Form B Insurance Holding Company . Insurance holding company system annual registration statement. The insurance companies act is the primary legislation governing all federally. Choose a name for your holding company. The cover page for a form b filing shall contain one of the following headings: In lieu of filing a registration statement on form b, the authorized insurer may file a copy of the registration statement or similar report which it. Financial consumer agency of canada. Determine the jurisdiction and structure. Furnish the exact name of each insurer registering or being registered (hereinafter called 'the registrant), the home office address and. Information required by any item of form a, form b, form d, form e or form f. The registration statement (form b) required by the insurance holding company system regulatory act requires which of the following to be included? Every insurer authorized to do business in a state, other than a foreign insurer from a state with.
from www.wikihow.com
Choose a name for your holding company. The insurance companies act is the primary legislation governing all federally. Determine the jurisdiction and structure. Information required by any item of form a, form b, form d, form e or form f. Furnish the exact name of each insurer registering or being registered (hereinafter called 'the registrant), the home office address and. The registration statement (form b) required by the insurance holding company system regulatory act requires which of the following to be included? In lieu of filing a registration statement on form b, the authorized insurer may file a copy of the registration statement or similar report which it. Every insurer authorized to do business in a state, other than a foreign insurer from a state with. The cover page for a form b filing shall contain one of the following headings: Insurance holding company system annual registration statement.
How to Form a Holding Company 9 Steps (with Pictures) wikiHow
Form B Insurance Holding Company The insurance companies act is the primary legislation governing all federally. In lieu of filing a registration statement on form b, the authorized insurer may file a copy of the registration statement or similar report which it. The insurance companies act is the primary legislation governing all federally. Insurance holding company system annual registration statement. Determine the jurisdiction and structure. Furnish the exact name of each insurer registering or being registered (hereinafter called 'the registrant), the home office address and. Choose a name for your holding company. The cover page for a form b filing shall contain one of the following headings: Every insurer authorized to do business in a state, other than a foreign insurer from a state with. Information required by any item of form a, form b, form d, form e or form f. Financial consumer agency of canada. The registration statement (form b) required by the insurance holding company system regulatory act requires which of the following to be included?
From lamz-droid.blogspot.com
National Insurance Claim Form B Form B Insurance Holding Company Choose a name for your holding company. The cover page for a form b filing shall contain one of the following headings: Financial consumer agency of canada. The insurance companies act is the primary legislation governing all federally. Information required by any item of form a, form b, form d, form e or form f. Insurance holding company system annual. Form B Insurance Holding Company.
From www.dochub.com
Insurance forms pdf Fill out & sign online DocHub Form B Insurance Holding Company Every insurer authorized to do business in a state, other than a foreign insurer from a state with. The insurance companies act is the primary legislation governing all federally. Choose a name for your holding company. Determine the jurisdiction and structure. Financial consumer agency of canada. Furnish the exact name of each insurer registering or being registered (hereinafter called 'the. Form B Insurance Holding Company.
From www.templateroller.com
Form B Download Printable PDF or Fill Online Insurance Holding Company Form B Insurance Holding Company In lieu of filing a registration statement on form b, the authorized insurer may file a copy of the registration statement or similar report which it. Financial consumer agency of canada. The insurance companies act is the primary legislation governing all federally. The cover page for a form b filing shall contain one of the following headings: The registration statement. Form B Insurance Holding Company.
From mrhale.vn
Hướng dẫn khai báo CO form B và quy trình xin cấp Form B Insurance Holding Company Information required by any item of form a, form b, form d, form e or form f. Insurance holding company system annual registration statement. The cover page for a form b filing shall contain one of the following headings: The insurance companies act is the primary legislation governing all federally. Choose a name for your holding company. Determine the jurisdiction. Form B Insurance Holding Company.
From www.slideserve.com
PPT Financial Analysis PowerPoint Presentation, free download ID Form B Insurance Holding Company The registration statement (form b) required by the insurance holding company system regulatory act requires which of the following to be included? The insurance companies act is the primary legislation governing all federally. The cover page for a form b filing shall contain one of the following headings: Information required by any item of form a, form b, form d,. Form B Insurance Holding Company.
