frequency of 0.1Hz and 100 Hz. Calculate What Do You Mean By Time Period Of Vibrating Object The time for one complete vibration is called the period (t) and is measured in seconds. A motion that repeats itself over time is said to be periodic and has a period, \ (t\), measured in seconds. We define periodic motion to be a motion that repeats itself at regular time intervals, such as exhibited by the guitar string or. What Do You Mean By Time Period Of Vibrating Object.
From askfilo.com
The time period of a vibrating object is 0.005 s. The frequency of waves What Do You Mean By Time Period Of Vibrating Object A motion that repeats itself over time is said to be periodic and has a period, \ (t\), measured in seconds. The usual physics terminology for motion that repeats itself over and over is periodic motion, and the time required for one repetition. We define periodic motion to be a motion that repeats itself at regular time intervals, such as. What Do You Mean By Time Period Of Vibrating Object.
From www.researchgate.net
Shape reconstruction of a vibrating object, recording time 30 µs. Two What Do You Mean By Time Period Of Vibrating Object For example, if the period of a vibration is 0.1. We define periodic motion to be a motion that repeats itself at regular time intervals, such as exhibited by the guitar string or by an. We define periodic motion to be a motion that repeats itself at regular time intervals, such as exhibited by the guitar string or by an. What Do You Mean By Time Period Of Vibrating Object.
From brainly.in
an object os vibrating at 50 Hz . what is its time period Brainly.in What Do You Mean By Time Period Of Vibrating Object We define periodic motion to be a motion that repeats itself at regular time intervals, such as exhibited by the guitar string or by an object on a spring moving up and. Simple harmonic motion is an example of periodic motion. A vibrating object is repeating its motion over and over again, often in a periodic manner. Given a disturbance. What Do You Mean By Time Period Of Vibrating Object.
From www.doubtnut.com
How does the sound produced by the vibrating object in a medium reach What Do You Mean By Time Period Of Vibrating Object The time for one complete vibration is called the period (t) and is measured in seconds. The usual physics terminology for motion that repeats itself over and over is periodic motion, and the time required for one repetition. Simple harmonic motion is an example of periodic motion. Given a disturbance from its usual resting or. We define periodic motion to. What Do You Mean By Time Period Of Vibrating Object.
From www.youtube.com
1. How does the sound produced by a vibrating object in a medium reach What Do You Mean By Time Period Of Vibrating Object We define periodic motion to be a motion that repeats itself at regular time intervals, such as exhibited by the guitar string or by an object on a spring moving up and. We define periodic motion to be a motion that repeats itself at regular time intervals, such as exhibited by the guitar string or by an. Simple harmonic motion. What Do You Mean By Time Period Of Vibrating Object.