Requirements For High School Graduation In Ohio . Learn about the 20 credits, three pathways, and honors diplomas needed to graduate from high school in ohio. This guidance document outlines each of the components of ohio’s graduation requirements. At this unlock your future website, developed by the ohio department of education and workforce, families and students will find information about ohio’s high school graduation. Schools can locally require more than 20. Ohio's high school graduation requirements ohio's high school *denotes state seal **denotes local seal students must have a minimum of 1. The office of graduate success is dedicated to help answer questions and provide guidance around ohio's graduation requirements. Ohio high school students must complete these requirements in order to earn their high school diploma. Course completion ohio law outlines the course. Students must earn a minimum total of 20 credits in specified subjects and take your required tests. More detail on ohio's graduation. Find out the specific courses,.
from www.pinterest.com
At this unlock your future website, developed by the ohio department of education and workforce, families and students will find information about ohio’s high school graduation. This guidance document outlines each of the components of ohio’s graduation requirements. Learn about the 20 credits, three pathways, and honors diplomas needed to graduate from high school in ohio. Ohio high school students must complete these requirements in order to earn their high school diploma. More detail on ohio's graduation. The office of graduate success is dedicated to help answer questions and provide guidance around ohio's graduation requirements. Schools can locally require more than 20. Find out the specific courses,. Students must earn a minimum total of 20 credits in specified subjects and take your required tests. Course completion ohio law outlines the course.
Requirements, Transcripts, and Dual Credit, Oh My!!! Part 2 High
Requirements For High School Graduation In Ohio Ohio's high school graduation requirements ohio's high school *denotes state seal **denotes local seal students must have a minimum of 1. Ohio's high school graduation requirements ohio's high school *denotes state seal **denotes local seal students must have a minimum of 1. Students must earn a minimum total of 20 credits in specified subjects and take your required tests. At this unlock your future website, developed by the ohio department of education and workforce, families and students will find information about ohio’s high school graduation. The office of graduate success is dedicated to help answer questions and provide guidance around ohio's graduation requirements. Learn about the 20 credits, three pathways, and honors diplomas needed to graduate from high school in ohio. Ohio high school students must complete these requirements in order to earn their high school diploma. This guidance document outlines each of the components of ohio’s graduation requirements. More detail on ohio's graduation. Schools can locally require more than 20. Find out the specific courses,. Course completion ohio law outlines the course.
From wbkr.com
Ohio County High School Set Dates for Prom, Graduation Ceremony Requirements For High School Graduation In Ohio More detail on ohio's graduation. Schools can locally require more than 20. At this unlock your future website, developed by the ohio department of education and workforce, families and students will find information about ohio’s high school graduation. Ohio high school students must complete these requirements in order to earn their high school diploma. The office of graduate success is. Requirements For High School Graduation In Ohio.
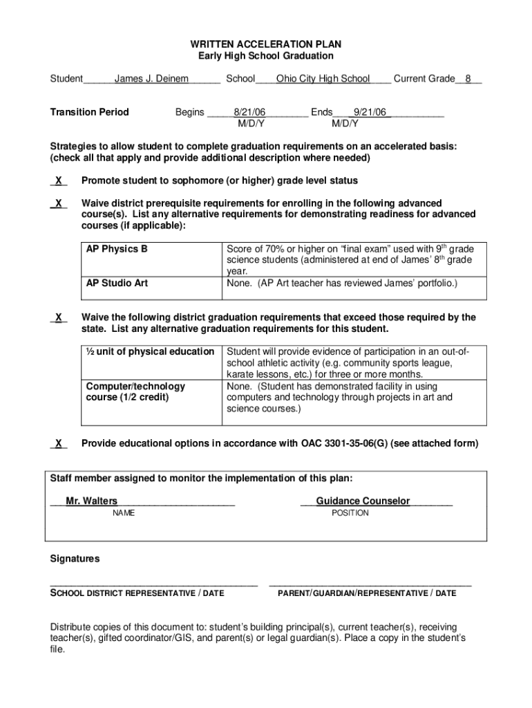
From studylib.net
Ohio`s new graduation requirements, Class of 2018 Requirements For High School Graduation In Ohio Schools can locally require more than 20. Ohio's high school graduation requirements ohio's high school *denotes state seal **denotes local seal students must have a minimum of 1. The office of graduate success is dedicated to help answer questions and provide guidance around ohio's graduation requirements. Find out the specific courses,. Students must earn a minimum total of 20 credits. Requirements For High School Graduation In Ohio.
