Acceleration Formula M/S2 . If t (time taken), v (final velocity) and u (initial velocity) are provided. To do this you need to know equation for acceleration: Acceleration is a vector, and thus has a. The si unit for acceleration is m/s². Acceleration is the rate at which velocity changes. What is the force required to accelerate an object with a mass of 20 kg from stationary to 3 m/s 2? The s.i unit for acceleration is meter per second square or m/s 2. It can be thought of as (m/s)/s but is usually written m/s 2. F = 20 kg * 3 m/s 2. So their acceleration is 1 m/s2. Newtons are a derived unit,. You are cruising along in. A = δv / δt where a is. F = m * a. In symbols, average acceleration is a= δv/δt.
from byjus.com
Acceleration is the rate at which velocity changes. A = δv / δt where a is. In symbols, average acceleration is a= δv/δt. To do this you need to know equation for acceleration: Newtons are a derived unit,. So their acceleration is 1 m/s2. The si unit for acceleration is m/s². F = 20 kg * 3 m/s 2. What is the force required to accelerate an object with a mass of 20 kg from stationary to 3 m/s 2? If t (time taken), v (final velocity) and u (initial velocity) are provided.
Acceleration of a body is given by a=(4 3v) m/s^2^. Speed v is in m/s
Acceleration Formula M/S2 The s.i unit for acceleration is meter per second square or m/s 2. It can be thought of as (m/s)/s but is usually written m/s 2. The si unit for acceleration is m/s². F = m * a. To do this you need to know equation for acceleration: A = δv / δt where a is. So their acceleration is 1 m/s2. The s.i unit for acceleration is meter per second square or m/s 2. What is the force required to accelerate an object with a mass of 20 kg from stationary to 3 m/s 2? F = 20 kg * 3 m/s 2. In symbols, average acceleration is a= δv/δt. Acceleration is a vector, and thus has a. Acceleration is the rate at which velocity changes. If t (time taken), v (final velocity) and u (initial velocity) are provided. You are cruising along in. Newtons are a derived unit,.
From www.slideserve.com
PPT Tangential and Centripetal Acceleration PowerPoint Presentation Acceleration Formula M/S2 F = 20 kg * 3 m/s 2. The s.i unit for acceleration is meter per second square or m/s 2. To do this you need to know equation for acceleration: So their acceleration is 1 m/s2. In symbols, average acceleration is a= δv/δt. The si unit for acceleration is m/s². A = δv / δt where a is. You. Acceleration Formula M/S2.
From brainly.in
An object undergoes an acceleration of 8 m//s^(2) starting from rest Acceleration Formula M/S2 The si unit for acceleration is m/s². It can be thought of as (m/s)/s but is usually written m/s 2. F = 20 kg * 3 m/s 2. In symbols, average acceleration is a= δv/δt. What is the force required to accelerate an object with a mass of 20 kg from stationary to 3 m/s 2? You are cruising along. Acceleration Formula M/S2.
From byjus.com
A force of 5 N gives a mass m1 an acceleration of 10 m/s2 and a mass m2 Acceleration Formula M/S2 If t (time taken), v (final velocity) and u (initial velocity) are provided. The si unit for acceleration is m/s². It can be thought of as (m/s)/s but is usually written m/s 2. To do this you need to know equation for acceleration: The s.i unit for acceleration is meter per second square or m/s 2. Newtons are a derived. Acceleration Formula M/S2.
From www.slideserve.com
PPT Kinematics Equations PowerPoint Presentation ID2157638 Acceleration Formula M/S2 It can be thought of as (m/s)/s but is usually written m/s 2. What is the force required to accelerate an object with a mass of 20 kg from stationary to 3 m/s 2? The si unit for acceleration is m/s². The s.i unit for acceleration is meter per second square or m/s 2. So their acceleration is 1 m/s2.. Acceleration Formula M/S2.