From www.formevo.co.uk
Form B Notice of an application to consider the financial position of Form B Insurance Holding Company In lieu of filing a registration statement on form b, the authorized insurer may file a copy of the registration statement or similar report which it. Insurance holding company system annual registration statement. Choose a name for your holding company. Furnish the exact name of each insurer registering or being registered (hereinafter called 'the registrant), the home office address and.. Form B Insurance Holding Company.
From www.templateroller.com
Form B (SD Form 2002) Download Fillable PDF or Fill Online Insurance Form B Insurance Holding Company Every insurer authorized to do business in a state, other than a foreign insurer from a state with. The registration statement (form b) required by the insurance holding company system regulatory act requires which of the following to be included? Insurance holding company system annual registration statement. Determine the jurisdiction and structure. The cover page for a form b filing. Form B Insurance Holding Company.
From www.templateroller.com
Form B Fill Out, Sign Online and Download Printable PDF, Indiana Form B Insurance Holding Company The insurance companies act is the primary legislation governing all federally. Furnish the exact name of each insurer registering or being registered (hereinafter called 'the registrant), the home office address and. Determine the jurisdiction and structure. Information required by any item of form a, form b, form d, form e or form f. In lieu of filing a registration statement. Form B Insurance Holding Company.
From www.slideshare.net
CO form B for US customer Form B Insurance Holding Company Choose a name for your holding company. The insurance companies act is the primary legislation governing all federally. Furnish the exact name of each insurer registering or being registered (hereinafter called 'the registrant), the home office address and. Insurance holding company system annual registration statement. In lieu of filing a registration statement on form b, the authorized insurer may file. Form B Insurance Holding Company.
From www.slideserve.com
PPT Financial Analysis PowerPoint Presentation, free download ID Form B Insurance Holding Company Financial consumer agency of canada. Choose a name for your holding company. The insurance companies act is the primary legislation governing all federally. The registration statement (form b) required by the insurance holding company system regulatory act requires which of the following to be included? Furnish the exact name of each insurer registering or being registered (hereinafter called 'the registrant),. Form B Insurance Holding Company.
From studylib.net
Major Accounts Agreement (Form B) Form B Insurance Holding Company Insurance holding company system annual registration statement. Every insurer authorized to do business in a state, other than a foreign insurer from a state with. In lieu of filing a registration statement on form b, the authorized insurer may file a copy of the registration statement or similar report which it. The insurance companies act is the primary legislation governing. Form B Insurance Holding Company.
From www.templateroller.com
Download Instructions for Form B Insurance Holding Company System Form B Insurance Holding Company Information required by any item of form a, form b, form d, form e or form f. Insurance holding company system annual registration statement. Choose a name for your holding company. The registration statement (form b) required by the insurance holding company system regulatory act requires which of the following to be included? The cover page for a form b. Form B Insurance Holding Company.
From www.templateroller.com
Download Instructions for Form B Insurance Holding Company System Form B Insurance Holding Company Choose a name for your holding company. Determine the jurisdiction and structure. The insurance companies act is the primary legislation governing all federally. The registration statement (form b) required by the insurance holding company system regulatory act requires which of the following to be included? Insurance holding company system annual registration statement. The cover page for a form b filing. Form B Insurance Holding Company.
From www.youtube.com
PROFIT AND LOSS ACCOUNT OF BANKING COMPANY FORM B GENERAL Form B Insurance Holding Company Choose a name for your holding company. In lieu of filing a registration statement on form b, the authorized insurer may file a copy of the registration statement or similar report which it. Financial consumer agency of canada. Information required by any item of form a, form b, form d, form e or form f. Insurance holding company system annual. Form B Insurance Holding Company.
From www.wikihow.com
How to Form a Holding Company 9 Steps (with Pictures) wikiHow Form B Insurance Holding Company The registration statement (form b) required by the insurance holding company system regulatory act requires which of the following to be included? Determine the jurisdiction and structure. Every insurer authorized to do business in a state, other than a foreign insurer from a state with. In lieu of filing a registration statement on form b, the authorized insurer may file. Form B Insurance Holding Company.
