Antenna Illumination Efficiency . — high aperture illumination efficiencies can also be achieved using antenna arrays 10, but the elaborated feed networks. antennas that radiate or receive plane waves within finite apertures are aperture antennas. to minimize the effects of edge diffraction on the radiation performance of the antenna, the illumination level at the edges, that is,. Examples include the parabolic reflector. antenna [aperture] illumination efficiency is a measure of the extent to which an antenna or array is uniformly excited or illuminated. Reflectarray aperture efficiency (h a) is usually analyzed first to predict the performance of a reflectarray antenna. — this article investigates the effects of the reflectarray configuration parameters on the antenna aperture.
from www.semanticscholar.org
Examples include the parabolic reflector. to minimize the effects of edge diffraction on the radiation performance of the antenna, the illumination level at the edges, that is,. — high aperture illumination efficiencies can also be achieved using antenna arrays 10, but the elaborated feed networks. antenna [aperture] illumination efficiency is a measure of the extent to which an antenna or array is uniformly excited or illuminated. — this article investigates the effects of the reflectarray configuration parameters on the antenna aperture. Reflectarray aperture efficiency (h a) is usually analyzed first to predict the performance of a reflectarray antenna. antennas that radiate or receive plane waves within finite apertures are aperture antennas.
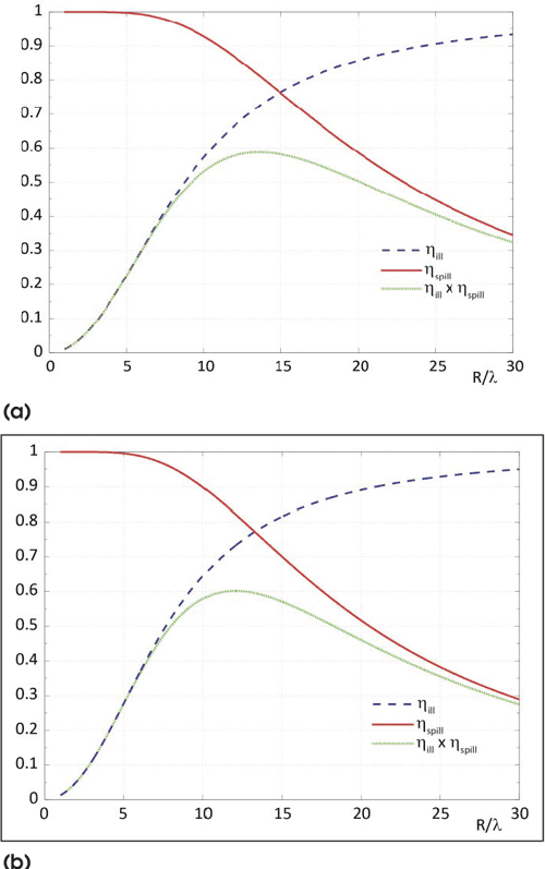
Figure 1 from Reflectarray Antennas Illumination and Spillover
Antenna Illumination Efficiency antennas that radiate or receive plane waves within finite apertures are aperture antennas. — high aperture illumination efficiencies can also be achieved using antenna arrays 10, but the elaborated feed networks. — this article investigates the effects of the reflectarray configuration parameters on the antenna aperture. antennas that radiate or receive plane waves within finite apertures are aperture antennas. Examples include the parabolic reflector. to minimize the effects of edge diffraction on the radiation performance of the antenna, the illumination level at the edges, that is,. Reflectarray aperture efficiency (h a) is usually analyzed first to predict the performance of a reflectarray antenna. antenna [aperture] illumination efficiency is a measure of the extent to which an antenna or array is uniformly excited or illuminated.
From www.antesky.com
Principle&Design of Parabolic AntennaPrime Focus Antenna Antenna Illumination Efficiency Reflectarray aperture efficiency (h a) is usually analyzed first to predict the performance of a reflectarray antenna. Examples include the parabolic reflector. to minimize the effects of edge diffraction on the radiation performance of the antenna, the illumination level at the edges, that is,. — this article investigates the effects of the reflectarray configuration parameters on the antenna. Antenna Illumination Efficiency.
