Wisconsin Legal Forms Power Of Attorney . Steps for making a financial power of attorney in wisconsin 1. Wisconsin power of attorney forms allow a person (principal) to select a trusted representative (agent) to manage their affairs. Create the poa using a form, software, or attorney. Wisconsin power of attorney forms allow an individual to select a representative to act on their behalf and manage their financial, medical, tax. The meaning of authority over subjects listed on this form is explained in the uniform power of attorney for finances. Wisconsin power of attorney forms the wisconsin power of attorney enforces a conveyance of legal controls to a third party through a written registry.
from www.signnow.com
Wisconsin power of attorney forms allow a person (principal) to select a trusted representative (agent) to manage their affairs. The meaning of authority over subjects listed on this form is explained in the uniform power of attorney for finances. Steps for making a financial power of attorney in wisconsin 1. Wisconsin power of attorney forms the wisconsin power of attorney enforces a conveyance of legal controls to a third party through a written registry. Wisconsin power of attorney forms allow an individual to select a representative to act on their behalf and manage their financial, medical, tax. Create the poa using a form, software, or attorney.
Power of Attorney Forms Package Wisconsin Fill Out and Sign Printable
Wisconsin Legal Forms Power Of Attorney The meaning of authority over subjects listed on this form is explained in the uniform power of attorney for finances. Wisconsin power of attorney forms allow an individual to select a representative to act on their behalf and manage their financial, medical, tax. Wisconsin power of attorney forms allow a person (principal) to select a trusted representative (agent) to manage their affairs. Create the poa using a form, software, or attorney. Steps for making a financial power of attorney in wisconsin 1. Wisconsin power of attorney forms the wisconsin power of attorney enforces a conveyance of legal controls to a third party through a written registry. The meaning of authority over subjects listed on this form is explained in the uniform power of attorney for finances.
From www.dexform.com
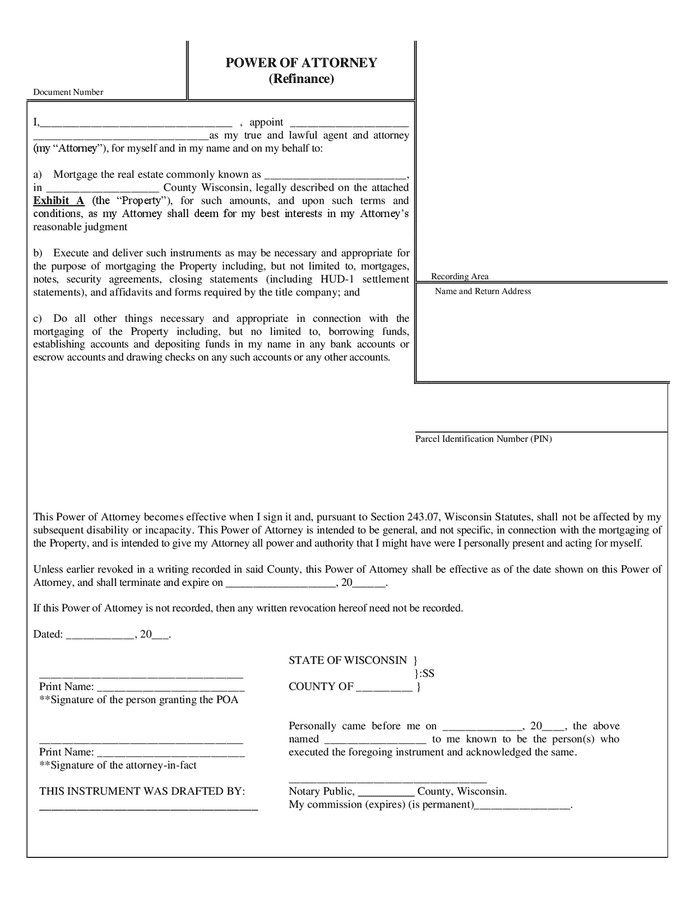
Power of attorney form refinance (Wisconsin) in Word and Pdf formats Wisconsin Legal Forms Power Of Attorney Wisconsin power of attorney forms the wisconsin power of attorney enforces a conveyance of legal controls to a third party through a written registry. The meaning of authority over subjects listed on this form is explained in the uniform power of attorney for finances. Wisconsin power of attorney forms allow a person (principal) to select a trusted representative (agent) to. Wisconsin Legal Forms Power Of Attorney.