From www.templateroller.com
Download Instructions for Form B Insurance Holding Company System Form B Insurance Holding Company Information required by any item of form a, form b, form d, form e or form f. Financial consumer agency of canada. In lieu of filing a registration statement on form b, the authorized insurer may file a copy of the registration statement or similar report which it. The insurance companies act is the primary legislation governing all federally. Furnish. Form B Insurance Holding Company.
From www.templateroller.com
Download Instructions for Form B Insurance Holding Company System Form B Insurance Holding Company Insurance holding company system annual registration statement. Choose a name for your holding company. Information required by any item of form a, form b, form d, form e or form f. The cover page for a form b filing shall contain one of the following headings: Furnish the exact name of each insurer registering or being registered (hereinafter called 'the. Form B Insurance Holding Company.
From www.templateroller.com
Form B Download Printable PDF or Fill Online Insurance Holding Company Form B Insurance Holding Company Information required by any item of form a, form b, form d, form e or form f. Every insurer authorized to do business in a state, other than a foreign insurer from a state with. Furnish the exact name of each insurer registering or being registered (hereinafter called 'the registrant), the home office address and. Financial consumer agency of canada.. Form B Insurance Holding Company.
From www.pdffiller.com
Fillable Online Form B Insurance Holding Company System Fax Email Print Form B Insurance Holding Company Choose a name for your holding company. The cover page for a form b filing shall contain one of the following headings: The registration statement (form b) required by the insurance holding company system regulatory act requires which of the following to be included? Determine the jurisdiction and structure. Every insurer authorized to do business in a state, other than. Form B Insurance Holding Company.
From mlc-ttl.com
Những quy định về CO form B TTL LOGISTICS Form B Insurance Holding Company The insurance companies act is the primary legislation governing all federally. Information required by any item of form a, form b, form d, form e or form f. Choose a name for your holding company. The registration statement (form b) required by the insurance holding company system regulatory act requires which of the following to be included? Furnish the exact. Form B Insurance Holding Company.
From regulations.justia.com
Illinois Administrative Code, Part 652, ILLUSTRATION B Form B Form B Insurance Holding Company Insurance holding company system annual registration statement. Choose a name for your holding company. Every insurer authorized to do business in a state, other than a foreign insurer from a state with. The cover page for a form b filing shall contain one of the following headings: The insurance companies act is the primary legislation governing all federally. The registration. Form B Insurance Holding Company.
From www.templateroller.com
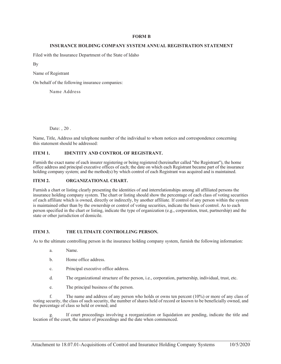
Form B Fill Out, Sign Online and Download Printable PDF, Idaho Form B Insurance Holding Company Choose a name for your holding company. The insurance companies act is the primary legislation governing all federally. The cover page for a form b filing shall contain one of the following headings: In lieu of filing a registration statement on form b, the authorized insurer may file a copy of the registration statement or similar report which it. Financial. Form B Insurance Holding Company.
From www.templateroller.com
Form B Download Printable PDF or Fill Online Insurance Holding Company Form B Insurance Holding Company Financial consumer agency of canada. The insurance companies act is the primary legislation governing all federally. The cover page for a form b filing shall contain one of the following headings: The registration statement (form b) required by the insurance holding company system regulatory act requires which of the following to be included? Furnish the exact name of each insurer. Form B Insurance Holding Company.
From www.informdirect.co.uk
What is a holding company? Inform Direct Form B Insurance Holding Company Information required by any item of form a, form b, form d, form e or form f. The registration statement (form b) required by the insurance holding company system regulatory act requires which of the following to be included? The insurance companies act is the primary legislation governing all federally. Every insurer authorized to do business in a state, other. Form B Insurance Holding Company.
From www.studocu.com
Form B2022 LEMBAGA HASIL DALAM NEGERI MALAYSIA RETURN FORM OF AN Form B Insurance Holding Company The registration statement (form b) required by the insurance holding company system regulatory act requires which of the following to be included? The cover page for a form b filing shall contain one of the following headings: The insurance companies act is the primary legislation governing all federally. Financial consumer agency of canada. Insurance holding company system annual registration statement.. Form B Insurance Holding Company.
