How To Find Length Of Seconds Pendulum . Then l t2 value in each case is determined and average value. A second's pendulum is a pendulum whose time period is exactly two seconds, one second for the swing to one side and one. For different lengths of strings, the time period (t) and the effective length (l) of a pendulum can be evaluated by experiment. We first need to find the moment of inertia of the beam. We first need to find the moment of inertia of the beam. We can then use the equation for the period of a. We are asked to find the length of the physical pendulum with a known mass. We are asked to find the length of the physical pendulum with a known mass. Play with one or two pendulums and discover how the period of a simple pendulum depends on the length of the string, the mass of the pendulum bob, and the amplitude of the swing.
from www.doubtnut.com
A second's pendulum is a pendulum whose time period is exactly two seconds, one second for the swing to one side and one. Play with one or two pendulums and discover how the period of a simple pendulum depends on the length of the string, the mass of the pendulum bob, and the amplitude of the swing. We first need to find the moment of inertia of the beam. We can then use the equation for the period of a. We first need to find the moment of inertia of the beam. We are asked to find the length of the physical pendulum with a known mass. We are asked to find the length of the physical pendulum with a known mass. Then l t2 value in each case is determined and average value. For different lengths of strings, the time period (t) and the effective length (l) of a pendulum can be evaluated by experiment.
Find the length of seconds pendulum at a place where g = pi^(2) m//s^(
How To Find Length Of Seconds Pendulum Play with one or two pendulums and discover how the period of a simple pendulum depends on the length of the string, the mass of the pendulum bob, and the amplitude of the swing. We first need to find the moment of inertia of the beam. We can then use the equation for the period of a. We first need to find the moment of inertia of the beam. We are asked to find the length of the physical pendulum with a known mass. For different lengths of strings, the time period (t) and the effective length (l) of a pendulum can be evaluated by experiment. Then l t2 value in each case is determined and average value. We are asked to find the length of the physical pendulum with a known mass. A second's pendulum is a pendulum whose time period is exactly two seconds, one second for the swing to one side and one. Play with one or two pendulums and discover how the period of a simple pendulum depends on the length of the string, the mass of the pendulum bob, and the amplitude of the swing.
From www.toppr.com
Calculate length of seconds pendulum a place, where g = 9.78m/s2. How To Find Length Of Seconds Pendulum We first need to find the moment of inertia of the beam. For different lengths of strings, the time period (t) and the effective length (l) of a pendulum can be evaluated by experiment. A second's pendulum is a pendulum whose time period is exactly two seconds, one second for the swing to one side and one. Play with one. How To Find Length Of Seconds Pendulum.
From byjus.com
56. The length of second pendulum at the surface of earth is 1 m How To Find Length Of Seconds Pendulum A second's pendulum is a pendulum whose time period is exactly two seconds, one second for the swing to one side and one. For different lengths of strings, the time period (t) and the effective length (l) of a pendulum can be evaluated by experiment. Play with one or two pendulums and discover how the period of a simple pendulum. How To Find Length Of Seconds Pendulum.
From www.toppr.com
The length of a second pendulum is 1 m [where g=9.8 m/s^{2}]. What will How To Find Length Of Seconds Pendulum For different lengths of strings, the time period (t) and the effective length (l) of a pendulum can be evaluated by experiment. We are asked to find the length of the physical pendulum with a known mass. Play with one or two pendulums and discover how the period of a simple pendulum depends on the length of the string, the. How To Find Length Of Seconds Pendulum.
From www.doubtnut.com
Find the length of seconds pendulum at a place where g = pi^(2) m//s^( How To Find Length Of Seconds Pendulum Play with one or two pendulums and discover how the period of a simple pendulum depends on the length of the string, the mass of the pendulum bob, and the amplitude of the swing. We first need to find the moment of inertia of the beam. We are asked to find the length of the physical pendulum with a known. How To Find Length Of Seconds Pendulum.
From infinitylearn.com
Using a Simple Pendulum, Plot its LT2 Graph and Use it to Find the How To Find Length Of Seconds Pendulum We are asked to find the length of the physical pendulum with a known mass. We first need to find the moment of inertia of the beam. We are asked to find the length of the physical pendulum with a known mass. Then l t2 value in each case is determined and average value. We can then use the equation. How To Find Length Of Seconds Pendulum.