From eforms.com
Free Wisconsin Power of Attorney Forms (9 Types) PDF Word eForms Wisconsin Legal Forms Power Of Attorney Steps for making a financial power of attorney in wisconsin 1. Wisconsin power of attorney forms the wisconsin power of attorney enforces a conveyance of legal controls to a third party through a written registry. Wisconsin power of attorney forms allow an individual to select a representative to act on their behalf and manage their financial, medical, tax. Wisconsin power. Wisconsin Legal Forms Power Of Attorney.
From www.formsbirds.com
Form A222 Power of Attorney Wisconsin Departmentof Revenue Free Wisconsin Legal Forms Power Of Attorney Create the poa using a form, software, or attorney. Wisconsin power of attorney forms allow a person (principal) to select a trusted representative (agent) to manage their affairs. Steps for making a financial power of attorney in wisconsin 1. The meaning of authority over subjects listed on this form is explained in the uniform power of attorney for finances. Wisconsin. Wisconsin Legal Forms Power Of Attorney.
From www.templateroller.com
Wisconsin Power of Attorney Delegating Parental Power Fill Out, Sign Wisconsin Legal Forms Power Of Attorney Wisconsin power of attorney forms allow an individual to select a representative to act on their behalf and manage their financial, medical, tax. Steps for making a financial power of attorney in wisconsin 1. Create the poa using a form, software, or attorney. Wisconsin power of attorney forms the wisconsin power of attorney enforces a conveyance of legal controls to. Wisconsin Legal Forms Power Of Attorney.
From eforms.com
Free Limited (Special) Power of Attorney Form PDF Word eForms Wisconsin Legal Forms Power Of Attorney Wisconsin power of attorney forms allow an individual to select a representative to act on their behalf and manage their financial, medical, tax. Steps for making a financial power of attorney in wisconsin 1. The meaning of authority over subjects listed on this form is explained in the uniform power of attorney for finances. Wisconsin power of attorney forms allow. Wisconsin Legal Forms Power Of Attorney.
From www.rocketlawyer.com
Free Wisconsin Power of Attorney Template Rocket Lawyer Wisconsin Legal Forms Power Of Attorney The meaning of authority over subjects listed on this form is explained in the uniform power of attorney for finances. Create the poa using a form, software, or attorney. Wisconsin power of attorney forms the wisconsin power of attorney enforces a conveyance of legal controls to a third party through a written registry. Steps for making a financial power of. Wisconsin Legal Forms Power Of Attorney.
From powerofattorney.com
Free Durable Power of Attorney Form Wisconsin Wisconsin Legal Forms Power Of Attorney Wisconsin power of attorney forms the wisconsin power of attorney enforces a conveyance of legal controls to a third party through a written registry. The meaning of authority over subjects listed on this form is explained in the uniform power of attorney for finances. Wisconsin power of attorney forms allow an individual to select a representative to act on their. Wisconsin Legal Forms Power Of Attorney.
From legaltemplates.net
Free Wisconsin Power of Attorney Forms PDF & Word Downloads Wisconsin Legal Forms Power Of Attorney Wisconsin power of attorney forms the wisconsin power of attorney enforces a conveyance of legal controls to a third party through a written registry. Wisconsin power of attorney forms allow a person (principal) to select a trusted representative (agent) to manage their affairs. Wisconsin power of attorney forms allow an individual to select a representative to act on their behalf. Wisconsin Legal Forms Power Of Attorney.
From eforms.com
Free Wisconsin Limited Power of Attorney Form PDF Word eForms Wisconsin Legal Forms Power Of Attorney Create the poa using a form, software, or attorney. Wisconsin power of attorney forms allow a person (principal) to select a trusted representative (agent) to manage their affairs. Steps for making a financial power of attorney in wisconsin 1. Wisconsin power of attorney forms allow an individual to select a representative to act on their behalf and manage their financial,. Wisconsin Legal Forms Power Of Attorney.