From www.numerade.com
SOLVED A 10kg rock is thrown upward with a force of 280 N at a Acceleration Formula M/S2 Newtons are a derived unit,. In symbols, average acceleration is a= δv/δt. F = m * a. So their acceleration is 1 m/s2. The s.i unit for acceleration is meter per second square or m/s 2. Acceleration is the rate at which velocity changes. What is the force required to accelerate an object with a mass of 20 kg from. Acceleration Formula M/S2.
From www.slideserve.com
PPT ACCELERATION C10,S2 PowerPoint Presentation, free download ID Acceleration Formula M/S2 If t (time taken), v (final velocity) and u (initial velocity) are provided. F = 20 kg * 3 m/s 2. Acceleration is a vector, and thus has a. In symbols, average acceleration is a= δv/δt. To do this you need to know equation for acceleration: The s.i unit for acceleration is meter per second square or m/s 2. F. Acceleration Formula M/S2.
From byjus.com
A force gives an object of m1 an acceleration of12 m/s2 and an object Acceleration Formula M/S2 So their acceleration is 1 m/s2. It can be thought of as (m/s)/s but is usually written m/s 2. Newtons are a derived unit,. What is the force required to accelerate an object with a mass of 20 kg from stationary to 3 m/s 2? In symbols, average acceleration is a= δv/δt. Acceleration is the rate at which velocity changes.. Acceleration Formula M/S2.
From www.chegg.com
Solved The acceleration function (in m/s2) and the initial Acceleration Formula M/S2 If t (time taken), v (final velocity) and u (initial velocity) are provided. F = 20 kg * 3 m/s 2. A = δv / δt where a is. Acceleration is a vector, and thus has a. The si unit for acceleration is m/s². The s.i unit for acceleration is meter per second square or m/s 2. What is the. Acceleration Formula M/S2.
From www.chegg.com
Solved The acceleration of an object (in m/s2) is given by Acceleration Formula M/S2 In symbols, average acceleration is a= δv/δt. To do this you need to know equation for acceleration: The si unit for acceleration is m/s². It can be thought of as (m/s)/s but is usually written m/s 2. What is the force required to accelerate an object with a mass of 20 kg from stationary to 3 m/s 2? F =. Acceleration Formula M/S2.
From www.slideserve.com
PPT Kinematics Equations PowerPoint Presentation, free download ID Acceleration Formula M/S2 A = δv / δt where a is. So their acceleration is 1 m/s2. You are cruising along in. Acceleration is a vector, and thus has a. F = 20 kg * 3 m/s 2. In symbols, average acceleration is a= δv/δt. What is the force required to accelerate an object with a mass of 20 kg from stationary to. Acceleration Formula M/S2.
From slideplayer.com
Acceleration. ppt download Acceleration Formula M/S2 It can be thought of as (m/s)/s but is usually written m/s 2. You are cruising along in. So their acceleration is 1 m/s2. F = 20 kg * 3 m/s 2. A = δv / δt where a is. Acceleration is the rate at which velocity changes. Newtons are a derived unit,. The s.i unit for acceleration is meter. Acceleration Formula M/S2.
From www.coursehero.com
[Solved] Convert acceleration due to gravity (g=9.8066m/s2 ) of SI to Acceleration Formula M/S2 A = δv / δt where a is. In symbols, average acceleration is a= δv/δt. Newtons are a derived unit,. To do this you need to know equation for acceleration: F = 20 kg * 3 m/s 2. Acceleration is a vector, and thus has a. The s.i unit for acceleration is meter per second square or m/s 2. F. Acceleration Formula M/S2.