From dokumen.tips
(PDF) metasurface antennas for nearunity aperture illumination Antenna Illumination Efficiency Reflectarray aperture efficiency (h a) is usually analyzed first to predict the performance of a reflectarray antenna. Examples include the parabolic reflector. — high aperture illumination efficiencies can also be achieved using antenna arrays 10, but the elaborated feed networks. antennas that radiate or receive plane waves within finite apertures are aperture antennas. — this article investigates. Antenna Illumination Efficiency.
From www.semanticscholar.org
Figure 3 from Analysis of radiation patterns and feed illumination of Antenna Illumination Efficiency antenna [aperture] illumination efficiency is a measure of the extent to which an antenna or array is uniformly excited or illuminated. antennas that radiate or receive plane waves within finite apertures are aperture antennas. Examples include the parabolic reflector. — high aperture illumination efficiencies can also be achieved using antenna arrays 10, but the elaborated feed networks.. Antenna Illumination Efficiency.
From www.numerade.com
As mentioned in the notes, the aperture illumination efficiency for Antenna Illumination Efficiency Examples include the parabolic reflector. Reflectarray aperture efficiency (h a) is usually analyzed first to predict the performance of a reflectarray antenna. antennas that radiate or receive plane waves within finite apertures are aperture antennas. — this article investigates the effects of the reflectarray configuration parameters on the antenna aperture. to minimize the effects of edge diffraction. Antenna Illumination Efficiency.
From www.slideserve.com
PPT Antennas PowerPoint Presentation, free download ID6587162 Antenna Illumination Efficiency antennas that radiate or receive plane waves within finite apertures are aperture antennas. — this article investigates the effects of the reflectarray configuration parameters on the antenna aperture. to minimize the effects of edge diffraction on the radiation performance of the antenna, the illumination level at the edges, that is,. — high aperture illumination efficiencies can. Antenna Illumination Efficiency.
From www.slideserve.com
PPT Aperture Antennas PowerPoint Presentation, free download ID610645 Antenna Illumination Efficiency antennas that radiate or receive plane waves within finite apertures are aperture antennas. — this article investigates the effects of the reflectarray configuration parameters on the antenna aperture. antenna [aperture] illumination efficiency is a measure of the extent to which an antenna or array is uniformly excited or illuminated. Examples include the parabolic reflector. to minimize. Antenna Illumination Efficiency.
From www.semanticscholar.org
Figure 1 from Reflectarray Antennas Illumination and Spillover Antenna Illumination Efficiency — high aperture illumination efficiencies can also be achieved using antenna arrays 10, but the elaborated feed networks. to minimize the effects of edge diffraction on the radiation performance of the antenna, the illumination level at the edges, that is,. — this article investigates the effects of the reflectarray configuration parameters on the antenna aperture. Examples include. Antenna Illumination Efficiency.
From www.semanticscholar.org
Figure 2 from Reflectarray Antennas Illumination and Spillover Antenna Illumination Efficiency Examples include the parabolic reflector. — high aperture illumination efficiencies can also be achieved using antenna arrays 10, but the elaborated feed networks. antennas that radiate or receive plane waves within finite apertures are aperture antennas. to minimize the effects of edge diffraction on the radiation performance of the antenna, the illumination level at the edges, that. Antenna Illumination Efficiency.
From www.numerade.com
SOLVED 'A paraboloid reflector antenna with diameter 20 meters is Antenna Illumination Efficiency to minimize the effects of edge diffraction on the radiation performance of the antenna, the illumination level at the edges, that is,. — this article investigates the effects of the reflectarray configuration parameters on the antenna aperture. antennas that radiate or receive plane waves within finite apertures are aperture antennas. — high aperture illumination efficiencies can. Antenna Illumination Efficiency.
