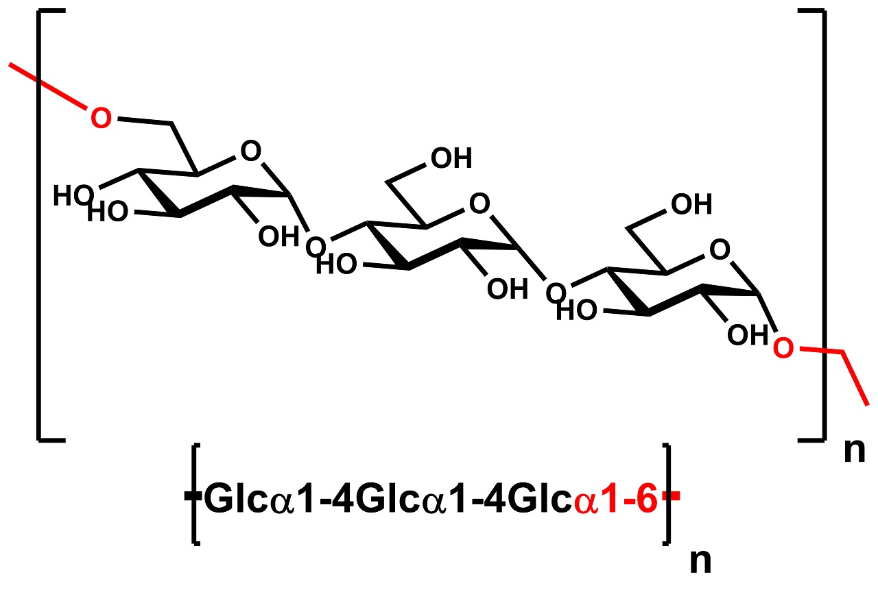
Pullulan Standard Kit . pullulan is a polysaccharide and is used as calibration standard for aqueous size exclusion chromatography. 8 pullulan standards for aqueous mw testing at. プルラン標準物質セット、mp:約350~700′000 set of analytical standards, for gpc; waters’ pullulan kit contains a unique collection of 8 different gfc standards designed for molecular weight determination. Each standard is used for. Certified reference material, certified according to din, for. kit with carefully selected reference materials to calibrate gpc/sec/gfc systems. The kit contains standards of. a unique collection of gfc standards for molecular weight determination.
from www.mdpi.com
The kit contains standards of. Certified reference material, certified according to din, for. 8 pullulan standards for aqueous mw testing at. waters’ pullulan kit contains a unique collection of 8 different gfc standards designed for molecular weight determination. kit with carefully selected reference materials to calibrate gpc/sec/gfc systems. プルラン標準物質セット、mp:約350~700′000 set of analytical standards, for gpc; pullulan is a polysaccharide and is used as calibration standard for aqueous size exclusion chromatography. Each standard is used for. a unique collection of gfc standards for molecular weight determination.
Coatings Free FullText Effects of PullulanBased Coatings
Pullulan Standard Kit a unique collection of gfc standards for molecular weight determination. waters’ pullulan kit contains a unique collection of 8 different gfc standards designed for molecular weight determination. Certified reference material, certified according to din, for. pullulan is a polysaccharide and is used as calibration standard for aqueous size exclusion chromatography. kit with carefully selected reference materials to calibrate gpc/sec/gfc systems. Each standard is used for. 8 pullulan standards for aqueous mw testing at. The kit contains standards of. プルラン標準物質セット、mp:約350~700′000 set of analytical standards, for gpc; a unique collection of gfc standards for molecular weight determination.
From theanalyticalscientist.com
Pullulan GPC/SEC/GFC calibration kit Pullulan Standard Kit The kit contains standards of. Certified reference material, certified according to din, for. pullulan is a polysaccharide and is used as calibration standard for aqueous size exclusion chromatography. a unique collection of gfc standards for molecular weight determination. プルラン標準物質セット、mp:約350~700′000 set of analytical standards, for gpc; kit with carefully selected reference materials to calibrate gpc/sec/gfc systems. . Pullulan Standard Kit.
From bdfaithful.com
Pullulan Powder FAISFOR Pullulan Standard Kit Certified reference material, certified according to din, for. The kit contains standards of. kit with carefully selected reference materials to calibrate gpc/sec/gfc systems. a unique collection of gfc standards for molecular weight determination. Each standard is used for. 8 pullulan standards for aqueous mw testing at. waters’ pullulan kit contains a unique collection of 8 different gfc. Pullulan Standard Kit.