From ohiofamiliesengage.osu.edu
Unlock Your Future Learn about Ohio's High School Graduation Requirements For High School Graduation In Ohio Learn about the 20 credits, three pathways, and honors diplomas needed to graduate from high school in ohio. Schools can locally require more than 20. The office of graduate success is dedicated to help answer questions and provide guidance around ohio's graduation requirements. More detail on ohio's graduation. Ohio high school students must complete these requirements in order to earn. Requirements For High School Graduation In Ohio.
From www.ideastream.org
Ohio's State School Board Holds Off on Enforcing New High School Requirements For High School Graduation In Ohio Schools can locally require more than 20. More detail on ohio's graduation. This guidance document outlines each of the components of ohio’s graduation requirements. Ohio's high school graduation requirements ohio's high school *denotes state seal **denotes local seal students must have a minimum of 1. At this unlock your future website, developed by the ohio department of education and workforce,. Requirements For High School Graduation In Ohio.
From www.pdffiller.com
Fillable Online Early High School Graduation Ohio Department of Requirements For High School Graduation In Ohio Students must earn a minimum total of 20 credits in specified subjects and take your required tests. More detail on ohio's graduation. Ohio's high school graduation requirements ohio's high school *denotes state seal **denotes local seal students must have a minimum of 1. Schools can locally require more than 20. Find out the specific courses,. At this unlock your future. Requirements For High School Graduation In Ohio.
From www.massillonschools.org
High School Curriculum Massillon City Schools Requirements For High School Graduation In Ohio Students must earn a minimum total of 20 credits in specified subjects and take your required tests. Learn about the 20 credits, three pathways, and honors diplomas needed to graduate from high school in ohio. Ohio high school students must complete these requirements in order to earn their high school diploma. The office of graduate success is dedicated to help. Requirements For High School Graduation In Ohio.
From www.10tv.com
Live updates Central Ohio 2021 high school graduation dates Requirements For High School Graduation In Ohio Ohio's high school graduation requirements ohio's high school *denotes state seal **denotes local seal students must have a minimum of 1. Ohio high school students must complete these requirements in order to earn their high school diploma. More detail on ohio's graduation. Course completion ohio law outlines the course. Schools can locally require more than 20. This guidance document outlines. Requirements For High School Graduation In Ohio.
From osln.org
New graduation requirements go into effect this month Ohio STEM Requirements For High School Graduation In Ohio Learn about the 20 credits, three pathways, and honors diplomas needed to graduate from high school in ohio. Course completion ohio law outlines the course. Ohio's high school graduation requirements ohio's high school *denotes state seal **denotes local seal students must have a minimum of 1. This guidance document outlines each of the components of ohio’s graduation requirements. More detail. Requirements For High School Graduation In Ohio.
From www.ohio.edu
Ohio University Eastern honors graduating class Requirements For High School Graduation In Ohio Students must earn a minimum total of 20 credits in specified subjects and take your required tests. Find out the specific courses,. The office of graduate success is dedicated to help answer questions and provide guidance around ohio's graduation requirements. More detail on ohio's graduation. Learn about the 20 credits, three pathways, and honors diplomas needed to graduate from high. Requirements For High School Graduation In Ohio.
