Electron Configuration For Ca2 . The calcium ion (ca 2+), however, has two electrons less. In order to write the calcium electron configuration we first need to know the number of electrons for the ca atom (there are 20 electrons). The electron configuration for calcium should be written as 1s2 2s2 2p6 3s2 3p6 4s2 and the unabbreviated electron configuration is [ar] 4s2. In this video we will write the electron configuration for ca2+, the calcium ion. Hence, the electron configuration for ca 2+ is 1s 2 2s 2 2p 6 3s 2 3p 6. Find the electron configuration of any element on the periodic table of elements with this simple, yet very useful widget. Commonly, the electron configuration is used to describe the orbitals of an atom in its ground state, but it can also be used to represent an atom that has ionized into a cation or. Find the full electronic configuration and valence electrons of any periodic element using this electron configuration calculator. We’ll also look at why calcium forms a 2+ ion.
from www.numerade.com
In this video we will write the electron configuration for ca2+, the calcium ion. The electron configuration for calcium should be written as 1s2 2s2 2p6 3s2 3p6 4s2 and the unabbreviated electron configuration is [ar] 4s2. Commonly, the electron configuration is used to describe the orbitals of an atom in its ground state, but it can also be used to represent an atom that has ionized into a cation or. In order to write the calcium electron configuration we first need to know the number of electrons for the ca atom (there are 20 electrons). Find the electron configuration of any element on the periodic table of elements with this simple, yet very useful widget. Hence, the electron configuration for ca 2+ is 1s 2 2s 2 2p 6 3s 2 3p 6. The calcium ion (ca 2+), however, has two electrons less. We’ll also look at why calcium forms a 2+ ion. Find the full electronic configuration and valence electrons of any periodic element using this electron configuration calculator.
SOLVED Write the electronic configuration of following atoms/ions Cu
Electron Configuration For Ca2 In order to write the calcium electron configuration we first need to know the number of electrons for the ca atom (there are 20 electrons). Find the full electronic configuration and valence electrons of any periodic element using this electron configuration calculator. The calcium ion (ca 2+), however, has two electrons less. In this video we will write the electron configuration for ca2+, the calcium ion. Commonly, the electron configuration is used to describe the orbitals of an atom in its ground state, but it can also be used to represent an atom that has ionized into a cation or. Find the electron configuration of any element on the periodic table of elements with this simple, yet very useful widget. The electron configuration for calcium should be written as 1s2 2s2 2p6 3s2 3p6 4s2 and the unabbreviated electron configuration is [ar] 4s2. In order to write the calcium electron configuration we first need to know the number of electrons for the ca atom (there are 20 electrons). We’ll also look at why calcium forms a 2+ ion. Hence, the electron configuration for ca 2+ is 1s 2 2s 2 2p 6 3s 2 3p 6.