From www.indiamart.com
pullulan powder, Grade Standard A, Grade Cosmetic at Rs 2500/kg in Jetpur Pullulan Standard Kit pullulan is a polysaccharide and is used as calibration standard for aqueous size exclusion chromatography. プルラン標準物質セット、mp:約350~700′000 set of analytical standards, for gpc; a unique collection of gfc standards for molecular weight determination. 8 pullulan standards for aqueous mw testing at. Each standard is used for. The kit contains standards of. waters’ pullulan kit contains a unique. Pullulan Standard Kit.
From horex.pl
Pullulan (100 wegański składnik) czym jest i jak działa? Pullulan Standard Kit Certified reference material, certified according to din, for. 8 pullulan standards for aqueous mw testing at. waters’ pullulan kit contains a unique collection of 8 different gfc standards designed for molecular weight determination. The kit contains standards of. kit with carefully selected reference materials to calibrate gpc/sec/gfc systems. プルラン標準物質セット、mp:約350~700′000 set of analytical standards, for gpc; a. Pullulan Standard Kit.
From www.chinafoodpharm.com
Pullulan, Pullulan manufacturer, pullulan factory, Pullulan Pullulan Standard Kit プルラン標準物質セット、mp:約350~700′000 set of analytical standards, for gpc; pullulan is a polysaccharide and is used as calibration standard for aqueous size exclusion chromatography. 8 pullulan standards for aqueous mw testing at. Each standard is used for. waters’ pullulan kit contains a unique collection of 8 different gfc standards designed for molecular weight determination. kit with carefully selected. Pullulan Standard Kit.
From www.pharmasources.com
buy high quality Food and Pharma Grade Pullulan powder,Food and Pharma Pullulan Standard Kit The kit contains standards of. waters’ pullulan kit contains a unique collection of 8 different gfc standards designed for molecular weight determination. a unique collection of gfc standards for molecular weight determination. pullulan is a polysaccharide and is used as calibration standard for aqueous size exclusion chromatography. Each standard is used for. プルラン標準物質セット、mp:約350~700′000 set of analytical. Pullulan Standard Kit.
From www.scientificlabs.co.uk
Pullulan Standard, certified r 1878925MG SUPELCO SLS Pullulan Standard Kit Each standard is used for. a unique collection of gfc standards for molecular weight determination. 8 pullulan standards for aqueous mw testing at. The kit contains standards of. プルラン標準物質セット、mp:約350~700′000 set of analytical standards, for gpc; pullulan is a polysaccharide and is used as calibration standard for aqueous size exclusion chromatography. waters’ pullulan kit contains a unique. Pullulan Standard Kit.
From www.labor.com.tr
SigmaAldrich P4516 Pullulan suitable for substrate for pullulanase 25 gr Pullulan Standard Kit The kit contains standards of. プルラン標準物質セット、mp:約350~700′000 set of analytical standards, for gpc; kit with carefully selected reference materials to calibrate gpc/sec/gfc systems. 8 pullulan standards for aqueous mw testing at. Certified reference material, certified according to din, for. pullulan is a polysaccharide and is used as calibration standard for aqueous size exclusion chromatography. Each standard is used. Pullulan Standard Kit.
From www.sxytbio.com
China Pullulan Powder Manufacturers Suppliers Factory Wholesale Pullulan Standard Kit a unique collection of gfc standards for molecular weight determination. waters’ pullulan kit contains a unique collection of 8 different gfc standards designed for molecular weight determination. Certified reference material, certified according to din, for. kit with carefully selected reference materials to calibrate gpc/sec/gfc systems. プルラン標準物質セット、mp:約350~700′000 set of analytical standards, for gpc; 8 pullulan standards for. Pullulan Standard Kit.
From www.researchgate.net
FTIR spectra of (A) pure Pullulan (B) pure CMC (C) 60/40 Pullulan/CMC Pullulan Standard Kit プルラン標準物質セット、mp:約350~700′000 set of analytical standards, for gpc; pullulan is a polysaccharide and is used as calibration standard for aqueous size exclusion chromatography. waters’ pullulan kit contains a unique collection of 8 different gfc standards designed for molecular weight determination. Certified reference material, certified according to din, for. Each standard is used for. The kit contains standards of.. Pullulan Standard Kit.