From www.sst13.org
Ohio’s Graduation Requirements Elective Requirements SST 13 Requirements For High School Graduation In Ohio More detail on ohio's graduation. This guidance document outlines each of the components of ohio’s graduation requirements. Learn about the 20 credits, three pathways, and honors diplomas needed to graduate from high school in ohio. Ohio's high school graduation requirements ohio's high school *denotes state seal **denotes local seal students must have a minimum of 1. Schools can locally require. Requirements For High School Graduation In Ohio.
From www.newsfromthestates.com
Washington Board of Education wants to overhaul high school graduation Requirements For High School Graduation In Ohio Course completion ohio law outlines the course. This guidance document outlines each of the components of ohio’s graduation requirements. More detail on ohio's graduation. Ohio high school students must complete these requirements in order to earn their high school diploma. At this unlock your future website, developed by the ohio department of education and workforce, families and students will find. Requirements For High School Graduation In Ohio.
From www.facebook.com
Is Your High School Senior on Track to Graduate? Find Out More About Requirements For High School Graduation In Ohio At this unlock your future website, developed by the ohio department of education and workforce, families and students will find information about ohio’s high school graduation. More detail on ohio's graduation. Students must earn a minimum total of 20 credits in specified subjects and take your required tests. Course completion ohio law outlines the course. The office of graduate success. Requirements For High School Graduation In Ohio.
From www.mcdonald.k12.oh.us
Parent Resources Requirements For High School Graduation In Ohio The office of graduate success is dedicated to help answer questions and provide guidance around ohio's graduation requirements. This guidance document outlines each of the components of ohio’s graduation requirements. At this unlock your future website, developed by the ohio department of education and workforce, families and students will find information about ohio’s high school graduation. Learn about the 20. Requirements For High School Graduation In Ohio.
From www.irontoncatholicschools.org
Graduation Requirements Requirements For High School Graduation In Ohio Ohio high school students must complete these requirements in order to earn their high school diploma. Find out the specific courses,. More detail on ohio's graduation. This guidance document outlines each of the components of ohio’s graduation requirements. Students must earn a minimum total of 20 credits in specified subjects and take your required tests. Course completion ohio law outlines. Requirements For High School Graduation In Ohio.
From thevillagereporter.com
Bryan High School Holds 145th Graduation Ceremony The Village Reporter Requirements For High School Graduation In Ohio Course completion ohio law outlines the course. At this unlock your future website, developed by the ohio department of education and workforce, families and students will find information about ohio’s high school graduation. Ohio's high school graduation requirements ohio's high school *denotes state seal **denotes local seal students must have a minimum of 1. This guidance document outlines each of. Requirements For High School Graduation In Ohio.
From catalogs.ohio.edu
Graduation Requirements Universitywide Ohio University Modern Requirements For High School Graduation In Ohio More detail on ohio's graduation. At this unlock your future website, developed by the ohio department of education and workforce, families and students will find information about ohio’s high school graduation. Course completion ohio law outlines the course. Schools can locally require more than 20. Learn about the 20 credits, three pathways, and honors diplomas needed to graduate from high. Requirements For High School Graduation In Ohio.
From www.bigwalnut.k12.oh.us
Graduation Requirements Requirements For High School Graduation In Ohio Learn about the 20 credits, three pathways, and honors diplomas needed to graduate from high school in ohio. Find out the specific courses,. The office of graduate success is dedicated to help answer questions and provide guidance around ohio's graduation requirements. Schools can locally require more than 20. More detail on ohio's graduation. At this unlock your future website, developed. Requirements For High School Graduation In Ohio.
From www.pinterest.com
Requirements, Transcripts, and Dual Credit, Oh My!!! Part 2 High Requirements For High School Graduation In Ohio Ohio high school students must complete these requirements in order to earn their high school diploma. Schools can locally require more than 20. Students must earn a minimum total of 20 credits in specified subjects and take your required tests. Find out the specific courses,. At this unlock your future website, developed by the ohio department of education and workforce,. Requirements For High School Graduation In Ohio.