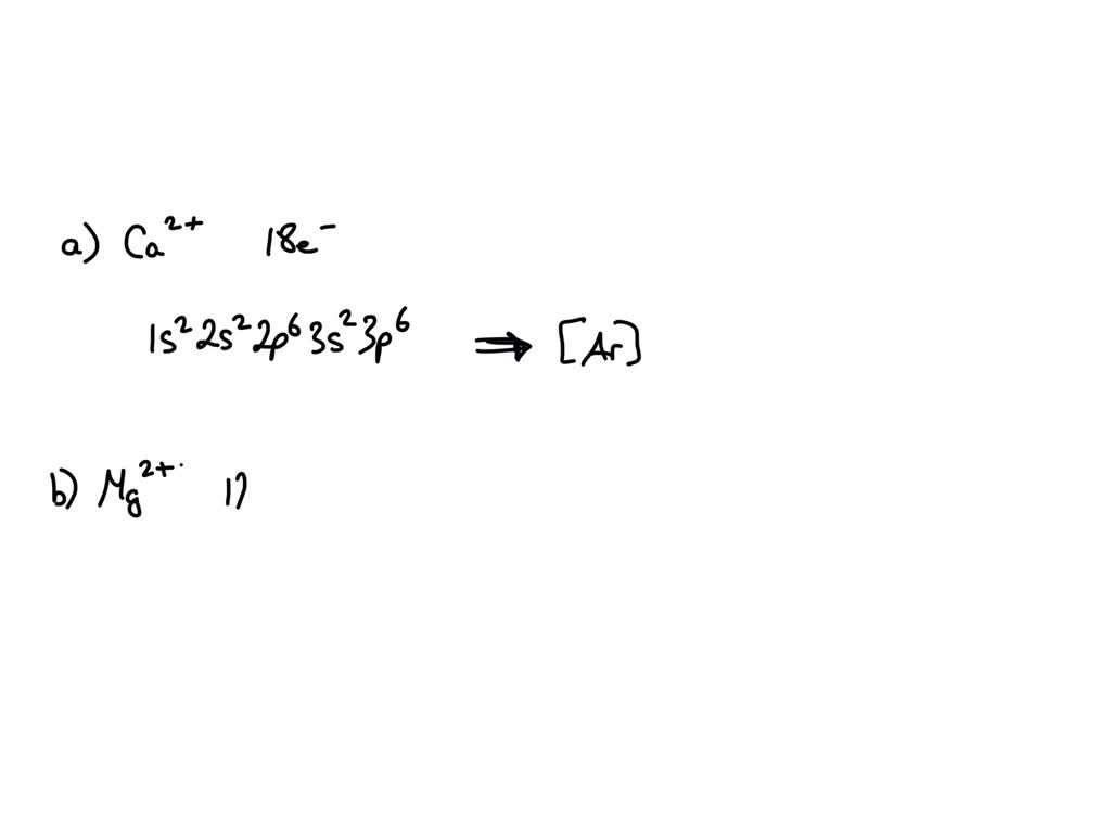
From www.showme.com
ShowMe electron configuration Ca2 Electron Configuration For Ca2 In order to write the calcium electron configuration we first need to know the number of electrons for the ca atom (there are 20 electrons). In this video we will write the electron configuration for ca2+, the calcium ion. Find the full electronic configuration and valence electrons of any periodic element using this electron configuration calculator. The calcium ion (ca. Electron Configuration For Ca2.
From www.youtube.com
Electronic configuration of Ca and Ca+2 YouTube Electron Configuration For Ca2 The electron configuration for calcium should be written as 1s2 2s2 2p6 3s2 3p6 4s2 and the unabbreviated electron configuration is [ar] 4s2. Hence, the electron configuration for ca 2+ is 1s 2 2s 2 2p 6 3s 2 3p 6. We’ll also look at why calcium forms a 2+ ion. In this video we will write the electron configuration. Electron Configuration For Ca2.
From www.numerade.com
SOLVED Using the complete subshell notation, what is the electron Electron Configuration For Ca2 We’ll also look at why calcium forms a 2+ ion. In this video we will write the electron configuration for ca2+, the calcium ion. Find the electron configuration of any element on the periodic table of elements with this simple, yet very useful widget. Commonly, the electron configuration is used to describe the orbitals of an atom in its ground. Electron Configuration For Ca2.
From www.youtube.com
Ca 2+ Electron Configuration (Calcium Ion) YouTube Electron Configuration For Ca2 Commonly, the electron configuration is used to describe the orbitals of an atom in its ground state, but it can also be used to represent an atom that has ionized into a cation or. We’ll also look at why calcium forms a 2+ ion. In this video we will write the electron configuration for ca2+, the calcium ion. Hence, the. Electron Configuration For Ca2.
From www.coursehero.com
[Solved] 1. Write the electron configurations of Rb* and Ca2+ cations Electron Configuration For Ca2 Commonly, the electron configuration is used to describe the orbitals of an atom in its ground state, but it can also be used to represent an atom that has ionized into a cation or. In order to write the calcium electron configuration we first need to know the number of electrons for the ca atom (there are 20 electrons). The. Electron Configuration For Ca2.
From www.youtube.com
How to draw the Ca2+ Lewis Dot Structure. YouTube Electron Configuration For Ca2 In order to write the calcium electron configuration we first need to know the number of electrons for the ca atom (there are 20 electrons). In this video we will write the electron configuration for ca2+, the calcium ion. Find the electron configuration of any element on the periodic table of elements with this simple, yet very useful widget. The. Electron Configuration For Ca2.