From www.labor.com.tr
SigmaAldrich P4516 Pullulan suitable for substrate for pullulanase 25 gr Pullulan Standard Kit pullulan is a polysaccharide and is used as calibration standard for aqueous size exclusion chromatography. The kit contains standards of. 8 pullulan standards for aqueous mw testing at. kit with carefully selected reference materials to calibrate gpc/sec/gfc systems. Each standard is used for. プルラン標準物質セット、mp:約350~700′000 set of analytical standards, for gpc; a unique collection of gfc standards. Pullulan Standard Kit.
From acrossbiotech.com
Pullulan CAS 9057027 Across Biotech Pullulan Standard Kit The kit contains standards of. waters’ pullulan kit contains a unique collection of 8 different gfc standards designed for molecular weight determination. 8 pullulan standards for aqueous mw testing at. Each standard is used for. pullulan is a polysaccharide and is used as calibration standard for aqueous size exclusion chromatography. kit with carefully selected reference materials to. Pullulan Standard Kit.
From www.researchgate.net
TGA thermograms a) pullulan standard, b) pullulan produced by A Pullulan Standard Kit プルラン標準物質セット、mp:約350~700′000 set of analytical standards, for gpc; The kit contains standards of. pullulan is a polysaccharide and is used as calibration standard for aqueous size exclusion chromatography. Certified reference material, certified according to din, for. kit with carefully selected reference materials to calibrate gpc/sec/gfc systems. waters’ pullulan kit contains a unique collection of 8 different gfc. Pullulan Standard Kit.
From www.labor.com.tr
SigmaAldrich P4516 Pullulan suitable for substrate for pullulanase 25 gr Pullulan Standard Kit Certified reference material, certified according to din, for. a unique collection of gfc standards for molecular weight determination. プルラン標準物質セット、mp:約350~700′000 set of analytical standards, for gpc; 8 pullulan standards for aqueous mw testing at. waters’ pullulan kit contains a unique collection of 8 different gfc standards designed for molecular weight determination. kit with carefully selected reference materials. Pullulan Standard Kit.
From www.elite-indus.com
Natural Water Soluble Pullulan Polysaccharide For Pharmaceutical Pullulan Standard Kit プルラン標準物質セット、mp:約350~700′000 set of analytical standards, for gpc; Certified reference material, certified according to din, for. kit with carefully selected reference materials to calibrate gpc/sec/gfc systems. Each standard is used for. a unique collection of gfc standards for molecular weight determination. pullulan is a polysaccharide and is used as calibration standard for aqueous size exclusion chromatography. . Pullulan Standard Kit.
From kr.bossgoo.com
고품질 Pullulan Cas 9057027, 고품질 고품질 Pullulan Cas 9057027 Pullulan Standard Kit Each standard is used for. Certified reference material, certified according to din, for. a unique collection of gfc standards for molecular weight determination. pullulan is a polysaccharide and is used as calibration standard for aqueous size exclusion chromatography. kit with carefully selected reference materials to calibrate gpc/sec/gfc systems. 8 pullulan standards for aqueous mw testing at. . Pullulan Standard Kit.
From scmpio.en.made-in-china.com
Pharmaceutical Grade Thickener Pullulan 9057027 China Pullulan and Pullulan Standard Kit waters’ pullulan kit contains a unique collection of 8 different gfc standards designed for molecular weight determination. プルラン標準物質セット、mp:約350~700′000 set of analytical standards, for gpc; kit with carefully selected reference materials to calibrate gpc/sec/gfc systems. pullulan is a polysaccharide and is used as calibration standard for aqueous size exclusion chromatography. a unique collection of gfc standards. Pullulan Standard Kit.
From www.shodex.de
Pullulan calibration standard Shodex Pullulan Standard Kit pullulan is a polysaccharide and is used as calibration standard for aqueous size exclusion chromatography. プルラン標準物質セット、mp:約350~700′000 set of analytical standards, for gpc; The kit contains standards of. Each standard is used for. 8 pullulan standards for aqueous mw testing at. kit with carefully selected reference materials to calibrate gpc/sec/gfc systems. waters’ pullulan kit contains a unique. Pullulan Standard Kit.