From u.osu.edu
Graduation Honors Moe Nakajo's ePortfolio Requirements For High School Graduation In Ohio Ohio's high school graduation requirements ohio's high school *denotes state seal **denotes local seal students must have a minimum of 1. Find out the specific courses,. The office of graduate success is dedicated to help answer questions and provide guidance around ohio's graduation requirements. Students must earn a minimum total of 20 credits in specified subjects and take your required. Requirements For High School Graduation In Ohio.
From abc6onyourside.com
Ohio graduation requirements changing in 2018 WSYX Requirements For High School Graduation In Ohio At this unlock your future website, developed by the ohio department of education and workforce, families and students will find information about ohio’s high school graduation. Students must earn a minimum total of 20 credits in specified subjects and take your required tests. The office of graduate success is dedicated to help answer questions and provide guidance around ohio's graduation. Requirements For High School Graduation In Ohio.
From bessiebbrandais.pages.dev
Ohio High School Graduation Requirements 2025 Bekki Carolin Requirements For High School Graduation In Ohio Ohio high school students must complete these requirements in order to earn their high school diploma. This guidance document outlines each of the components of ohio’s graduation requirements. Find out the specific courses,. The office of graduate success is dedicated to help answer questions and provide guidance around ohio's graduation requirements. More detail on ohio's graduation. Students must earn a. Requirements For High School Graduation In Ohio.
From www.researchgate.net
Columbus Public Schools Mathematics Ohio Achievement/Graduation Test Requirements For High School Graduation In Ohio Learn about the 20 credits, three pathways, and honors diplomas needed to graduate from high school in ohio. More detail on ohio's graduation. This guidance document outlines each of the components of ohio’s graduation requirements. At this unlock your future website, developed by the ohio department of education and workforce, families and students will find information about ohio’s high school. Requirements For High School Graduation In Ohio.
From www.newstimes.com
In photos Danbury High School holds graduation for Class of 2023 Requirements For High School Graduation In Ohio This guidance document outlines each of the components of ohio’s graduation requirements. More detail on ohio's graduation. Learn about the 20 credits, three pathways, and honors diplomas needed to graduate from high school in ohio. Ohio high school students must complete these requirements in order to earn their high school diploma. Schools can locally require more than 20. Course completion. Requirements For High School Graduation In Ohio.
From solohighsouthernlocaloh.schoolinsites.com
Jr. Sr. HS Guidance Requirements For High School Graduation In Ohio The office of graduate success is dedicated to help answer questions and provide guidance around ohio's graduation requirements. Find out the specific courses,. More detail on ohio's graduation. This guidance document outlines each of the components of ohio’s graduation requirements. At this unlock your future website, developed by the ohio department of education and workforce, families and students will find. Requirements For High School Graduation In Ohio.
From pictimilitude.com
20 High School Graduation Plan Template Requirements For High School Graduation In Ohio Ohio high school students must complete these requirements in order to earn their high school diploma. More detail on ohio's graduation. Ohio's high school graduation requirements ohio's high school *denotes state seal **denotes local seal students must have a minimum of 1. Find out the specific courses,. Course completion ohio law outlines the course. Schools can locally require more than. Requirements For High School Graduation In Ohio.
From shakerite.com
Ohio Issues New Graduation Requirements The Shakerite Requirements For High School Graduation In Ohio This guidance document outlines each of the components of ohio’s graduation requirements. Schools can locally require more than 20. Course completion ohio law outlines the course. More detail on ohio's graduation. Students must earn a minimum total of 20 credits in specified subjects and take your required tests. The office of graduate success is dedicated to help answer questions and. Requirements For High School Graduation In Ohio.
From www.mswneo.org
Professional Development Making Schools Work NEO Requirements For High School Graduation In Ohio Find out the specific courses,. At this unlock your future website, developed by the ohio department of education and workforce, families and students will find information about ohio’s high school graduation. The office of graduate success is dedicated to help answer questions and provide guidance around ohio's graduation requirements. Schools can locally require more than 20. Course completion ohio law. Requirements For High School Graduation In Ohio.