From www.numerade.com
SOLVED 6. Complete the table below for the 6 metal ions used in the Electron Configuration For Ca2 Hence, the electron configuration for ca 2+ is 1s 2 2s 2 2p 6 3s 2 3p 6. The electron configuration for calcium should be written as 1s2 2s2 2p6 3s2 3p6 4s2 and the unabbreviated electron configuration is [ar] 4s2. We’ll also look at why calcium forms a 2+ ion. Find the electron configuration of any element on the. Electron Configuration For Ca2.
From www.youtube.com
How to find Protons & Electrons for the Calcium ion (Ca 2+) YouTube Electron Configuration For Ca2 Find the full electronic configuration and valence electrons of any periodic element using this electron configuration calculator. Hence, the electron configuration for ca 2+ is 1s 2 2s 2 2p 6 3s 2 3p 6. In this video we will write the electron configuration for ca2+, the calcium ion. Find the electron configuration of any element on the periodic table. Electron Configuration For Ca2.
From www.slideserve.com
PPT Periodicity questions PowerPoint Presentation, free download ID Electron Configuration For Ca2 In this video we will write the electron configuration for ca2+, the calcium ion. We’ll also look at why calcium forms a 2+ ion. In order to write the calcium electron configuration we first need to know the number of electrons for the ca atom (there are 20 electrons). Commonly, the electron configuration is used to describe the orbitals of. Electron Configuration For Ca2.
From www.numerade.com
SOLVED Write the electronic configuration of following atoms/ions Cu Electron Configuration For Ca2 Hence, the electron configuration for ca 2+ is 1s 2 2s 2 2p 6 3s 2 3p 6. We’ll also look at why calcium forms a 2+ ion. The electron configuration for calcium should be written as 1s2 2s2 2p6 3s2 3p6 4s2 and the unabbreviated electron configuration is [ar] 4s2. Commonly, the electron configuration is used to describe the. Electron Configuration For Ca2.
From www.youtube.com
CHEMISTRY 101 Electron configurations for ions YouTube Electron Configuration For Ca2 In this video we will write the electron configuration for ca2+, the calcium ion. Commonly, the electron configuration is used to describe the orbitals of an atom in its ground state, but it can also be used to represent an atom that has ionized into a cation or. Hence, the electron configuration for ca 2+ is 1s 2 2s 2. Electron Configuration For Ca2.
From www.numerade.com
SOLVED Write the electron configuration for K+ Ca2+ and Cl . Kt Ca2+ b Electron Configuration For Ca2 The electron configuration for calcium should be written as 1s2 2s2 2p6 3s2 3p6 4s2 and the unabbreviated electron configuration is [ar] 4s2. We’ll also look at why calcium forms a 2+ ion. In order to write the calcium electron configuration we first need to know the number of electrons for the ca atom (there are 20 electrons). Hence, the. Electron Configuration For Ca2.
From www.showme.com
ShowMe electron configuration Ca2 Electron Configuration For Ca2 Hence, the electron configuration for ca 2+ is 1s 2 2s 2 2p 6 3s 2 3p 6. The electron configuration for calcium should be written as 1s2 2s2 2p6 3s2 3p6 4s2 and the unabbreviated electron configuration is [ar] 4s2. Commonly, the electron configuration is used to describe the orbitals of an atom in its ground state, but it. Electron Configuration For Ca2.
From www.sciencephoto.com
Calcium electron configuration Stock Image C029/5027 Science Electron Configuration For Ca2 We’ll also look at why calcium forms a 2+ ion. In this video we will write the electron configuration for ca2+, the calcium ion. The calcium ion (ca 2+), however, has two electrons less. Find the full electronic configuration and valence electrons of any periodic element using this electron configuration calculator. Commonly, the electron configuration is used to describe the. Electron Configuration For Ca2.
From www.chegg.com
Solved Enter the electron configuration for Ca2+. Express Electron Configuration For Ca2 The calcium ion (ca 2+), however, has two electrons less. In this video we will write the electron configuration for ca2+, the calcium ion. Find the full electronic configuration and valence electrons of any periodic element using this electron configuration calculator. We’ll also look at why calcium forms a 2+ ion. Commonly, the electron configuration is used to describe the. Electron Configuration For Ca2.
From www.slideserve.com
PPT Chapter 12 Chemical Bonding PowerPoint Presentation, free Electron Configuration For Ca2 In order to write the calcium electron configuration we first need to know the number of electrons for the ca atom (there are 20 electrons). Hence, the electron configuration for ca 2+ is 1s 2 2s 2 2p 6 3s 2 3p 6. We’ll also look at why calcium forms a 2+ ion. Find the full electronic configuration and valence. Electron Configuration For Ca2.