From www.youtube.com
Length of Seconds Pendulum on the Earth and Moon for IITJEE and NEET How To Find Length Of Seconds Pendulum We are asked to find the length of the physical pendulum with a known mass. Play with one or two pendulums and discover how the period of a simple pendulum depends on the length of the string, the mass of the pendulum bob, and the amplitude of the swing. We first need to find the moment of inertia of the. How To Find Length Of Seconds Pendulum.
From www.youtube.com
To determine the length of the second pendulum second Pendulum How To Find Length Of Seconds Pendulum Play with one or two pendulums and discover how the period of a simple pendulum depends on the length of the string, the mass of the pendulum bob, and the amplitude of the swing. We first need to find the moment of inertia of the beam. A second's pendulum is a pendulum whose time period is exactly two seconds, one. How To Find Length Of Seconds Pendulum.
From mungfali.com
Simple Pendulum Equation How To Find Length Of Seconds Pendulum We first need to find the moment of inertia of the beam. Play with one or two pendulums and discover how the period of a simple pendulum depends on the length of the string, the mass of the pendulum bob, and the amplitude of the swing. We first need to find the moment of inertia of the beam. For different. How To Find Length Of Seconds Pendulum.
From www.toppr.com
The length of the simple pendulum which ticks seconds is How To Find Length Of Seconds Pendulum We first need to find the moment of inertia of the beam. We are asked to find the length of the physical pendulum with a known mass. A second's pendulum is a pendulum whose time period is exactly two seconds, one second for the swing to one side and one. We first need to find the moment of inertia of. How To Find Length Of Seconds Pendulum.
From www.toppr.com
Length of a second's pendulum on the surface of Earth is 1m . What be How To Find Length Of Seconds Pendulum We are asked to find the length of the physical pendulum with a known mass. Play with one or two pendulums and discover how the period of a simple pendulum depends on the length of the string, the mass of the pendulum bob, and the amplitude of the swing. For different lengths of strings, the time period (t) and the. How To Find Length Of Seconds Pendulum.
From www.youtube.com
Simple Pendulum Physics Practical class 11 find the effective length How To Find Length Of Seconds Pendulum We can then use the equation for the period of a. Play with one or two pendulums and discover how the period of a simple pendulum depends on the length of the string, the mass of the pendulum bob, and the amplitude of the swing. We first need to find the moment of inertia of the beam. For different lengths. How To Find Length Of Seconds Pendulum.
From www.tutorix.com
To find effective length of seconds pendulum using graph How To Find Length Of Seconds Pendulum We first need to find the moment of inertia of the beam. We first need to find the moment of inertia of the beam. Play with one or two pendulums and discover how the period of a simple pendulum depends on the length of the string, the mass of the pendulum bob, and the amplitude of the swing. Then l. How To Find Length Of Seconds Pendulum.
From www.doubtnut.com
The length of a second pendulum is How To Find Length Of Seconds Pendulum We are asked to find the length of the physical pendulum with a known mass. Play with one or two pendulums and discover how the period of a simple pendulum depends on the length of the string, the mass of the pendulum bob, and the amplitude of the swing. We first need to find the moment of inertia of the. How To Find Length Of Seconds Pendulum.
From physicspracticalreadings.blogspot.com
Class 11 Physics practical reading Using a simple pendulum, plot LT How To Find Length Of Seconds Pendulum A second's pendulum is a pendulum whose time period is exactly two seconds, one second for the swing to one side and one. For different lengths of strings, the time period (t) and the effective length (l) of a pendulum can be evaluated by experiment. Play with one or two pendulums and discover how the period of a simple pendulum. How To Find Length Of Seconds Pendulum.
From byjus.com
The length of the second's pendulum in a clock is increased to 4 times How To Find Length Of Seconds Pendulum We first need to find the moment of inertia of the beam. We can then use the equation for the period of a. A second's pendulum is a pendulum whose time period is exactly two seconds, one second for the swing to one side and one. For different lengths of strings, the time period (t) and the effective length (l). How To Find Length Of Seconds Pendulum.