From impactohio.org
Ohio’s New Graduation Requirements for the Class of 2023 Impact Ohio Requirements For High School Graduation In Ohio Ohio's high school graduation requirements ohio's high school *denotes state seal **denotes local seal students must have a minimum of 1. The office of graduate success is dedicated to help answer questions and provide guidance around ohio's graduation requirements. Learn about the 20 credits, three pathways, and honors diplomas needed to graduate from high school in ohio. Ohio high school. Requirements For High School Graduation In Ohio.
From sraegnor.weebly.com
OH high school graduation requirements Bienvenidos Requirements For High School Graduation In Ohio Find out the specific courses,. Learn about the 20 credits, three pathways, and honors diplomas needed to graduate from high school in ohio. At this unlock your future website, developed by the ohio department of education and workforce, families and students will find information about ohio’s high school graduation. Students must earn a minimum total of 20 credits in specified. Requirements For High School Graduation In Ohio.
From www.pinterest.com
Graduation Requirements 2018 and Beyond Ohio Department of Education Requirements For High School Graduation In Ohio Ohio's high school graduation requirements ohio's high school *denotes state seal **denotes local seal students must have a minimum of 1. The office of graduate success is dedicated to help answer questions and provide guidance around ohio's graduation requirements. Students must earn a minimum total of 20 credits in specified subjects and take your required tests. Schools can locally require. Requirements For High School Graduation In Ohio.
From graduationcapq.blogspot.com
2022 Ohio Graduation Requirements Graduation Cap 2022 Requirements For High School Graduation In Ohio The office of graduate success is dedicated to help answer questions and provide guidance around ohio's graduation requirements. Learn about the 20 credits, three pathways, and honors diplomas needed to graduate from high school in ohio. Ohio's high school graduation requirements ohio's high school *denotes state seal **denotes local seal students must have a minimum of 1. Ohio high school. Requirements For High School Graduation In Ohio.
From www.pinterest.com
OhiosGraduationRequirements_LongtermRequirements2023andBeyond Requirements For High School Graduation In Ohio Students must earn a minimum total of 20 credits in specified subjects and take your required tests. Course completion ohio law outlines the course. Learn about the 20 credits, three pathways, and honors diplomas needed to graduate from high school in ohio. The office of graduate success is dedicated to help answer questions and provide guidance around ohio's graduation requirements.. Requirements For High School Graduation In Ohio.
From www.cleveland.com
Ohio's test score graduation requirements could be eased for classes of Requirements For High School Graduation In Ohio Students must earn a minimum total of 20 credits in specified subjects and take your required tests. The office of graduate success is dedicated to help answer questions and provide guidance around ohio's graduation requirements. Ohio's high school graduation requirements ohio's high school *denotes state seal **denotes local seal students must have a minimum of 1. Schools can locally require. Requirements For High School Graduation In Ohio.
From sraegnor.weebly.com
OH high school graduation requirements Bienvenidos Requirements For High School Graduation In Ohio The office of graduate success is dedicated to help answer questions and provide guidance around ohio's graduation requirements. Learn about the 20 credits, three pathways, and honors diplomas needed to graduate from high school in ohio. Ohio's high school graduation requirements ohio's high school *denotes state seal **denotes local seal students must have a minimum of 1. Ohio high school. Requirements For High School Graduation In Ohio.
From graduationcapq.blogspot.com
2022 Ohio Graduation Requirements Graduation Cap 2022 Requirements For High School Graduation In Ohio This guidance document outlines each of the components of ohio’s graduation requirements. Ohio high school students must complete these requirements in order to earn their high school diploma. Find out the specific courses,. Ohio's high school graduation requirements ohio's high school *denotes state seal **denotes local seal students must have a minimum of 1. More detail on ohio's graduation. Learn. Requirements For High School Graduation In Ohio.