Least Count Of Meter Rod . The least count of the metre rod is 0.1 cm. .#maiphysics #physicswallah.here are the play lists of different chapterschapter no 1 (physical quantities &. The smaller the least count. What is the permissible error in. determine the least count of the meter rod. the least count of an instrument is the size of the smallest scale division on the instrument. It is a 1m long rod that is stable until a specified temperature is reached. Permissible error = ± least count = ± 0.1 cm. learn how to calculate the uncertainty of measurements using the least count of the instrument. vernier calliper is defined as a measuring device that is used for measuring linear dimensions and dimensions such as inner and outer diameters and depths of. #physics #meter #leastcount #cm #mm
from www.slideserve.com
Permissible error = ± least count = ± 0.1 cm. vernier calliper is defined as a measuring device that is used for measuring linear dimensions and dimensions such as inner and outer diameters and depths of. .#maiphysics #physicswallah.here are the play lists of different chapterschapter no 1 (physical quantities &. It is a 1m long rod that is stable until a specified temperature is reached. determine the least count of the meter rod. The smaller the least count. #physics #meter #leastcount #cm #mm the least count of an instrument is the size of the smallest scale division on the instrument. The least count of the metre rod is 0.1 cm. What is the permissible error in.
PPT Physical quantities and their measurements PowerPoint
Least Count Of Meter Rod Permissible error = ± least count = ± 0.1 cm. #physics #meter #leastcount #cm #mm Permissible error = ± least count = ± 0.1 cm. The smaller the least count. The least count of the metre rod is 0.1 cm. vernier calliper is defined as a measuring device that is used for measuring linear dimensions and dimensions such as inner and outer diameters and depths of. .#maiphysics #physicswallah.here are the play lists of different chapterschapter no 1 (physical quantities &. It is a 1m long rod that is stable until a specified temperature is reached. What is the permissible error in. the least count of an instrument is the size of the smallest scale division on the instrument. determine the least count of the meter rod. learn how to calculate the uncertainty of measurements using the least count of the instrument.
From www.answersarena.com
[Solved] 1. Use Figure 1 to determine the least count and Least Count Of Meter Rod .#maiphysics #physicswallah.here are the play lists of different chapterschapter no 1 (physical quantities &. The least count of the metre rod is 0.1 cm. What is the permissible error in. learn how to calculate the uncertainty of measurements using the least count of the instrument. determine the least count of the meter rod. vernier calliper is defined. Least Count Of Meter Rod.
From www.doubtnut.com
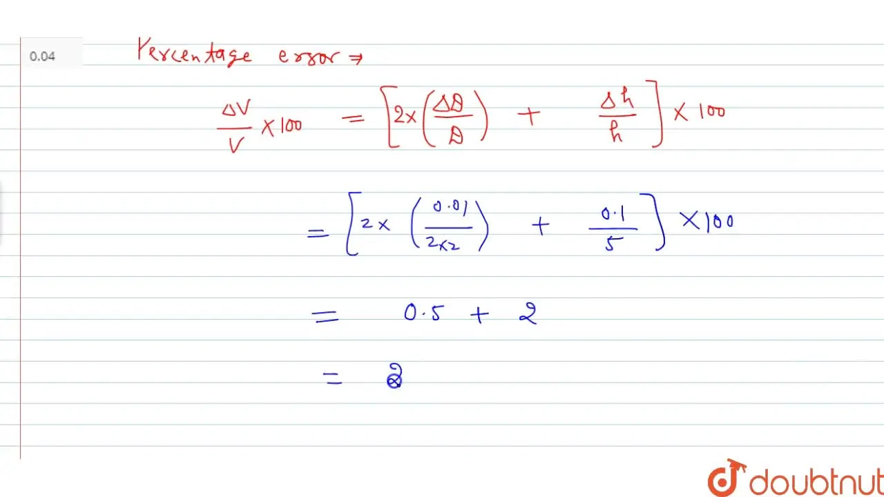
The length of a cylinder is measured with a meter rod having least cou Least Count Of Meter Rod The least count of the metre rod is 0.1 cm. determine the least count of the meter rod. Permissible error = ± least count = ± 0.1 cm. It is a 1m long rod that is stable until a specified temperature is reached. The smaller the least count. vernier calliper is defined as a measuring device that is. Least Count Of Meter Rod.
From www.teachoo.com
Least Count of Ammeter and Voltmeter with Examples Teachoo Least Count Of Meter Rod It is a 1m long rod that is stable until a specified temperature is reached. determine the least count of the meter rod. What is the permissible error in. Permissible error = ± least count = ± 0.1 cm. learn how to calculate the uncertainty of measurements using the least count of the instrument. The smaller the least. Least Count Of Meter Rod.