From www.askiitians.com
Mechanics The length of the second pendulum on the surface of askIITians How To Find Length Of Seconds Pendulum A second's pendulum is a pendulum whose time period is exactly two seconds, one second for the swing to one side and one. We first need to find the moment of inertia of the beam. We are asked to find the length of the physical pendulum with a known mass. We first need to find the moment of inertia of. How To Find Length Of Seconds Pendulum.
From exoqmlwbk.blob.core.windows.net
How To Find Length Of A Simple Pendulum at Bryce Lee blog How To Find Length Of Seconds Pendulum We can then use the equation for the period of a. Play with one or two pendulums and discover how the period of a simple pendulum depends on the length of the string, the mass of the pendulum bob, and the amplitude of the swing. A second's pendulum is a pendulum whose time period is exactly two seconds, one second. How To Find Length Of Seconds Pendulum.
From www.tutorix.com
To find effective length of seconds pendulum using graph How To Find Length Of Seconds Pendulum We can then use the equation for the period of a. A second's pendulum is a pendulum whose time period is exactly two seconds, one second for the swing to one side and one. Play with one or two pendulums and discover how the period of a simple pendulum depends on the length of the string, the mass of the. How To Find Length Of Seconds Pendulum.
From www.tescaglobal.com
Determination of acceleration due to gravity using simple pendulum How To Find Length Of Seconds Pendulum We first need to find the moment of inertia of the beam. Then l t2 value in each case is determined and average value. For different lengths of strings, the time period (t) and the effective length (l) of a pendulum can be evaluated by experiment. We can then use the equation for the period of a. Play with one. How To Find Length Of Seconds Pendulum.
From www.venkatsacademy.com
Problems on Simple Pendulum with Solutions IIT JEE and NEET Physics How To Find Length Of Seconds Pendulum For different lengths of strings, the time period (t) and the effective length (l) of a pendulum can be evaluated by experiment. We are asked to find the length of the physical pendulum with a known mass. A second's pendulum is a pendulum whose time period is exactly two seconds, one second for the swing to one side and one.. How To Find Length Of Seconds Pendulum.
From answer.ya.guru
A certain frictionless simple pendulum having a length L and mass M How To Find Length Of Seconds Pendulum A second's pendulum is a pendulum whose time period is exactly two seconds, one second for the swing to one side and one. We can then use the equation for the period of a. We first need to find the moment of inertia of the beam. Play with one or two pendulums and discover how the period of a simple. How To Find Length Of Seconds Pendulum.
From www.toppr.com
If length of second pendulum four times, then its time period How To Find Length Of Seconds Pendulum For different lengths of strings, the time period (t) and the effective length (l) of a pendulum can be evaluated by experiment. Play with one or two pendulums and discover how the period of a simple pendulum depends on the length of the string, the mass of the pendulum bob, and the amplitude of the swing. We can then use. How To Find Length Of Seconds Pendulum.
From www.youtube.com
Calculate the length of a Second\'s pendulum ( the pendulum which tic How To Find Length Of Seconds Pendulum We first need to find the moment of inertia of the beam. We are asked to find the length of the physical pendulum with a known mass. For different lengths of strings, the time period (t) and the effective length (l) of a pendulum can be evaluated by experiment. Play with one or two pendulums and discover how the period. How To Find Length Of Seconds Pendulum.
From www.youtube.com
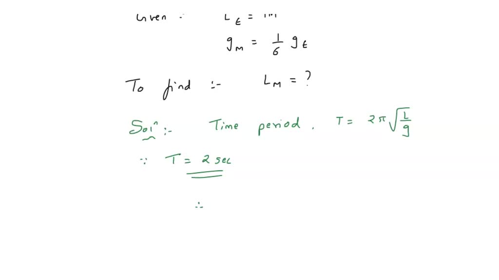
The length of a second’s pendulum at the surface of earth is 1 m. The How To Find Length Of Seconds Pendulum We can then use the equation for the period of a. We first need to find the moment of inertia of the beam. We are asked to find the length of the physical pendulum with a known mass. We are asked to find the length of the physical pendulum with a known mass. Then l t2 value in each case. How To Find Length Of Seconds Pendulum.
From infinitylearn.com
Using a Simple Pendulum, Plot its LT2 Graph and Use it to Find the How To Find Length Of Seconds Pendulum We can then use the equation for the period of a. We are asked to find the length of the physical pendulum with a known mass. We first need to find the moment of inertia of the beam. Play with one or two pendulums and discover how the period of a simple pendulum depends on the length of the string,. How To Find Length Of Seconds Pendulum.
