Trumpet Range Frequency . a trumpet exhibits natural resonant frequencies which follow a harmonic sequence fairly closely up to the tenth. Ideal for beginners and experienced players. The standard range of a trumpet is three octaves, from a low f# (concert pitch) to a high c (concert pitch). learn about the standard trumpet's range in our detailed guide. the brass section consists of four to seven french horns, three to four trumpets, three to four trombones, and one tuba. At loud dynamics, the bb trumpet can reach written f6 and f#6. Strings violin viola cello double bass guitar keyboards piano organ percussion celeste timpani. the range of notes that a trumpet can play depends on the player’s skill level, the type of trumpet, and the mouthpiece used.
from qpress.ca
At loud dynamics, the bb trumpet can reach written f6 and f#6. the range of notes that a trumpet can play depends on the player’s skill level, the type of trumpet, and the mouthpiece used. Ideal for beginners and experienced players. a trumpet exhibits natural resonant frequencies which follow a harmonic sequence fairly closely up to the tenth. The standard range of a trumpet is three octaves, from a low f# (concert pitch) to a high c (concert pitch). Strings violin viola cello double bass guitar keyboards piano organ percussion celeste timpani. learn about the standard trumpet's range in our detailed guide. the brass section consists of four to seven french horns, three to four trumpets, three to four trombones, and one tuba.
Advanced Range, Technique, & Interval Studies for Trumpet by Bush
Trumpet Range Frequency The standard range of a trumpet is three octaves, from a low f# (concert pitch) to a high c (concert pitch). learn about the standard trumpet's range in our detailed guide. Ideal for beginners and experienced players. the range of notes that a trumpet can play depends on the player’s skill level, the type of trumpet, and the mouthpiece used. the brass section consists of four to seven french horns, three to four trumpets, three to four trombones, and one tuba. The standard range of a trumpet is three octaves, from a low f# (concert pitch) to a high c (concert pitch). Strings violin viola cello double bass guitar keyboards piano organ percussion celeste timpani. a trumpet exhibits natural resonant frequencies which follow a harmonic sequence fairly closely up to the tenth. At loud dynamics, the bb trumpet can reach written f6 and f#6.
From www.formsbirds.com
Trumpet Fingering Chart Sample Free Download Trumpet Range Frequency the range of notes that a trumpet can play depends on the player’s skill level, the type of trumpet, and the mouthpiece used. At loud dynamics, the bb trumpet can reach written f6 and f#6. learn about the standard trumpet's range in our detailed guide. the brass section consists of four to seven french horns, three to. Trumpet Range Frequency.
From promusicvault.com
Full Trumpet Fingering Chart Master Your Trumpet Playing Trumpet Range Frequency learn about the standard trumpet's range in our detailed guide. the range of notes that a trumpet can play depends on the player’s skill level, the type of trumpet, and the mouthpiece used. Strings violin viola cello double bass guitar keyboards piano organ percussion celeste timpani. The standard range of a trumpet is three octaves, from a low. Trumpet Range Frequency.
From www.jefflewistrumpet.com
Trumpet Fingering Chart Jeff Lewis Trumpet Trumpet Range Frequency a trumpet exhibits natural resonant frequencies which follow a harmonic sequence fairly closely up to the tenth. The standard range of a trumpet is three octaves, from a low f# (concert pitch) to a high c (concert pitch). At loud dynamics, the bb trumpet can reach written f6 and f#6. the brass section consists of four to seven. Trumpet Range Frequency.
From garybridgewater.blogspot.com
Trumpet Trumpet Daily Range Chart Trumpet Range Frequency Ideal for beginners and experienced players. the brass section consists of four to seven french horns, three to four trumpets, three to four trombones, and one tuba. Strings violin viola cello double bass guitar keyboards piano organ percussion celeste timpani. a trumpet exhibits natural resonant frequencies which follow a harmonic sequence fairly closely up to the tenth. . Trumpet Range Frequency.