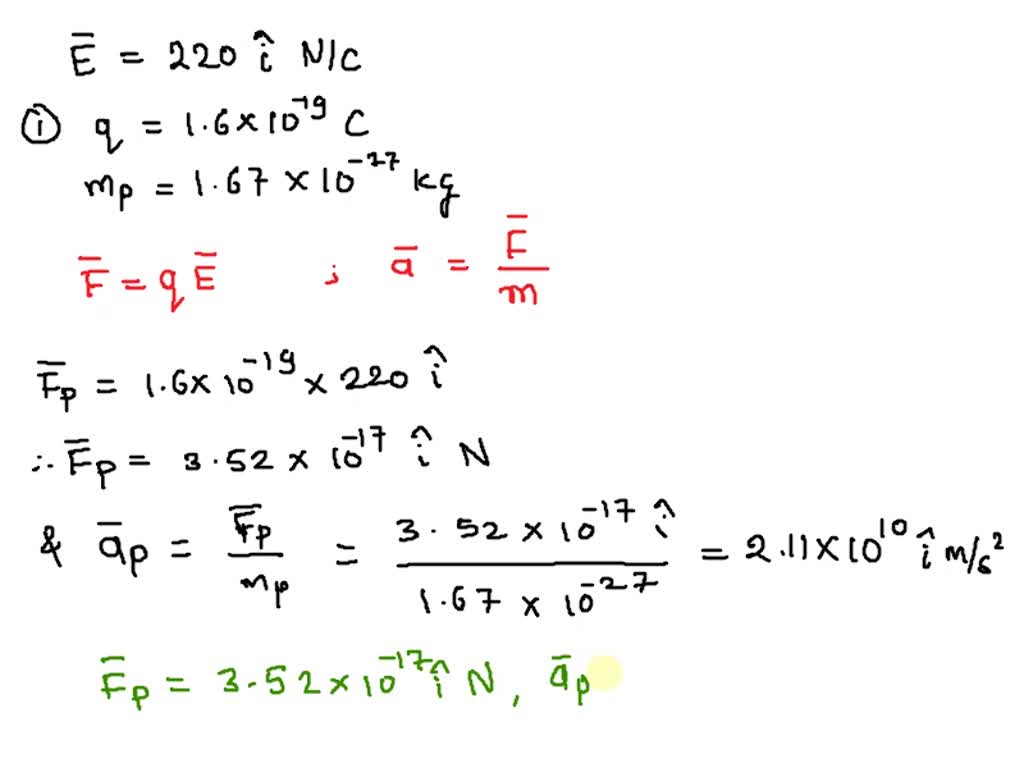
From www.numerade.com
SOLVED A proton moves in the electric field E = 220i N/C. (Express Acceleration Formula M/S2 F = m * a. Newtons are a derived unit,. To do this you need to know equation for acceleration: It can be thought of as (m/s)/s but is usually written m/s 2. In symbols, average acceleration is a= δv/δt. Acceleration is a vector, and thus has a. If t (time taken), v (final velocity) and u (initial velocity) are. Acceleration Formula M/S2.
From www.youtube.com
Equations for Motion under Constant Acceleration YouTube Acceleration Formula M/S2 Acceleration is a vector, and thus has a. A = δv / δt where a is. In symbols, average acceleration is a= δv/δt. F = m * a. If t (time taken), v (final velocity) and u (initial velocity) are provided. You are cruising along in. What is the force required to accelerate an object with a mass of 20. Acceleration Formula M/S2.
From www.youtube.com
the acceleration 'a' in m/s2 of a particle is given by a=3t2+2t+2 Acceleration Formula M/S2 Acceleration is the rate at which velocity changes. What is the force required to accelerate an object with a mass of 20 kg from stationary to 3 m/s 2? The si unit for acceleration is m/s². So their acceleration is 1 m/s2. F = 20 kg * 3 m/s 2. F = m * a. If t (time taken), v. Acceleration Formula M/S2.
From www.numerade.com
SOLVED The freefall acceleration at the surface of 1 is 22 m Acceleration Formula M/S2 Newtons are a derived unit,. What is the force required to accelerate an object with a mass of 20 kg from stationary to 3 m/s 2? If t (time taken), v (final velocity) and u (initial velocity) are provided. The s.i unit for acceleration is meter per second square or m/s 2. A = δv / δt where a is.. Acceleration Formula M/S2.
From www.numerade.com
SOLVED Calculate the maximum acceleration (in m/s2) of a car that is Acceleration Formula M/S2 The si unit for acceleration is m/s². To do this you need to know equation for acceleration: The s.i unit for acceleration is meter per second square or m/s 2. Acceleration is a vector, and thus has a. F = 20 kg * 3 m/s 2. F = m * a. So their acceleration is 1 m/s2. What is the. Acceleration Formula M/S2.