From www.youtube.com
To find the effective length of second pendulum by L T2 graph using How To Find Length Of Seconds Pendulum A second's pendulum is a pendulum whose time period is exactly two seconds, one second for the swing to one side and one. Play with one or two pendulums and discover how the period of a simple pendulum depends on the length of the string, the mass of the pendulum bob, and the amplitude of the swing. For different lengths. How To Find Length Of Seconds Pendulum.
From www.doubtnut.com
Find the length of seconds pendulum at a place where g = pi^(2) m//s^( How To Find Length Of Seconds Pendulum A second's pendulum is a pendulum whose time period is exactly two seconds, one second for the swing to one side and one. We are asked to find the length of the physical pendulum with a known mass. We first need to find the moment of inertia of the beam. For different lengths of strings, the time period (t) and. How To Find Length Of Seconds Pendulum.
From www.youtube.com
Second's Pendulum activity12 class physics practicallength of seconds How To Find Length Of Seconds Pendulum Play with one or two pendulums and discover how the period of a simple pendulum depends on the length of the string, the mass of the pendulum bob, and the amplitude of the swing. A second's pendulum is a pendulum whose time period is exactly two seconds, one second for the swing to one side and one. We are asked. How To Find Length Of Seconds Pendulum.
From www.numerade.com
SOLVED the length of a seconds pendulum on the surface of earth is How To Find Length Of Seconds Pendulum We first need to find the moment of inertia of the beam. Play with one or two pendulums and discover how the period of a simple pendulum depends on the length of the string, the mass of the pendulum bob, and the amplitude of the swing. We can then use the equation for the period of a. We first need. How To Find Length Of Seconds Pendulum.
From www.youtube.com
How to solve for the Length of a Pendulum (Easy) YouTube How To Find Length Of Seconds Pendulum We are asked to find the length of the physical pendulum with a known mass. We first need to find the moment of inertia of the beam. We first need to find the moment of inertia of the beam. We can then use the equation for the period of a. We are asked to find the length of the physical. How To Find Length Of Seconds Pendulum.
From www.doubtnut.com
How is the length of seconds pendulum related with acceleration due How To Find Length Of Seconds Pendulum We can then use the equation for the period of a. Play with one or two pendulums and discover how the period of a simple pendulum depends on the length of the string, the mass of the pendulum bob, and the amplitude of the swing. We first need to find the moment of inertia of the beam. We first need. How To Find Length Of Seconds Pendulum.
From physicspracticalreadings.blogspot.com
Class 11 Physics practical reading Using a simple pendulum, plot LT How To Find Length Of Seconds Pendulum We can then use the equation for the period of a. Play with one or two pendulums and discover how the period of a simple pendulum depends on the length of the string, the mass of the pendulum bob, and the amplitude of the swing. We first need to find the moment of inertia of the beam. We first need. How To Find Length Of Seconds Pendulum.
From www.youtube.com
Calculate the tiem period of a simple pendulum of length one meter. The How To Find Length Of Seconds Pendulum We can then use the equation for the period of a. We are asked to find the length of the physical pendulum with a known mass. We first need to find the moment of inertia of the beam. We first need to find the moment of inertia of the beam. For different lengths of strings, the time period (t) and. How To Find Length Of Seconds Pendulum.
From brainly.in
Length of second's pendulum? Brainly.in How To Find Length Of Seconds Pendulum We first need to find the moment of inertia of the beam. A second's pendulum is a pendulum whose time period is exactly two seconds, one second for the swing to one side and one. We can then use the equation for the period of a. Play with one or two pendulums and discover how the period of a simple. How To Find Length Of Seconds Pendulum.
From pressbooks.bccampus.ca
16.4 The Simple Pendulum College Physics OpenStax How To Find Length Of Seconds Pendulum Play with one or two pendulums and discover how the period of a simple pendulum depends on the length of the string, the mass of the pendulum bob, and the amplitude of the swing. We first need to find the moment of inertia of the beam. Then l t2 value in each case is determined and average value. We are. How To Find Length Of Seconds Pendulum.