From mavink.com
Calcium Orbital Diagram Electron Configuration For Ca2 In order to write the calcium electron configuration we first need to know the number of electrons for the ca atom (there are 20 electrons). The calcium ion (ca 2+), however, has two electrons less. Find the full electronic configuration and valence electrons of any periodic element using this electron configuration calculator. We’ll also look at why calcium forms a. Electron Configuration For Ca2.
From www.numerade.com
SOLVED Write the complete groundstate electron configuration of Ca2 Electron Configuration For Ca2 Commonly, the electron configuration is used to describe the orbitals of an atom in its ground state, but it can also be used to represent an atom that has ionized into a cation or. The electron configuration for calcium should be written as 1s2 2s2 2p6 3s2 3p6 4s2 and the unabbreviated electron configuration is [ar] 4s2. Hence, the electron. Electron Configuration For Ca2.
From www.youtube.com
07 Abbreviated Electron Configurations YouTube Electron Configuration For Ca2 Hence, the electron configuration for ca 2+ is 1s 2 2s 2 2p 6 3s 2 3p 6. The calcium ion (ca 2+), however, has two electrons less. We’ll also look at why calcium forms a 2+ ion. Find the electron configuration of any element on the periodic table of elements with this simple, yet very useful widget. In this. Electron Configuration For Ca2.
From www.sciencefacts.net
Electron Configuration Definition, Examples, Chart, and Diagram Electron Configuration For Ca2 Commonly, the electron configuration is used to describe the orbitals of an atom in its ground state, but it can also be used to represent an atom that has ionized into a cation or. We’ll also look at why calcium forms a 2+ ion. The calcium ion (ca 2+), however, has two electrons less. Find the full electronic configuration and. Electron Configuration For Ca2.
From valenceelectrons.com
Electron Configuration for Calcium (Ca, Ca2+ ion) Electron Configuration For Ca2 The electron configuration for calcium should be written as 1s2 2s2 2p6 3s2 3p6 4s2 and the unabbreviated electron configuration is [ar] 4s2. We’ll also look at why calcium forms a 2+ ion. In this video we will write the electron configuration for ca2+, the calcium ion. Find the electron configuration of any element on the periodic table of elements. Electron Configuration For Ca2.
From www.coursehero.com
[Solved] 1. Write the electron configurations of Rb* and Ca2+ cations Electron Configuration For Ca2 Hence, the electron configuration for ca 2+ is 1s 2 2s 2 2p 6 3s 2 3p 6. The calcium ion (ca 2+), however, has two electrons less. We’ll also look at why calcium forms a 2+ ion. Find the electron configuration of any element on the periodic table of elements with this simple, yet very useful widget. The electron. Electron Configuration For Ca2.
From periodictable.me
Calcium Electron Configuration (Ca) with Orbital Diagram Electron Configuration For Ca2 The electron configuration for calcium should be written as 1s2 2s2 2p6 3s2 3p6 4s2 and the unabbreviated electron configuration is [ar] 4s2. The calcium ion (ca 2+), however, has two electrons less. We’ll also look at why calcium forms a 2+ ion. In order to write the calcium electron configuration we first need to know the number of electrons. Electron Configuration For Ca2.
From www.numerade.com
What is the electron configuration of Ca2+? What is the electron Electron Configuration For Ca2 The electron configuration for calcium should be written as 1s2 2s2 2p6 3s2 3p6 4s2 and the unabbreviated electron configuration is [ar] 4s2. We’ll also look at why calcium forms a 2+ ion. Find the electron configuration of any element on the periodic table of elements with this simple, yet very useful widget. Commonly, the electron configuration is used to. Electron Configuration For Ca2.
From www.numerade.com
SOLVED Write the electron configuration and shorthand electron Electron Configuration For Ca2 In order to write the calcium electron configuration we first need to know the number of electrons for the ca atom (there are 20 electrons). Hence, the electron configuration for ca 2+ is 1s 2 2s 2 2p 6 3s 2 3p 6. In this video we will write the electron configuration for ca2+, the calcium ion. The calcium ion. Electron Configuration For Ca2.