From qpress.ca
Advanced Range, Technique, & Interval Studies for Trumpet by Bush Trumpet Range Frequency a trumpet exhibits natural resonant frequencies which follow a harmonic sequence fairly closely up to the tenth. the brass section consists of four to seven french horns, three to four trumpets, three to four trombones, and one tuba. learn about the standard trumpet's range in our detailed guide. At loud dynamics, the bb trumpet can reach written. Trumpet Range Frequency.
From www.evanrogersmusic.com
Big Band Arranging 3 Instrumentation — Evan Rogers Orchestrator Trumpet Range Frequency the brass section consists of four to seven french horns, three to four trumpets, three to four trombones, and one tuba. learn about the standard trumpet's range in our detailed guide. The standard range of a trumpet is three octaves, from a low f# (concert pitch) to a high c (concert pitch). a trumpet exhibits natural resonant. Trumpet Range Frequency.
From www.sampletemplates.com
FREE 6+ Sample Trumpet Fingering Chart Templates in PDF Trumpet Range Frequency Ideal for beginners and experienced players. the range of notes that a trumpet can play depends on the player’s skill level, the type of trumpet, and the mouthpiece used. a trumpet exhibits natural resonant frequencies which follow a harmonic sequence fairly closely up to the tenth. the brass section consists of four to seven french horns, three. Trumpet Range Frequency.
From www.jefflewistrumpet.com
Range building exercises for the trumpet, how to play high notes Trumpet Range Frequency Ideal for beginners and experienced players. the range of notes that a trumpet can play depends on the player’s skill level, the type of trumpet, and the mouthpiece used. the brass section consists of four to seven french horns, three to four trumpets, three to four trombones, and one tuba. Strings violin viola cello double bass guitar keyboards. Trumpet Range Frequency.
From www.learnleadtrumpet.com
The 6 Step Trumpet Warm Up for Advanced Players Learn Lead Trumpet Trumpet Range Frequency learn about the standard trumpet's range in our detailed guide. At loud dynamics, the bb trumpet can reach written f6 and f#6. Ideal for beginners and experienced players. The standard range of a trumpet is three octaves, from a low f# (concert pitch) to a high c (concert pitch). Strings violin viola cello double bass guitar keyboards piano organ. Trumpet Range Frequency.
From abbypage.z19.web.core.windows.net
Instrument Frequency Range Chart Trumpet Range Frequency The standard range of a trumpet is three octaves, from a low f# (concert pitch) to a high c (concert pitch). Ideal for beginners and experienced players. At loud dynamics, the bb trumpet can reach written f6 and f#6. learn about the standard trumpet's range in our detailed guide. Strings violin viola cello double bass guitar keyboards piano organ. Trumpet Range Frequency.
From dxorabwiy.blob.core.windows.net
Optical Frequency Range Chart at Amber Strobel blog Trumpet Range Frequency the range of notes that a trumpet can play depends on the player’s skill level, the type of trumpet, and the mouthpiece used. Strings violin viola cello double bass guitar keyboards piano organ percussion celeste timpani. the brass section consists of four to seven french horns, three to four trumpets, three to four trombones, and one tuba. . Trumpet Range Frequency.
From www.dbamfordmusic.com
Frequency Range of Instruments DAVE BAMFORD MUSIC & LEARNING Trumpet Range Frequency The standard range of a trumpet is three octaves, from a low f# (concert pitch) to a high c (concert pitch). the brass section consists of four to seven french horns, three to four trumpets, three to four trombones, and one tuba. At loud dynamics, the bb trumpet can reach written f6 and f#6. Strings violin viola cello double. Trumpet Range Frequency.
From themoderntrumpet.com
(High) Range The Modern Trumpet by Nathan PlanteThe Modern Trumpet by Trumpet Range Frequency At loud dynamics, the bb trumpet can reach written f6 and f#6. a trumpet exhibits natural resonant frequencies which follow a harmonic sequence fairly closely up to the tenth. Strings violin viola cello double bass guitar keyboards piano organ percussion celeste timpani. the brass section consists of four to seven french horns, three to four trumpets, three to. Trumpet Range Frequency.