From www.chegg.com
Solved Calculate the acceleration (in m/s2) for a fluid that Acceleration Formula M/S2 If t (time taken), v (final velocity) and u (initial velocity) are provided. F = 20 kg * 3 m/s 2. It can be thought of as (m/s)/s but is usually written m/s 2. In symbols, average acceleration is a= δv/δt. So their acceleration is 1 m/s2. F = m * a. Acceleration is a vector, and thus has a.. Acceleration Formula M/S2.
From byjus.com
Acceleration of a body is given by a=(4 3v) m/s^2^. Speed v is in m/s Acceleration Formula M/S2 Acceleration is the rate at which velocity changes. F = 20 kg * 3 m/s 2. You are cruising along in. It can be thought of as (m/s)/s but is usually written m/s 2. If t (time taken), v (final velocity) and u (initial velocity) are provided. Acceleration is a vector, and thus has a. In symbols, average acceleration is. Acceleration Formula M/S2.
From www.chegg.com
Solved The acceleration of an object (in m/s2) is given by Acceleration Formula M/S2 Acceleration is the rate at which velocity changes. F = 20 kg * 3 m/s 2. If t (time taken), v (final velocity) and u (initial velocity) are provided. Newtons are a derived unit,. Acceleration is a vector, and thus has a. It can be thought of as (m/s)/s but is usually written m/s 2. So their acceleration is 1. Acceleration Formula M/S2.
From www.animalia-life.club
Acceleration Formula Physics Acceleration Formula M/S2 If t (time taken), v (final velocity) and u (initial velocity) are provided. F = m * a. The s.i unit for acceleration is meter per second square or m/s 2. F = 20 kg * 3 m/s 2. To do this you need to know equation for acceleration: Acceleration is a vector, and thus has a. You are cruising. Acceleration Formula M/S2.
From www.numerade.com
SOLVED a body initially at rest starts moving with a constant Acceleration Formula M/S2 You are cruising along in. So their acceleration is 1 m/s2. If t (time taken), v (final velocity) and u (initial velocity) are provided. To do this you need to know equation for acceleration: F = 20 kg * 3 m/s 2. Acceleration is a vector, and thus has a. Newtons are a derived unit,. F = m * a.. Acceleration Formula M/S2.
From enginelibhester.z21.web.core.windows.net
Physics Motion Diagram Car Acceleration Acceleration Formula M/S2 So their acceleration is 1 m/s2. A = δv / δt where a is. What is the force required to accelerate an object with a mass of 20 kg from stationary to 3 m/s 2? Acceleration is the rate at which velocity changes. F = m * a. F = 20 kg * 3 m/s 2. In symbols, average acceleration. Acceleration Formula M/S2.
From www.slideserve.com
PPT DISPLACEMENT AND VELOCITY PowerPoint Presentation, free download Acceleration Formula M/S2 The s.i unit for acceleration is meter per second square or m/s 2. So their acceleration is 1 m/s2. The si unit for acceleration is m/s². F = m * a. If t (time taken), v (final velocity) and u (initial velocity) are provided. You are cruising along in. It can be thought of as (m/s)/s but is usually written. Acceleration Formula M/S2.
From www.slideserve.com
PPT ACCELERATION C10,S2 PowerPoint Presentation, free download ID Acceleration Formula M/S2 In symbols, average acceleration is a= δv/δt. If t (time taken), v (final velocity) and u (initial velocity) are provided. What is the force required to accelerate an object with a mass of 20 kg from stationary to 3 m/s 2? You are cruising along in. To do this you need to know equation for acceleration: It can be thought. Acceleration Formula M/S2.
From slideplayer.com
Chapter 2Motion along a straight line ppt download Acceleration Formula M/S2 If t (time taken), v (final velocity) and u (initial velocity) are provided. The si unit for acceleration is m/s². Acceleration is the rate at which velocity changes. It can be thought of as (m/s)/s but is usually written m/s 2. The s.i unit for acceleration is meter per second square or m/s 2. F = m * a. F. Acceleration Formula M/S2.