From www.youtube.com
least count of fitter tool equipment l least count of all measuring Least Count Of Meter Rod Permissible error = ± least count = ± 0.1 cm. The least count of the metre rod is 0.1 cm. It is a 1m long rod that is stable until a specified temperature is reached. determine the least count of the meter rod. learn how to calculate the uncertainty of measurements using the least count of the instrument.. Least Count Of Meter Rod.
From www.toppr.com
The length of a cylinder is measured with a meter rod having least Least Count Of Meter Rod #physics #meter #leastcount #cm #mm Permissible error = ± least count = ± 0.1 cm. determine the least count of the meter rod. learn how to calculate the uncertainty of measurements using the least count of the instrument. The smaller the least count. .#maiphysics #physicswallah.here are the play lists of different chapterschapter no 1 (physical quantities &.. Least Count Of Meter Rod.
From www.youtube.com
Measuring Instruments Meter Rule Vernier Caliper How to find Least Count Of Meter Rod .#maiphysics #physicswallah.here are the play lists of different chapterschapter no 1 (physical quantities &. The smaller the least count. learn how to calculate the uncertainty of measurements using the least count of the instrument. What is the permissible error in. It is a 1m long rod that is stable until a specified temperature is reached. vernier calliper is. Least Count Of Meter Rod.
From www.youtube.com
Meter Scale (Reading and Least Count) High School Dr. Amit Kumar Least Count Of Meter Rod .#maiphysics #physicswallah.here are the play lists of different chapterschapter no 1 (physical quantities &. It is a 1m long rod that is stable until a specified temperature is reached. determine the least count of the meter rod. What is the permissible error in. The least count of the metre rod is 0.1 cm. the least count of an. Least Count Of Meter Rod.
From www.youtube.com
Least Count How to find least Count of Vernier Calipers, IITJEE Least Count Of Meter Rod The least count of the metre rod is 0.1 cm. the least count of an instrument is the size of the smallest scale division on the instrument. determine the least count of the meter rod. The smaller the least count. vernier calliper is defined as a measuring device that is used for measuring linear dimensions and dimensions. Least Count Of Meter Rod.
From theinstrumentguru.com
Vernier Caliper least count THE INSTRUMENT GURU Least Count Of Meter Rod vernier calliper is defined as a measuring device that is used for measuring linear dimensions and dimensions such as inner and outer diameters and depths of. It is a 1m long rod that is stable until a specified temperature is reached. .#maiphysics #physicswallah.here are the play lists of different chapterschapter no 1 (physical quantities &. Permissible error = ±. Least Count Of Meter Rod.
From www.toppr.com
The length of a cylinder is measured with a meter rod having least Least Count Of Meter Rod The least count of the metre rod is 0.1 cm. the least count of an instrument is the size of the smallest scale division on the instrument. Permissible error = ± least count = ± 0.1 cm. .#maiphysics #physicswallah.here are the play lists of different chapterschapter no 1 (physical quantities &. The smaller the least count. vernier calliper. Least Count Of Meter Rod.
From www.youtube.com
Least Count of a Meter Rule YouTube Least Count Of Meter Rod learn how to calculate the uncertainty of measurements using the least count of the instrument. determine the least count of the meter rod. Permissible error = ± least count = ± 0.1 cm. The smaller the least count. It is a 1m long rod that is stable until a specified temperature is reached. the least count of. Least Count Of Meter Rod.
From hxetaogkx.blob.core.windows.net
Micrometer Least Count Calculation at Beryl Troutman blog Least Count Of Meter Rod The smaller the least count. Permissible error = ± least count = ± 0.1 cm. The least count of the metre rod is 0.1 cm. It is a 1m long rod that is stable until a specified temperature is reached. What is the permissible error in. #physics #meter #leastcount #cm #mm determine the least count of the meter. Least Count Of Meter Rod.
From www.youtube.com
How to measure the least count of an Ammeter and Voltmeter I Physics Least Count Of Meter Rod determine the least count of the meter rod. What is the permissible error in. learn how to calculate the uncertainty of measurements using the least count of the instrument. It is a 1m long rod that is stable until a specified temperature is reached. vernier calliper is defined as a measuring device that is used for measuring. Least Count Of Meter Rod.