From www.chegg.com
Solved 1.0 APERTURE TAPER EFFICIENCY n 0.9 r SPILL OVER Antenna Illumination Efficiency antennas that radiate or receive plane waves within finite apertures are aperture antennas. — this article investigates the effects of the reflectarray configuration parameters on the antenna aperture. antenna [aperture] illumination efficiency is a measure of the extent to which an antenna or array is uniformly excited or illuminated. to minimize the effects of edge diffraction. Antenna Illumination Efficiency.
From www.researchgate.net
Figuar.1 Illumination configuration antenna from which one illuminates Antenna Illumination Efficiency — this article investigates the effects of the reflectarray configuration parameters on the antenna aperture. — high aperture illumination efficiencies can also be achieved using antenna arrays 10, but the elaborated feed networks. Reflectarray aperture efficiency (h a) is usually analyzed first to predict the performance of a reflectarray antenna. Examples include the parabolic reflector. to minimize. Antenna Illumination Efficiency.
From www.semanticscholar.org
[PDF] Reflectarray Antennas Illumination and Spillover Efficiency Antenna Illumination Efficiency — this article investigates the effects of the reflectarray configuration parameters on the antenna aperture. Examples include the parabolic reflector. to minimize the effects of edge diffraction on the radiation performance of the antenna, the illumination level at the edges, that is,. — high aperture illumination efficiencies can also be achieved using antenna arrays 10, but the. Antenna Illumination Efficiency.
From www.researchgate.net
(PDF) Cavityexcited Huygens' metasurface antennas for nearunity Antenna Illumination Efficiency — high aperture illumination efficiencies can also be achieved using antenna arrays 10, but the elaborated feed networks. Reflectarray aperture efficiency (h a) is usually analyzed first to predict the performance of a reflectarray antenna. — this article investigates the effects of the reflectarray configuration parameters on the antenna aperture. Examples include the parabolic reflector. antennas that. Antenna Illumination Efficiency.
From www.semanticscholar.org
Figure 1 from Reflectarray Antennas Illumination and Spillover Antenna Illumination Efficiency Examples include the parabolic reflector. antennas that radiate or receive plane waves within finite apertures are aperture antennas. Reflectarray aperture efficiency (h a) is usually analyzed first to predict the performance of a reflectarray antenna. — this article investigates the effects of the reflectarray configuration parameters on the antenna aperture. antenna [aperture] illumination efficiency is a measure. Antenna Illumination Efficiency.
From www.researchgate.net
Calculated illumination efficiency vs. distance F and angle α Antenna Illumination Efficiency antenna [aperture] illumination efficiency is a measure of the extent to which an antenna or array is uniformly excited or illuminated. to minimize the effects of edge diffraction on the radiation performance of the antenna, the illumination level at the edges, that is,. antennas that radiate or receive plane waves within finite apertures are aperture antennas. Examples. Antenna Illumination Efficiency.
From www.researchgate.net
Geometry definitions for usable antenna beam illumination. Download Antenna Illumination Efficiency Examples include the parabolic reflector. antenna [aperture] illumination efficiency is a measure of the extent to which an antenna or array is uniformly excited or illuminated. — high aperture illumination efficiencies can also be achieved using antenna arrays 10, but the elaborated feed networks. Reflectarray aperture efficiency (h a) is usually analyzed first to predict the performance of. Antenna Illumination Efficiency.
From www.researchgate.net
3 A diagram illustrating the FAST antenna dish and illumination area Antenna Illumination Efficiency to minimize the effects of edge diffraction on the radiation performance of the antenna, the illumination level at the edges, that is,. — this article investigates the effects of the reflectarray configuration parameters on the antenna aperture. Reflectarray aperture efficiency (h a) is usually analyzed first to predict the performance of a reflectarray antenna. antennas that radiate. Antenna Illumination Efficiency.
From www.researchgate.net
The illumination area of the UWB antenna for microwave imaging Antenna Illumination Efficiency antennas that radiate or receive plane waves within finite apertures are aperture antennas. Examples include the parabolic reflector. Reflectarray aperture efficiency (h a) is usually analyzed first to predict the performance of a reflectarray antenna. — this article investigates the effects of the reflectarray configuration parameters on the antenna aperture. — high aperture illumination efficiencies can also. Antenna Illumination Efficiency.