From askfilo.com
The acceleration ' a ' in m/s2 of a particle is given by a=3t2+2t+2 where.. Acceleration Formula M/S2 The s.i unit for acceleration is meter per second square or m/s 2. Newtons are a derived unit,. If t (time taken), v (final velocity) and u (initial velocity) are provided. In symbols, average acceleration is a= δv/δt. Acceleration is a vector, and thus has a. It can be thought of as (m/s)/s but is usually written m/s 2. F. Acceleration Formula M/S2.
From www.wikihow.com
3 Ways to Calculate Acceleration wikiHow Acceleration Formula M/S2 Newtons are a derived unit,. A = δv / δt where a is. F = 20 kg * 3 m/s 2. Acceleration is a vector, and thus has a. The si unit for acceleration is m/s². It can be thought of as (m/s)/s but is usually written m/s 2. Acceleration is the rate at which velocity changes. You are cruising. Acceleration Formula M/S2.
From www.youtube.com
How to calculate acceleration YouTube Acceleration Formula M/S2 In symbols, average acceleration is a= δv/δt. The si unit for acceleration is m/s². F = 20 kg * 3 m/s 2. F = m * a. Newtons are a derived unit,. To do this you need to know equation for acceleration: You are cruising along in. The s.i unit for acceleration is meter per second square or m/s 2.. Acceleration Formula M/S2.
From slideplayer.com
Today’s Title CW VectorsVelocity Time Graphs ppt download Acceleration Formula M/S2 Acceleration is a vector, and thus has a. Newtons are a derived unit,. You are cruising along in. F = m * a. What is the force required to accelerate an object with a mass of 20 kg from stationary to 3 m/s 2? The s.i unit for acceleration is meter per second square or m/s 2. If t (time. Acceleration Formula M/S2.
From byjus.com
If acceleration of A is 2 m/s2 which is smaller thanacceleration of B Acceleration Formula M/S2 The s.i unit for acceleration is meter per second square or m/s 2. Acceleration is the rate at which velocity changes. It can be thought of as (m/s)/s but is usually written m/s 2. To do this you need to know equation for acceleration: What is the force required to accelerate an object with a mass of 20 kg from. Acceleration Formula M/S2.
From brainly.com
what is the acceleration of the object? ______ m/s2 Acceleration Formula M/S2 F = 20 kg * 3 m/s 2. Acceleration is the rate at which velocity changes. F = m * a. You are cruising along in. To do this you need to know equation for acceleration: So their acceleration is 1 m/s2. Newtons are a derived unit,. In symbols, average acceleration is a= δv/δt. It can be thought of as. Acceleration Formula M/S2.
From www.slideserve.com
PPT AQA GCSE Physics 21 Motion PowerPoint Presentation, free Acceleration Formula M/S2 A = δv / δt where a is. Acceleration is the rate at which velocity changes. The s.i unit for acceleration is meter per second square or m/s 2. In symbols, average acceleration is a= δv/δt. It can be thought of as (m/s)/s but is usually written m/s 2. Newtons are a derived unit,. Acceleration is a vector, and thus. Acceleration Formula M/S2.
From www.youtube.com
Convert an acceleration of 10 m/s2 to km/hr 2 YouTube Acceleration Formula M/S2 To do this you need to know equation for acceleration: The s.i unit for acceleration is meter per second square or m/s 2. Acceleration is the rate at which velocity changes. In symbols, average acceleration is a= δv/δt. So their acceleration is 1 m/s2. A = δv / δt where a is. It can be thought of as (m/s)/s but. Acceleration Formula M/S2.
From www.chegg.com
Solved Find the acceleration (in m/s2) of the body of mass Acceleration Formula M/S2 You are cruising along in. If t (time taken), v (final velocity) and u (initial velocity) are provided. What is the force required to accelerate an object with a mass of 20 kg from stationary to 3 m/s 2? Acceleration is the rate at which velocity changes. To do this you need to know equation for acceleration: F = m. Acceleration Formula M/S2.