From www.toppr.com
The length of a cylinder is measured with a meter rod having least Least Count Of Meter Rod The smaller the least count. It is a 1m long rod that is stable until a specified temperature is reached. What is the permissible error in. .#maiphysics #physicswallah.here are the play lists of different chapterschapter no 1 (physical quantities &. the least count of an instrument is the size of the smallest scale division on the instrument. The least. Least Count Of Meter Rod.
From www.youtube.com
least count of a meter rod YouTube Least Count Of Meter Rod vernier calliper is defined as a measuring device that is used for measuring linear dimensions and dimensions such as inner and outer diameters and depths of. learn how to calculate the uncertainty of measurements using the least count of the instrument. .#maiphysics #physicswallah.here are the play lists of different chapterschapter no 1 (physical quantities &. What is the. Least Count Of Meter Rod.
From www.toppr.com
27. The length of a cylinder is measured with a meter rod having least Least Count Of Meter Rod The smaller the least count. determine the least count of the meter rod. The least count of the metre rod is 0.1 cm. vernier calliper is defined as a measuring device that is used for measuring linear dimensions and dimensions such as inner and outer diameters and depths of. the least count of an instrument is the. Least Count Of Meter Rod.
From www.youtube.com
How to find the least count of Screw gauge screw gauge least count Least Count Of Meter Rod the least count of an instrument is the size of the smallest scale division on the instrument. The least count of the metre rod is 0.1 cm. Permissible error = ± least count = ± 0.1 cm. .#maiphysics #physicswallah.here are the play lists of different chapterschapter no 1 (physical quantities &. vernier calliper is defined as a measuring. Least Count Of Meter Rod.
From hxepqcfhu.blob.core.windows.net
Least Count Formula For Pressure Gauge at Joseph Smithson blog Least Count Of Meter Rod determine the least count of the meter rod. vernier calliper is defined as a measuring device that is used for measuring linear dimensions and dimensions such as inner and outer diameters and depths of. #physics #meter #leastcount #cm #mm The least count of the metre rod is 0.1 cm. Permissible error = ± least count = ±. Least Count Of Meter Rod.
From www.toppr.com
The length of a cylinder is measured with a meter rod having least Least Count Of Meter Rod .#maiphysics #physicswallah.here are the play lists of different chapterschapter no 1 (physical quantities &. The least count of the metre rod is 0.1 cm. #physics #meter #leastcount #cm #mm What is the permissible error in. determine the least count of the meter rod. Permissible error = ± least count = ± 0.1 cm. vernier calliper is defined. Least Count Of Meter Rod.
From www.doubtnut.com
The length of a cylinder is measured with a meter rod having least cou Least Count Of Meter Rod determine the least count of the meter rod. #physics #meter #leastcount #cm #mm the least count of an instrument is the size of the smallest scale division on the instrument. Permissible error = ± least count = ± 0.1 cm. The smaller the least count. .#maiphysics #physicswallah.here are the play lists of different chapterschapter no 1 (physical. Least Count Of Meter Rod.
From www.toppr.com
The length of a strip measured with a meter rod is 10.0cm . Its width Least Count Of Meter Rod #physics #meter #leastcount #cm #mm It is a 1m long rod that is stable until a specified temperature is reached. The smaller the least count. What is the permissible error in. determine the least count of the meter rod. the least count of an instrument is the size of the smallest scale division on the instrument. .#maiphysics. Least Count Of Meter Rod.
From byjus.com
the length of a uniform rod is 100.0 cm and radius is 1.00cm.if length Least Count Of Meter Rod the least count of an instrument is the size of the smallest scale division on the instrument. The smaller the least count. determine the least count of the meter rod. vernier calliper is defined as a measuring device that is used for measuring linear dimensions and dimensions such as inner and outer diameters and depths of. Permissible. Least Count Of Meter Rod.
From www.slideserve.com
PPT Physical quantities and their measurements PowerPoint Least Count Of Meter Rod the least count of an instrument is the size of the smallest scale division on the instrument. .#maiphysics #physicswallah.here are the play lists of different chapterschapter no 1 (physical quantities &. The least count of the metre rod is 0.1 cm. learn how to calculate the uncertainty of measurements using the least count of the instrument. determine. Least Count Of Meter Rod.
From gaugehow.com
Least count of measuring instruments GaugeHow Mechanical Engineering Least Count Of Meter Rod Permissible error = ± least count = ± 0.1 cm. determine the least count of the meter rod. The least count of the metre rod is 0.1 cm. the least count of an instrument is the size of the smallest scale division on the instrument. It is a 1m long rod that is stable until a specified temperature. Least Count Of Meter Rod.