From www.showme.com
ShowMe electron configuration Ca2 Electron Configuration For Ca2 The calcium ion (ca 2+), however, has two electrons less. Find the electron configuration of any element on the periodic table of elements with this simple, yet very useful widget. Commonly, the electron configuration is used to describe the orbitals of an atom in its ground state, but it can also be used to represent an atom that has ionized. Electron Configuration For Ca2.
From ar.inspiredpencil.com
Electron Shell Diagram Calcium Electron Configuration For Ca2 We’ll also look at why calcium forms a 2+ ion. Find the full electronic configuration and valence electrons of any periodic element using this electron configuration calculator. In order to write the calcium electron configuration we first need to know the number of electrons for the ca atom (there are 20 electrons). Find the electron configuration of any element on. Electron Configuration For Ca2.
From www.chegg.com
Solved What is the complete electronic structure of Ca2+ ? Electron Configuration For Ca2 The calcium ion (ca 2+), however, has two electrons less. Hence, the electron configuration for ca 2+ is 1s 2 2s 2 2p 6 3s 2 3p 6. The electron configuration for calcium should be written as 1s2 2s2 2p6 3s2 3p6 4s2 and the unabbreviated electron configuration is [ar] 4s2. Find the electron configuration of any element on the. Electron Configuration For Ca2.
From www.slideserve.com
PPT Topic 8 Periodic Properties of the Elements PowerPoint Electron Configuration For Ca2 The calcium ion (ca 2+), however, has two electrons less. In order to write the calcium electron configuration we first need to know the number of electrons for the ca atom (there are 20 electrons). In this video we will write the electron configuration for ca2+, the calcium ion. Find the full electronic configuration and valence electrons of any periodic. Electron Configuration For Ca2.
From homedeso.vercel.app
Iron Periodic Table Electron Configuration Electron Configuration For Ca2 The electron configuration for calcium should be written as 1s2 2s2 2p6 3s2 3p6 4s2 and the unabbreviated electron configuration is [ar] 4s2. Hence, the electron configuration for ca 2+ is 1s 2 2s 2 2p 6 3s 2 3p 6. Find the electron configuration of any element on the periodic table of elements with this simple, yet very useful. Electron Configuration For Ca2.
From iperiodictable.com
Orbital Diagram For Calcium (Ca) Calcium Electron Configuration Electron Configuration For Ca2 Find the electron configuration of any element on the periodic table of elements with this simple, yet very useful widget. Hence, the electron configuration for ca 2+ is 1s 2 2s 2 2p 6 3s 2 3p 6. Commonly, the electron configuration is used to describe the orbitals of an atom in its ground state, but it can also be. Electron Configuration For Ca2.
From www.numerade.com
SOLVED 27 Write electron configuration of Ca?+ 2 Electron Configuration For Ca2 Find the full electronic configuration and valence electrons of any periodic element using this electron configuration calculator. Hence, the electron configuration for ca 2+ is 1s 2 2s 2 2p 6 3s 2 3p 6. In order to write the calcium electron configuration we first need to know the number of electrons for the ca atom (there are 20 electrons).. Electron Configuration For Ca2.
From www.showme.com
ShowMe electron configuration Ca2 Electron Configuration For Ca2 Find the full electronic configuration and valence electrons of any periodic element using this electron configuration calculator. Commonly, the electron configuration is used to describe the orbitals of an atom in its ground state, but it can also be used to represent an atom that has ionized into a cation or. The electron configuration for calcium should be written as. Electron Configuration For Ca2.
From general.chemistrysteps.com
Electron Configurations of Ions Chemistry Steps Electron Configuration For Ca2 In order to write the calcium electron configuration we first need to know the number of electrons for the ca atom (there are 20 electrons). Commonly, the electron configuration is used to describe the orbitals of an atom in its ground state, but it can also be used to represent an atom that has ionized into a cation or. The. Electron Configuration For Ca2.
From www.showme.com
ShowMe electron configuration Ca2 Electron Configuration For Ca2 In order to write the calcium electron configuration we first need to know the number of electrons for the ca atom (there are 20 electrons). Hence, the electron configuration for ca 2+ is 1s 2 2s 2 2p 6 3s 2 3p 6. Commonly, the electron configuration is used to describe the orbitals of an atom in its ground state,. Electron Configuration For Ca2.