From www.signnow.com
Power of Attorney Forms Package Wisconsin Fill Out and Sign Printable Wisconsin Legal Forms Power Of Attorney Wisconsin power of attorney forms allow an individual to select a representative to act on their behalf and manage their financial, medical, tax. Wisconsin power of attorney forms allow a person (principal) to select a trusted representative (agent) to manage their affairs. Steps for making a financial power of attorney in wisconsin 1. The meaning of authority over subjects listed. Wisconsin Legal Forms Power Of Attorney.
From powerofattorney.com
Free Wisconsin Power Of Attorney Forms PDF Templates Wisconsin Legal Forms Power Of Attorney Steps for making a financial power of attorney in wisconsin 1. Create the poa using a form, software, or attorney. Wisconsin power of attorney forms allow a person (principal) to select a trusted representative (agent) to manage their affairs. Wisconsin power of attorney forms allow an individual to select a representative to act on their behalf and manage their financial,. Wisconsin Legal Forms Power Of Attorney.
From templates.legal
Wisconsin Power of Attorney Templates (FREE) [Word, PDF & ODT] Wisconsin Legal Forms Power Of Attorney Steps for making a financial power of attorney in wisconsin 1. Wisconsin power of attorney forms allow an individual to select a representative to act on their behalf and manage their financial, medical, tax. The meaning of authority over subjects listed on this form is explained in the uniform power of attorney for finances. Wisconsin power of attorney forms the. Wisconsin Legal Forms Power Of Attorney.
From www.uslegalforms.com
Wisconsin Limited Power of Attorney where you Specify Powers with Wisconsin Legal Forms Power Of Attorney Wisconsin power of attorney forms allow an individual to select a representative to act on their behalf and manage their financial, medical, tax. Wisconsin power of attorney forms allow a person (principal) to select a trusted representative (agent) to manage their affairs. Create the poa using a form, software, or attorney. Steps for making a financial power of attorney in. Wisconsin Legal Forms Power Of Attorney.
From samplepowerofattorney.blogspot.com
Power Of Attorney Wizz Air Sample Sample Power of Attorney Blog Wisconsin Legal Forms Power Of Attorney Wisconsin power of attorney forms allow an individual to select a representative to act on their behalf and manage their financial, medical, tax. Create the poa using a form, software, or attorney. The meaning of authority over subjects listed on this form is explained in the uniform power of attorney for finances. Wisconsin power of attorney forms allow a person. Wisconsin Legal Forms Power Of Attorney.
From powerofattorneyforms.com
Free Wisconsin Power of Attorney Forms in Fillable PDF 8 Types Wisconsin Legal Forms Power Of Attorney Wisconsin power of attorney forms allow an individual to select a representative to act on their behalf and manage their financial, medical, tax. Wisconsin power of attorney forms allow a person (principal) to select a trusted representative (agent) to manage their affairs. Wisconsin power of attorney forms the wisconsin power of attorney enforces a conveyance of legal controls to a. Wisconsin Legal Forms Power Of Attorney.
From eforms.com
Free Wisconsin Medical Power of Attorney Form F00085 PDF eForms Wisconsin Legal Forms Power Of Attorney Wisconsin power of attorney forms the wisconsin power of attorney enforces a conveyance of legal controls to a third party through a written registry. Wisconsin power of attorney forms allow a person (principal) to select a trusted representative (agent) to manage their affairs. Steps for making a financial power of attorney in wisconsin 1. The meaning of authority over subjects. Wisconsin Legal Forms Power Of Attorney.
From freeforms.com
Free Wisconsin Power of Attorney Forms PDF Wisconsin Legal Forms Power Of Attorney The meaning of authority over subjects listed on this form is explained in the uniform power of attorney for finances. Wisconsin power of attorney forms allow a person (principal) to select a trusted representative (agent) to manage their affairs. Wisconsin power of attorney forms the wisconsin power of attorney enforces a conveyance of legal controls to a third party through. Wisconsin Legal Forms Power Of Attorney.
From powerofattorneyforms.com
Wisconsin Durable Financial Power of Attorney Form Power of Attorney Wisconsin Legal Forms Power Of Attorney Wisconsin power of attorney forms the wisconsin power of attorney enforces a conveyance of legal controls to a third party through a written registry. Create the poa using a form, software, or attorney. Wisconsin power of attorney forms allow a person (principal) to select a trusted representative (agent) to manage their affairs. Wisconsin power of attorney forms allow an individual. Wisconsin Legal Forms Power Of Attorney.