From askfilo.com
The length of the cylinder is measured with a meter rod having least coun.. Least Count Of Meter Rod Permissible error = ± least count = ± 0.1 cm. .#maiphysics #physicswallah.here are the play lists of different chapterschapter no 1 (physical quantities &. The smaller the least count. It is a 1m long rod that is stable until a specified temperature is reached. learn how to calculate the uncertainty of measurements using the least count of the instrument.. Least Count Of Meter Rod.
From www.toppr.com
The length of a cylinder is measured with a meter rod having least Least Count Of Meter Rod The smaller the least count. vernier calliper is defined as a measuring device that is used for measuring linear dimensions and dimensions such as inner and outer diameters and depths of. #physics #meter #leastcount #cm #mm learn how to calculate the uncertainty of measurements using the least count of the instrument. It is a 1m long rod. Least Count Of Meter Rod.
From www.youtube.com
The length of a cylinder is measured with a meter rod having least Least Count Of Meter Rod .#maiphysics #physicswallah.here are the play lists of different chapterschapter no 1 (physical quantities &. The least count of the metre rod is 0.1 cm. the least count of an instrument is the size of the smallest scale division on the instrument. vernier calliper is defined as a measuring device that is used for measuring linear dimensions and dimensions. Least Count Of Meter Rod.
From engistudies.blogspot.com
Vernier Caliper Least Count Formula Engistudies Least Count Of Meter Rod Permissible error = ± least count = ± 0.1 cm. The least count of the metre rod is 0.1 cm. learn how to calculate the uncertainty of measurements using the least count of the instrument. .#maiphysics #physicswallah.here are the play lists of different chapterschapter no 1 (physical quantities &. vernier calliper is defined as a measuring device that. Least Count Of Meter Rod.
From handwiki.org
EngineeringPhiladelphia rod HandWiki Least Count Of Meter Rod The smaller the least count. the least count of an instrument is the size of the smallest scale division on the instrument. What is the permissible error in. vernier calliper is defined as a measuring device that is used for measuring linear dimensions and dimensions such as inner and outer diameters and depths of. .#maiphysics #physicswallah.here are the. Least Count Of Meter Rod.
From testbook.com
Least Count of Instruments Check Definition, Error & Calculation Least Count Of Meter Rod .#maiphysics #physicswallah.here are the play lists of different chapterschapter no 1 (physical quantities &. It is a 1m long rod that is stable until a specified temperature is reached. the least count of an instrument is the size of the smallest scale division on the instrument. learn how to calculate the uncertainty of measurements using the least count. Least Count Of Meter Rod.
From byjus.com
What is Least Count of Steel Rule? Least Count Of Meter Rod The least count of the metre rod is 0.1 cm. Permissible error = ± least count = ± 0.1 cm. determine the least count of the meter rod. .#maiphysics #physicswallah.here are the play lists of different chapterschapter no 1 (physical quantities &. The smaller the least count. What is the permissible error in. learn how to calculate the. Least Count Of Meter Rod.
From www.youtube.com
How to measure the least count of an Ammeter and a Voltmeter Grade 10 Least Count Of Meter Rod The smaller the least count. The least count of the metre rod is 0.1 cm. What is the permissible error in. It is a 1m long rod that is stable until a specified temperature is reached. #physics #meter #leastcount #cm #mm learn how to calculate the uncertainty of measurements using the least count of the instrument. .#maiphysics #physicswallah.here. Least Count Of Meter Rod.
From www.youtube.com
How to find least count of ammeter YouTube Least Count Of Meter Rod The smaller the least count. What is the permissible error in. It is a 1m long rod that is stable until a specified temperature is reached. vernier calliper is defined as a measuring device that is used for measuring linear dimensions and dimensions such as inner and outer diameters and depths of. learn how to calculate the uncertainty. Least Count Of Meter Rod.
From www.youtube.com
! Least count of all instrument ! Least count off all Mechanical Least Count Of Meter Rod .#maiphysics #physicswallah.here are the play lists of different chapterschapter no 1 (physical quantities &. The least count of the metre rod is 0.1 cm. learn how to calculate the uncertainty of measurements using the least count of the instrument. It is a 1m long rod that is stable until a specified temperature is reached. vernier calliper is defined. Least Count Of Meter Rod.
From marinerspointpro.com
Depth Micrometer Least Count, Parts, Steps to Read Measurement Least Count Of Meter Rod determine the least count of the meter rod. vernier calliper is defined as a measuring device that is used for measuring linear dimensions and dimensions such as inner and outer diameters and depths of. learn how to calculate the uncertainty of measurements using the least count of the instrument. It is a 1m long rod that is. Least Count Of Meter Rod.