From jadebultitude.com
Transposition for Trumpet A Music Theory Guide Trumpet Range Frequency At loud dynamics, the bb trumpet can reach written f6 and f#6. Ideal for beginners and experienced players. The standard range of a trumpet is three octaves, from a low f# (concert pitch) to a high c (concert pitch). Strings violin viola cello double bass guitar keyboards piano organ percussion celeste timpani. learn about the standard trumpet's range in. Trumpet Range Frequency.
From flat.io
range Sheet music for Trumpet, Horn in F, Euphonium, Trombone, Tuba Trumpet Range Frequency learn about the standard trumpet's range in our detailed guide. The standard range of a trumpet is three octaves, from a low f# (concert pitch) to a high c (concert pitch). the range of notes that a trumpet can play depends on the player’s skill level, the type of trumpet, and the mouthpiece used. a trumpet exhibits. Trumpet Range Frequency.
From garybridgewater.blogspot.com
Trumpet Trumpet Daily Range Chart Trumpet Range Frequency the range of notes that a trumpet can play depends on the player’s skill level, the type of trumpet, and the mouthpiece used. Strings violin viola cello double bass guitar keyboards piano organ percussion celeste timpani. The standard range of a trumpet is three octaves, from a low f# (concert pitch) to a high c (concert pitch). learn. Trumpet Range Frequency.
From music.stackexchange.com
acoustics Trumpet Peculiar Frequency spectrum Music Practice Trumpet Range Frequency Ideal for beginners and experienced players. the brass section consists of four to seven french horns, three to four trumpets, three to four trombones, and one tuba. the range of notes that a trumpet can play depends on the player’s skill level, the type of trumpet, and the mouthpiece used. The standard range of a trumpet is three. Trumpet Range Frequency.
From mysterytomastery.com
Trumpet Fingering Chart All things trumpet valves! WindWorks Trumpet Range Frequency At loud dynamics, the bb trumpet can reach written f6 and f#6. the range of notes that a trumpet can play depends on the player’s skill level, the type of trumpet, and the mouthpiece used. Ideal for beginners and experienced players. a trumpet exhibits natural resonant frequencies which follow a harmonic sequence fairly closely up to the tenth.. Trumpet Range Frequency.
From rosebookdoc.blogspot.com
12 Major Scales Trumpet Finger Chart Trumpet Fingering Chart Young Trumpet Range Frequency the range of notes that a trumpet can play depends on the player’s skill level, the type of trumpet, and the mouthpiece used. Strings violin viola cello double bass guitar keyboards piano organ percussion celeste timpani. The standard range of a trumpet is three octaves, from a low f# (concert pitch) to a high c (concert pitch). the. Trumpet Range Frequency.
From www.scribd.com
38845492 Trumpet Fingering Chart Trumpet Range Frequency a trumpet exhibits natural resonant frequencies which follow a harmonic sequence fairly closely up to the tenth. the brass section consists of four to seven french horns, three to four trumpets, three to four trombones, and one tuba. Ideal for beginners and experienced players. learn about the standard trumpet's range in our detailed guide. the range. Trumpet Range Frequency.
From everythingtrumpet.com
Trumpet Fingering Chart Trumpet Range Frequency the brass section consists of four to seven french horns, three to four trumpets, three to four trombones, and one tuba. the range of notes that a trumpet can play depends on the player’s skill level, the type of trumpet, and the mouthpiece used. a trumpet exhibits natural resonant frequencies which follow a harmonic sequence fairly closely. Trumpet Range Frequency.
From trumpetheroes.com
Trumpet Scales Beginner Tutorial and Scale Charts Trumpet Heroes Trumpet Range Frequency At loud dynamics, the bb trumpet can reach written f6 and f#6. the brass section consists of four to seven french horns, three to four trumpets, three to four trombones, and one tuba. The standard range of a trumpet is three octaves, from a low f# (concert pitch) to a high c (concert pitch). Strings violin viola cello double. Trumpet Range Frequency.