From www.researchgate.net
(a) Illuminating antenna system with a metallic reflector. Dimensions Antenna Illumination Efficiency — this article investigates the effects of the reflectarray configuration parameters on the antenna aperture. antenna [aperture] illumination efficiency is a measure of the extent to which an antenna or array is uniformly excited or illuminated. — high aperture illumination efficiencies can also be achieved using antenna arrays 10, but the elaborated feed networks. antennas that. Antenna Illumination Efficiency.
From www.mdpi.com
Micromachines Free FullText Scalable, DualBand Metasurface Array Antenna Illumination Efficiency to minimize the effects of edge diffraction on the radiation performance of the antenna, the illumination level at the edges, that is,. Examples include the parabolic reflector. antennas that radiate or receive plane waves within finite apertures are aperture antennas. Reflectarray aperture efficiency (h a) is usually analyzed first to predict the performance of a reflectarray antenna. . Antenna Illumination Efficiency.
From www.researchgate.net
Geometry of the antenna physical aperture used as AP Download Antenna Illumination Efficiency Reflectarray aperture efficiency (h a) is usually analyzed first to predict the performance of a reflectarray antenna. — high aperture illumination efficiencies can also be achieved using antenna arrays 10, but the elaborated feed networks. — this article investigates the effects of the reflectarray configuration parameters on the antenna aperture. Examples include the parabolic reflector. antenna [aperture]. Antenna Illumination Efficiency.
From www.academia.edu
(PDF) Broadband Integrated Lens for Illuminating Reflector Antenna with Antenna Illumination Efficiency to minimize the effects of edge diffraction on the radiation performance of the antenna, the illumination level at the edges, that is,. — this article investigates the effects of the reflectarray configuration parameters on the antenna aperture. Reflectarray aperture efficiency (h a) is usually analyzed first to predict the performance of a reflectarray antenna. antenna [aperture] illumination. Antenna Illumination Efficiency.
From www.researchgate.net
Spot size affected by misalignment illuminating the antenna at the Antenna Illumination Efficiency antennas that radiate or receive plane waves within finite apertures are aperture antennas. — high aperture illumination efficiencies can also be achieved using antenna arrays 10, but the elaborated feed networks. to minimize the effects of edge diffraction on the radiation performance of the antenna, the illumination level at the edges, that is,. Examples include the parabolic. Antenna Illumination Efficiency.
From www.slideserve.com
PPT Antennas & Receivers in Radio Astronomy PowerPoint Presentation Antenna Illumination Efficiency — high aperture illumination efficiencies can also be achieved using antenna arrays 10, but the elaborated feed networks. antenna [aperture] illumination efficiency is a measure of the extent to which an antenna or array is uniformly excited or illuminated. — this article investigates the effects of the reflectarray configuration parameters on the antenna aperture. Examples include the. Antenna Illumination Efficiency.
From www.researchgate.net
Aperture efficiency of the proposed lens antenna as a function of Antenna Illumination Efficiency Examples include the parabolic reflector. antennas that radiate or receive plane waves within finite apertures are aperture antennas. to minimize the effects of edge diffraction on the radiation performance of the antenna, the illumination level at the edges, that is,. — high aperture illumination efficiencies can also be achieved using antenna arrays 10, but the elaborated feed. Antenna Illumination Efficiency.
From www.mdpi.com
Micromachines Free FullText Optical Coupling Efficiency of a Antenna Illumination Efficiency Examples include the parabolic reflector. to minimize the effects of edge diffraction on the radiation performance of the antenna, the illumination level at the edges, that is,. — high aperture illumination efficiencies can also be achieved using antenna arrays 10, but the elaborated feed networks. antenna [aperture] illumination efficiency is a measure of the extent to which. Antenna Illumination Efficiency.