From templates.legal
Wisconsin Power of Attorney Templates (FREE) [Word, PDF & ODT] Wisconsin Legal Forms Power Of Attorney Wisconsin power of attorney forms allow an individual to select a representative to act on their behalf and manage their financial, medical, tax. Steps for making a financial power of attorney in wisconsin 1. The meaning of authority over subjects listed on this form is explained in the uniform power of attorney for finances. Create the poa using a form,. Wisconsin Legal Forms Power Of Attorney.
From attorney-information-center.blogspot.com
Power Of Attorney Wisconsin Pdf Wisconsin Legal Forms Power Of Attorney Create the poa using a form, software, or attorney. Steps for making a financial power of attorney in wisconsin 1. Wisconsin power of attorney forms the wisconsin power of attorney enforces a conveyance of legal controls to a third party through a written registry. Wisconsin power of attorney forms allow an individual to select a representative to act on their. Wisconsin Legal Forms Power Of Attorney.
From esign.com
Free Power of Attorney Forms (11) PDF Word Wisconsin Legal Forms Power Of Attorney The meaning of authority over subjects listed on this form is explained in the uniform power of attorney for finances. Create the poa using a form, software, or attorney. Steps for making a financial power of attorney in wisconsin 1. Wisconsin power of attorney forms the wisconsin power of attorney enforces a conveyance of legal controls to a third party. Wisconsin Legal Forms Power Of Attorney.
From legaltemplates.net
Free Power of Attorney (POA) Forms PDF & Word Wisconsin Legal Forms Power Of Attorney Steps for making a financial power of attorney in wisconsin 1. Create the poa using a form, software, or attorney. Wisconsin power of attorney forms allow a person (principal) to select a trusted representative (agent) to manage their affairs. Wisconsin power of attorney forms the wisconsin power of attorney enforces a conveyance of legal controls to a third party through. Wisconsin Legal Forms Power Of Attorney.
From freeforms.com
Free Wisconsin Limited (Special) Power of Attorney Form PDF WORD Wisconsin Legal Forms Power Of Attorney Wisconsin power of attorney forms allow a person (principal) to select a trusted representative (agent) to manage their affairs. The meaning of authority over subjects listed on this form is explained in the uniform power of attorney for finances. Wisconsin power of attorney forms allow an individual to select a representative to act on their behalf and manage their financial,. Wisconsin Legal Forms Power Of Attorney.
From freeforms.com
Free Wisconsin General (Financial) Power of Attorney Form PDF WORD Wisconsin Legal Forms Power Of Attorney The meaning of authority over subjects listed on this form is explained in the uniform power of attorney for finances. Steps for making a financial power of attorney in wisconsin 1. Create the poa using a form, software, or attorney. Wisconsin power of attorney forms the wisconsin power of attorney enforces a conveyance of legal controls to a third party. Wisconsin Legal Forms Power Of Attorney.
From pdfsimpli.com
Wisconsin General Power Of Attorney Form PDFSimpli Wisconsin Legal Forms Power Of Attorney Wisconsin power of attorney forms allow an individual to select a representative to act on their behalf and manage their financial, medical, tax. Wisconsin power of attorney forms the wisconsin power of attorney enforces a conveyance of legal controls to a third party through a written registry. Create the poa using a form, software, or attorney. Steps for making a. Wisconsin Legal Forms Power Of Attorney.
From freeforms.com
Free Wisconsin Durable (Financial) Power of Attorney Form PDF Wisconsin Legal Forms Power Of Attorney Create the poa using a form, software, or attorney. The meaning of authority over subjects listed on this form is explained in the uniform power of attorney for finances. Wisconsin power of attorney forms allow an individual to select a representative to act on their behalf and manage their financial, medical, tax. Steps for making a financial power of attorney. Wisconsin Legal Forms Power Of Attorney.