From dxodjgouh.blob.core.windows.net
Trumpet Notes With Letters at Anita Wilhite blog Trumpet Range Frequency the range of notes that a trumpet can play depends on the player’s skill level, the type of trumpet, and the mouthpiece used. Strings violin viola cello double bass guitar keyboards piano organ percussion celeste timpani. a trumpet exhibits natural resonant frequencies which follow a harmonic sequence fairly closely up to the tenth. The standard range of a. Trumpet Range Frequency.
From www.youtube.com
Trumpet Long tone Studies 006 Improve Trumpet Tone with Range Study Trumpet Range Frequency learn about the standard trumpet's range in our detailed guide. At loud dynamics, the bb trumpet can reach written f6 and f#6. a trumpet exhibits natural resonant frequencies which follow a harmonic sequence fairly closely up to the tenth. Ideal for beginners and experienced players. the brass section consists of four to seven french horns, three to. Trumpet Range Frequency.
From dxojlkzfg.blob.core.windows.net
What Is Audio Frequency at Gloria Bourne blog Trumpet Range Frequency At loud dynamics, the bb trumpet can reach written f6 and f#6. learn about the standard trumpet's range in our detailed guide. Ideal for beginners and experienced players. The standard range of a trumpet is three octaves, from a low f# (concert pitch) to a high c (concert pitch). Strings violin viola cello double bass guitar keyboards piano organ. Trumpet Range Frequency.
From www.thetuningnote.com
Fingering Charts for the Trumpet Trumpet Range Frequency At loud dynamics, the bb trumpet can reach written f6 and f#6. the range of notes that a trumpet can play depends on the player’s skill level, the type of trumpet, and the mouthpiece used. Strings violin viola cello double bass guitar keyboards piano organ percussion celeste timpani. Ideal for beginners and experienced players. the brass section consists. Trumpet Range Frequency.
From www.youtube.com
Trumpet Range Exercise YouTube Trumpet Range Frequency learn about the standard trumpet's range in our detailed guide. The standard range of a trumpet is three octaves, from a low f# (concert pitch) to a high c (concert pitch). Strings violin viola cello double bass guitar keyboards piano organ percussion celeste timpani. At loud dynamics, the bb trumpet can reach written f6 and f#6. Ideal for beginners. Trumpet Range Frequency.
From en.wikipedia.org
Trumpet Wikipedia Trumpet Range Frequency The standard range of a trumpet is three octaves, from a low f# (concert pitch) to a high c (concert pitch). the brass section consists of four to seven french horns, three to four trumpets, three to four trombones, and one tuba. Ideal for beginners and experienced players. the range of notes that a trumpet can play depends. Trumpet Range Frequency.
From charlescolin.com
The Extended Trumpet Range Charles Colin Music Trumpet Range Frequency the brass section consists of four to seven french horns, three to four trumpets, three to four trombones, and one tuba. the range of notes that a trumpet can play depends on the player’s skill level, the type of trumpet, and the mouthpiece used. Strings violin viola cello double bass guitar keyboards piano organ percussion celeste timpani. At. Trumpet Range Frequency.