From pubs.acs.org
Green and Facile Synthesis of PullulanStabilized Silver and Gold Pullulan Standard Kit Certified reference material, certified according to din, for. waters’ pullulan kit contains a unique collection of 8 different gfc standards designed for molecular weight determination. pullulan is a polysaccharide and is used as calibration standard for aqueous size exclusion chromatography. 8 pullulan standards for aqueous mw testing at. kit with carefully selected reference materials to calibrate gpc/sec/gfc. Pullulan Standard Kit.
From www.mdpi.com
Coatings Free FullText Effects of PullulanBased Coatings Pullulan Standard Kit Certified reference material, certified according to din, for. 8 pullulan standards for aqueous mw testing at. waters’ pullulan kit contains a unique collection of 8 different gfc standards designed for molecular weight determination. The kit contains standards of. pullulan is a polysaccharide and is used as calibration standard for aqueous size exclusion chromatography. プルラン標準物質セット、mp:約350~700′000 set of analytical. Pullulan Standard Kit.
From acrossbiotech.com
How Is Pullulan Made? Across Biotech Pullulan Standard Kit 8 pullulan standards for aqueous mw testing at. waters’ pullulan kit contains a unique collection of 8 different gfc standards designed for molecular weight determination. Each standard is used for. プルラン標準物質セット、mp:約350~700′000 set of analytical standards, for gpc; The kit contains standards of. a unique collection of gfc standards for molecular weight determination. kit with carefully selected. Pullulan Standard Kit.
From fredabiotech.en.made-in-china.com
Pullulan Powder Capsule Polysaccharide Wholesale Price Natural Film Pullulan Standard Kit waters’ pullulan kit contains a unique collection of 8 different gfc standards designed for molecular weight determination. kit with carefully selected reference materials to calibrate gpc/sec/gfc systems. Certified reference material, certified according to din, for. 8 pullulan standards for aqueous mw testing at. pullulan is a polysaccharide and is used as calibration standard for aqueous size exclusion. Pullulan Standard Kit.
From faithfulindustry.en.made-in-china.com
Food Additive Pullulan CAS 9057027 Pure Pullulan Powder China Pullulan Standard Kit The kit contains standards of. kit with carefully selected reference materials to calibrate gpc/sec/gfc systems. a unique collection of gfc standards for molecular weight determination. プルラン標準物質セット、mp:約350~700′000 set of analytical standards, for gpc; Certified reference material, certified according to din, for. Each standard is used for. waters’ pullulan kit contains a unique collection of 8 different gfc. Pullulan Standard Kit.
From jnfuturechemical.en.made-in-china.com
High Quality Pullulan for Cosmetic Filler 9057027 Pullulan Standard Pullulan Standard Kit The kit contains standards of. kit with carefully selected reference materials to calibrate gpc/sec/gfc systems. waters’ pullulan kit contains a unique collection of 8 different gfc standards designed for molecular weight determination. a unique collection of gfc standards for molecular weight determination. 8 pullulan standards for aqueous mw testing at. プルラン標準物質セット、mp:約350~700′000 set of analytical standards, for. Pullulan Standard Kit.
From www.pharmaexcipients.com
Pullulan in pharmaceutical and cosmeceutical formulations A review Pullulan Standard Kit pullulan is a polysaccharide and is used as calibration standard for aqueous size exclusion chromatography. waters’ pullulan kit contains a unique collection of 8 different gfc standards designed for molecular weight determination. Certified reference material, certified according to din, for. kit with carefully selected reference materials to calibrate gpc/sec/gfc systems. Each standard is used for. プルラン標準物質セット、mp:約350~700′000. Pullulan Standard Kit.
From www.indiamart.com
Pullulan Powder at Rs 5500 Cosmetic Ingredients in Surat ID Pullulan Standard Kit 8 pullulan standards for aqueous mw testing at. kit with carefully selected reference materials to calibrate gpc/sec/gfc systems. waters’ pullulan kit contains a unique collection of 8 different gfc standards designed for molecular weight determination. pullulan is a polysaccharide and is used as calibration standard for aqueous size exclusion chromatography. プルラン標準物質セット、mp:約350~700′000 set of analytical standards, for. Pullulan Standard Kit.