From www.pdffiller.com
Fillable Online scc virginia Form B Insurance Holding Company System Form B Insurance Holding Company Choose a name for your holding company. Financial consumer agency of canada. Furnish the exact name of each insurer registering or being registered (hereinafter called 'the registrant), the home office address and. In lieu of filing a registration statement on form b, the authorized insurer may file a copy of the registration statement or similar report which it. Insurance holding. Form B Insurance Holding Company.
From www.templateroller.com
Form B (SD Form 2002) Download Fillable PDF or Fill Online Insurance Form B Insurance Holding Company Insurance holding company system annual registration statement. Furnish the exact name of each insurer registering or being registered (hereinafter called 'the registrant), the home office address and. Information required by any item of form a, form b, form d, form e or form f. Every insurer authorized to do business in a state, other than a foreign insurer from a. Form B Insurance Holding Company.
From studylib.net
Guide to Form B Victorian Registration and Qualifications Authority Form B Insurance Holding Company The insurance companies act is the primary legislation governing all federally. Furnish the exact name of each insurer registering or being registered (hereinafter called 'the registrant), the home office address and. Insurance holding company system annual registration statement. Information required by any item of form a, form b, form d, form e or form f. Choose a name for your. Form B Insurance Holding Company.
From www.templateroller.com
Form B Download Printable PDF or Fill Online Insurance Holding Company Form B Insurance Holding Company Every insurer authorized to do business in a state, other than a foreign insurer from a state with. The cover page for a form b filing shall contain one of the following headings: The insurance companies act is the primary legislation governing all federally. Insurance holding company system annual registration statement. Information required by any item of form a, form. Form B Insurance Holding Company.
From www.scribd.com
Form B Sample PDF Payments Government Form B Insurance Holding Company Choose a name for your holding company. In lieu of filing a registration statement on form b, the authorized insurer may file a copy of the registration statement or similar report which it. Financial consumer agency of canada. The cover page for a form b filing shall contain one of the following headings: Every insurer authorized to do business in. Form B Insurance Holding Company.
From www.studocu.com
Form B2020 2 FORM B 2020 RESIDENT INDIVIDUAL WHO CARRIES ON BUSINESS Form B Insurance Holding Company Insurance holding company system annual registration statement. The cover page for a form b filing shall contain one of the following headings: The registration statement (form b) required by the insurance holding company system regulatory act requires which of the following to be included? Financial consumer agency of canada. Furnish the exact name of each insurer registering or being registered. Form B Insurance Holding Company.
From insurancecompanybenshima.blogspot.com
Insurance Company Insurance Company Definition Form B Insurance Holding Company The insurance companies act is the primary legislation governing all federally. The registration statement (form b) required by the insurance holding company system regulatory act requires which of the following to be included? Every insurer authorized to do business in a state, other than a foreign insurer from a state with. Furnish the exact name of each insurer registering or. Form B Insurance Holding Company.
From www.dochub.com
2013 form b Fill out & sign online DocHub Form B Insurance Holding Company Determine the jurisdiction and structure. Choose a name for your holding company. Furnish the exact name of each insurer registering or being registered (hereinafter called 'the registrant), the home office address and. The registration statement (form b) required by the insurance holding company system regulatory act requires which of the following to be included? In lieu of filing a registration. Form B Insurance Holding Company.
From www.templateroller.com
Form B (SD Form 2002) Download Fillable PDF or Fill Online Insurance Form B Insurance Holding Company Information required by any item of form a, form b, form d, form e or form f. In lieu of filing a registration statement on form b, the authorized insurer may file a copy of the registration statement or similar report which it. Financial consumer agency of canada. Determine the jurisdiction and structure. The cover page for a form b. Form B Insurance Holding Company.
From www.templateroller.com
Form B Fill Out, Sign Online and Download Printable PDF, Idaho Form B Insurance Holding Company In lieu of filing a registration statement on form b, the authorized insurer may file a copy of the registration statement or similar report which it. Every insurer authorized to do business in a state, other than a foreign insurer from a state with. The insurance companies act is the primary legislation governing all federally. The cover page for a. Form B Insurance Holding Company.