From powerofattorneyforms.com
Free Wisconsin Medical Power of Attorney Form Power of Attorney Wisconsin Legal Forms Power Of Attorney Wisconsin power of attorney forms the wisconsin power of attorney enforces a conveyance of legal controls to a third party through a written registry. Create the poa using a form, software, or attorney. The meaning of authority over subjects listed on this form is explained in the uniform power of attorney for finances. Steps for making a financial power of. Wisconsin Legal Forms Power Of Attorney.
From formzoid.com
Free Fillable Wisconsin Power of Attorney Form ⇒ PDF Templates Wisconsin Legal Forms Power Of Attorney Wisconsin power of attorney forms the wisconsin power of attorney enforces a conveyance of legal controls to a third party through a written registry. Wisconsin power of attorney forms allow a person (principal) to select a trusted representative (agent) to manage their affairs. Steps for making a financial power of attorney in wisconsin 1. The meaning of authority over subjects. Wisconsin Legal Forms Power Of Attorney.
From legaltemplates.net
Free Wisconsin Medical Power of Attorney Form PDF & Word Wisconsin Legal Forms Power Of Attorney Wisconsin power of attorney forms allow a person (principal) to select a trusted representative (agent) to manage their affairs. Create the poa using a form, software, or attorney. Wisconsin power of attorney forms allow an individual to select a representative to act on their behalf and manage their financial, medical, tax. Wisconsin power of attorney forms the wisconsin power of. Wisconsin Legal Forms Power Of Attorney.
From eforms.com
Free Wisconsin Motor Vehicle Power of Attorney Form PDF Word eForms Wisconsin Legal Forms Power Of Attorney Steps for making a financial power of attorney in wisconsin 1. Create the poa using a form, software, or attorney. Wisconsin power of attorney forms the wisconsin power of attorney enforces a conveyance of legal controls to a third party through a written registry. Wisconsin power of attorney forms allow an individual to select a representative to act on their. Wisconsin Legal Forms Power Of Attorney.
From esign.com
Free Wisconsin Power of Attorney Forms PDF Wisconsin Legal Forms Power Of Attorney The meaning of authority over subjects listed on this form is explained in the uniform power of attorney for finances. Wisconsin power of attorney forms allow a person (principal) to select a trusted representative (agent) to manage their affairs. Create the poa using a form, software, or attorney. Wisconsin power of attorney forms allow an individual to select a representative. Wisconsin Legal Forms Power Of Attorney.
From freeforms.com
Free Wisconsin Power of Attorney Forms PDF Wisconsin Legal Forms Power Of Attorney Steps for making a financial power of attorney in wisconsin 1. Wisconsin power of attorney forms allow an individual to select a representative to act on their behalf and manage their financial, medical, tax. Create the poa using a form, software, or attorney. The meaning of authority over subjects listed on this form is explained in the uniform power of. Wisconsin Legal Forms Power Of Attorney.
From www.pinterest.com
Form A222 Download Printable PDF or Fill Online Power of Attorney Wisconsin Legal Forms Power Of Attorney The meaning of authority over subjects listed on this form is explained in the uniform power of attorney for finances. Create the poa using a form, software, or attorney. Wisconsin power of attorney forms the wisconsin power of attorney enforces a conveyance of legal controls to a third party through a written registry. Steps for making a financial power of. Wisconsin Legal Forms Power Of Attorney.
From eforms.com
Free Wisconsin Durable (Statutory) Power of Attorney Form PDF Word Wisconsin Legal Forms Power Of Attorney The meaning of authority over subjects listed on this form is explained in the uniform power of attorney for finances. Wisconsin power of attorney forms allow a person (principal) to select a trusted representative (agent) to manage their affairs. Wisconsin power of attorney forms allow an individual to select a representative to act on their behalf and manage their financial,. Wisconsin Legal Forms Power Of Attorney.
From templates.legal
Wisconsin Power of Attorney Templates (FREE) [Word, PDF & ODT] Wisconsin Legal Forms Power Of Attorney Create the poa using a form, software, or attorney. The meaning of authority over subjects listed on this form is explained in the uniform power of attorney for finances. Wisconsin power of attorney forms allow an individual to select a representative to act on their behalf and manage their financial, medical, tax. Wisconsin power of attorney forms allow a person. Wisconsin Legal Forms Power Of Attorney.