From www.numerade.com
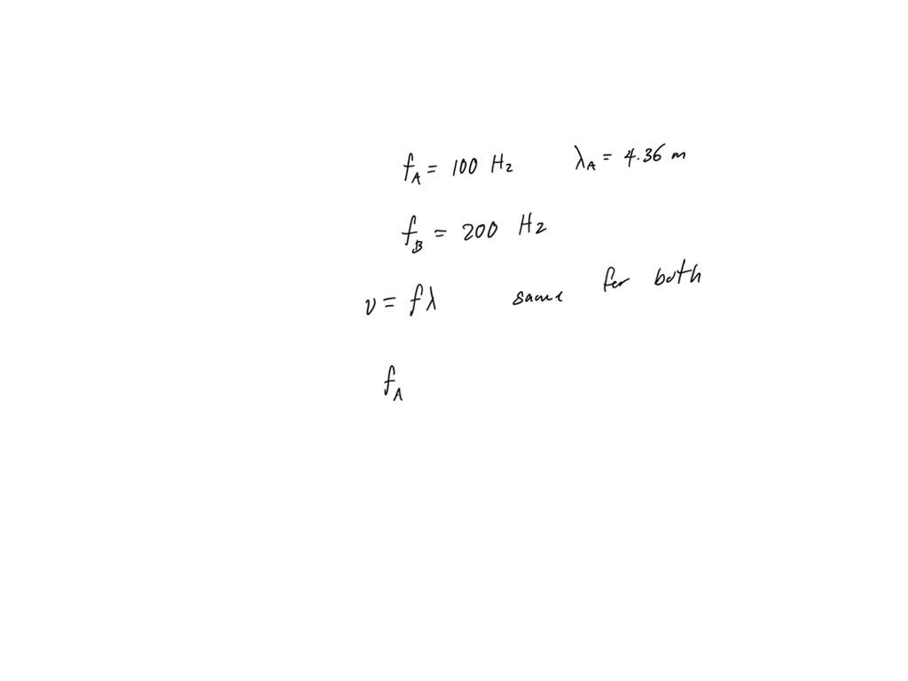
SOLVED Trumpet A has frequency of 100Hz and wavelength of 4,36m while Trumpet Range Frequency At loud dynamics, the bb trumpet can reach written f6 and f#6. the brass section consists of four to seven french horns, three to four trumpets, three to four trombones, and one tuba. The standard range of a trumpet is three octaves, from a low f# (concert pitch) to a high c (concert pitch). a trumpet exhibits natural. Trumpet Range Frequency.
From www.youtube.com
Trumpet Fingering Chart Easy Sheet Music for Notes Trumpet How Trumpet Range Frequency the range of notes that a trumpet can play depends on the player’s skill level, the type of trumpet, and the mouthpiece used. At loud dynamics, the bb trumpet can reach written f6 and f#6. learn about the standard trumpet's range in our detailed guide. Ideal for beginners and experienced players. a trumpet exhibits natural resonant frequencies. Trumpet Range Frequency.
From dxohlaoon.blob.core.windows.net
Trumpet Many Keys at Daniel Burgess blog Trumpet Range Frequency the range of notes that a trumpet can play depends on the player’s skill level, the type of trumpet, and the mouthpiece used. The standard range of a trumpet is three octaves, from a low f# (concert pitch) to a high c (concert pitch). learn about the standard trumpet's range in our detailed guide. the brass section. Trumpet Range Frequency.
From www.youtube.com
How To Improve Trumpet Range With Easy ExercisesBeginner Lesson YouTube Trumpet Range Frequency the brass section consists of four to seven french horns, three to four trumpets, three to four trombones, and one tuba. Strings violin viola cello double bass guitar keyboards piano organ percussion celeste timpani. a trumpet exhibits natural resonant frequencies which follow a harmonic sequence fairly closely up to the tenth. At loud dynamics, the bb trumpet can. Trumpet Range Frequency.
From www.researchgate.net
Top left The time waveform of a muted trumpet playing C4. The envelope Trumpet Range Frequency learn about the standard trumpet's range in our detailed guide. Ideal for beginners and experienced players. a trumpet exhibits natural resonant frequencies which follow a harmonic sequence fairly closely up to the tenth. At loud dynamics, the bb trumpet can reach written f6 and f#6. The standard range of a trumpet is three octaves, from a low f#. Trumpet Range Frequency.
From www.stockmusicmusician.com
How to EQ Brass From Trumpet to Tube, Get Great Tones! Trumpet Range Frequency Strings violin viola cello double bass guitar keyboards piano organ percussion celeste timpani. The standard range of a trumpet is three octaves, from a low f# (concert pitch) to a high c (concert pitch). the range of notes that a trumpet can play depends on the player’s skill level, the type of trumpet, and the mouthpiece used. Ideal for. Trumpet Range Frequency.