From www.indiamart.com
Pullulan (Kopulan), For Pharmaceuticals, Kumar Organic Products Limited Pullulan Standard Kit Certified reference material, certified according to din, for. プルラン標準物質セット、mp:約350~700′000 set of analytical standards, for gpc; pullulan is a polysaccharide and is used as calibration standard for aqueous size exclusion chromatography. a unique collection of gfc standards for molecular weight determination. Each standard is used for. kit with carefully selected reference materials to calibrate gpc/sec/gfc systems. 8. Pullulan Standard Kit.
From journals.sagepub.com
Review on applications of Pullulan in bone tissue engineering Blends Pullulan Standard Kit プルラン標準物質セット、mp:約350~700′000 set of analytical standards, for gpc; Each standard is used for. The kit contains standards of. a unique collection of gfc standards for molecular weight determination. waters’ pullulan kit contains a unique collection of 8 different gfc standards designed for molecular weight determination. kit with carefully selected reference materials to calibrate gpc/sec/gfc systems. Certified reference. Pullulan Standard Kit.
From www.mdpi.com
IJMS Free FullText PullulanBased Hydrogels in Wound Healing and Pullulan Standard Kit a unique collection of gfc standards for molecular weight determination. プルラン標準物質セット、mp:約350~700′000 set of analytical standards, for gpc; Certified reference material, certified according to din, for. Each standard is used for. The kit contains standards of. 8 pullulan standards for aqueous mw testing at. pullulan is a polysaccharide and is used as calibration standard for aqueous size exclusion. Pullulan Standard Kit.
From www.researchgate.net
The FTIR absorption spectrum of standard Pullulan (A) and pullulan Pullulan Standard Kit kit with carefully selected reference materials to calibrate gpc/sec/gfc systems. waters’ pullulan kit contains a unique collection of 8 different gfc standards designed for molecular weight determination. The kit contains standards of. Each standard is used for. 8 pullulan standards for aqueous mw testing at. pullulan is a polysaccharide and is used as calibration standard for aqueous. Pullulan Standard Kit.
From www.megazyme.com
Pullulan Polysaccharides Megazyme Pullulan Standard Kit The kit contains standards of. プルラン標準物質セット、mp:約350~700′000 set of analytical standards, for gpc; a unique collection of gfc standards for molecular weight determination. 8 pullulan standards for aqueous mw testing at. pullulan is a polysaccharide and is used as calibration standard for aqueous size exclusion chromatography. Each standard is used for. waters’ pullulan kit contains a unique. Pullulan Standard Kit.
From theanalyticalscientist.com
Pullulan ReadyCal Kits for GPC/SEC calibration Pullulan Standard Kit pullulan is a polysaccharide and is used as calibration standard for aqueous size exclusion chromatography. Certified reference material, certified according to din, for. kit with carefully selected reference materials to calibrate gpc/sec/gfc systems. 8 pullulan standards for aqueous mw testing at. Each standard is used for. The kit contains standards of. プルラン標準物質セット、mp:約350~700′000 set of analytical standards, for. Pullulan Standard Kit.
From lifelongchems.com
Pullulan,Pullulan food grade,Pullulan cosmetic grade,food grade Pullulan Standard Kit The kit contains standards of. Each standard is used for. Certified reference material, certified according to din, for. kit with carefully selected reference materials to calibrate gpc/sec/gfc systems. pullulan is a polysaccharide and is used as calibration standard for aqueous size exclusion chromatography. プルラン標準物質セット、mp:約350~700′000 set of analytical standards, for gpc; waters’ pullulan kit contains a unique. Pullulan Standard Kit.
From www.cosmeticstudio.co.za
Pullulan Cosmetic Studio Pullulan Standard Kit Each standard is used for. プルラン標準物質セット、mp:約350~700′000 set of analytical standards, for gpc; a unique collection of gfc standards for molecular weight determination. The kit contains standards of. waters’ pullulan kit contains a unique collection of 8 different gfc standards designed for molecular weight determination. 8 pullulan standards for aqueous mw testing at. pullulan is a polysaccharide. Pullulan Standard Kit.
From www.pharmasources.com
buy high quality Food Ingredient Sweetener Pullulan powder,Food Pullulan Standard Kit pullulan is a polysaccharide and is used as calibration standard for aqueous size exclusion chromatography. waters’ pullulan kit contains a unique collection of 8 different gfc standards designed for molecular weight determination. a unique collection of gfc standards for molecular weight determination. 8 pullulan standards for aqueous mw testing at. kit with carefully selected reference materials. Pullulan Standard Kit.