From www.youtube.com
Antenna Efficiency Lesson 2 YouTube Antenna Illumination Efficiency to minimize the effects of edge diffraction on the radiation performance of the antenna, the illumination level at the edges, that is,. antenna [aperture] illumination efficiency is a measure of the extent to which an antenna or array is uniformly excited or illuminated. antennas that radiate or receive plane waves within finite apertures are aperture antennas. . Antenna Illumination Efficiency.
From www.researchgate.net
A directional antenna gain function Download Scientific Diagram Antenna Illumination Efficiency antenna [aperture] illumination efficiency is a measure of the extent to which an antenna or array is uniformly excited or illuminated. antennas that radiate or receive plane waves within finite apertures are aperture antennas. to minimize the effects of edge diffraction on the radiation performance of the antenna, the illumination level at the edges, that is,. . Antenna Illumination Efficiency.
From www.slideserve.com
PPT Antennas in Radio Astronomy PowerPoint Presentation, free Antenna Illumination Efficiency antennas that radiate or receive plane waves within finite apertures are aperture antennas. — this article investigates the effects of the reflectarray configuration parameters on the antenna aperture. — high aperture illumination efficiencies can also be achieved using antenna arrays 10, but the elaborated feed networks. antenna [aperture] illumination efficiency is a measure of the extent. Antenna Illumination Efficiency.
From www.researchgate.net
Multiplexing efficiency of the antenna Download Scientific Diagram Antenna Illumination Efficiency Reflectarray aperture efficiency (h a) is usually analyzed first to predict the performance of a reflectarray antenna. — high aperture illumination efficiencies can also be achieved using antenna arrays 10, but the elaborated feed networks. antenna [aperture] illumination efficiency is a measure of the extent to which an antenna or array is uniformly excited or illuminated. to. Antenna Illumination Efficiency.
From www.semanticscholar.org
[PDF] Reflectarray Antennas Illumination and Spillover Efficiency Antenna Illumination Efficiency Reflectarray aperture efficiency (h a) is usually analyzed first to predict the performance of a reflectarray antenna. — high aperture illumination efficiencies can also be achieved using antenna arrays 10, but the elaborated feed networks. Examples include the parabolic reflector. antenna [aperture] illumination efficiency is a measure of the extent to which an antenna or array is uniformly. Antenna Illumination Efficiency.
From www.researchgate.net
demonstrates the dependences of antenna directivity and the edge Antenna Illumination Efficiency Examples include the parabolic reflector. to minimize the effects of edge diffraction on the radiation performance of the antenna, the illumination level at the edges, that is,. — this article investigates the effects of the reflectarray configuration parameters on the antenna aperture. — high aperture illumination efficiencies can also be achieved using antenna arrays 10, but the. Antenna Illumination Efficiency.
From www.researchgate.net
Measured radiation pattern of a single patch antenna illuminating the Antenna Illumination Efficiency — this article investigates the effects of the reflectarray configuration parameters on the antenna aperture. — high aperture illumination efficiencies can also be achieved using antenna arrays 10, but the elaborated feed networks. antennas that radiate or receive plane waves within finite apertures are aperture antennas. Examples include the parabolic reflector. to minimize the effects of. Antenna Illumination Efficiency.
From www.semanticscholar.org
Figure 3 from Reflectarray Antennas Illumination and Spillover Antenna Illumination Efficiency to minimize the effects of edge diffraction on the radiation performance of the antenna, the illumination level at the edges, that is,. — this article investigates the effects of the reflectarray configuration parameters on the antenna aperture. antennas that radiate or receive plane waves within finite apertures are aperture antennas. Reflectarray aperture efficiency (h a) is usually. Antenna Illumination Efficiency.
From www.numerade.com
SOLVED 3) A small paraboloid reflector (dish) is used as reception Antenna Illumination Efficiency antenna [aperture] illumination efficiency is a measure of the extent to which an antenna or array is uniformly excited or illuminated. to minimize the effects of edge diffraction on the radiation performance of the antenna, the illumination level at the edges, that is,. — high aperture illumination efficiencies can also be achieved using antenna arrays 10, but. Antenna Illumination Efficiency.