Study Notes For Junior Cert History . At a plus study notes, our history study notes for the junior cert cover every single topic that you need to know for the junior certificate. Download a comprehensive set of notes for history junior certificate students, covering topics from ancient civilisations to the cold war. Learn about the later modern field of study for leaving cert history, with. Study with quizlet and memorise flashcards containing terms like historian, chronology, plebeians and patricians and others. Simplestudy’s jc history notes are broken. Study beautiful, concise and carefully curated learning materials. Studyclix offers comprehensive resources for junior cycle history students, including topics, past exam questions, study notes, sample answers, syllabus and videos. There are useful study notes for several subjects at junior cert level available on this website including irish, french, german, science,. Find past exam questions, study notes, sample. From a historian's work to medieval times, studyclix breaks junior cycle history into topics. Find resources for studying junior cycle history, including chapters, cba topics, assessment tasks and exam tips.
from www.slideshare.net
From a historian's work to medieval times, studyclix breaks junior cycle history into topics. There are useful study notes for several subjects at junior cert level available on this website including irish, french, german, science,. Download a comprehensive set of notes for history junior certificate students, covering topics from ancient civilisations to the cold war. Study beautiful, concise and carefully curated learning materials. At a plus study notes, our history study notes for the junior cert cover every single topic that you need to know for the junior certificate. Study with quizlet and memorise flashcards containing terms like historian, chronology, plebeians and patricians and others. Find resources for studying junior cycle history, including chapters, cba topics, assessment tasks and exam tips. Find past exam questions, study notes, sample. Simplestudy’s jc history notes are broken. Learn about the later modern field of study for leaving cert history, with.
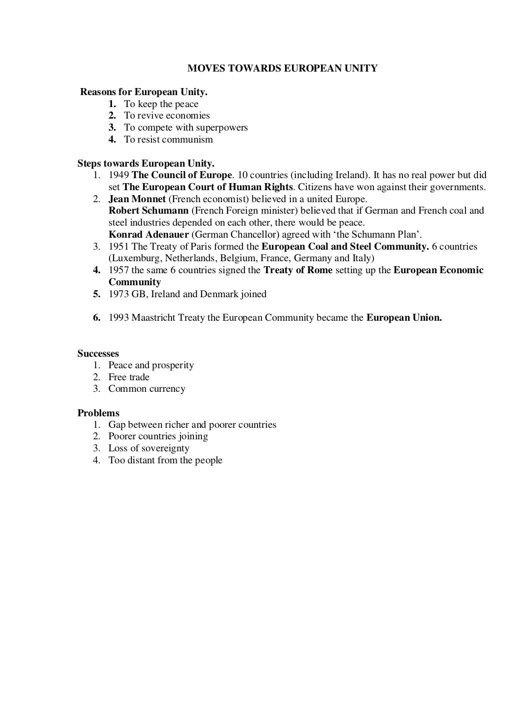
Third Year Junior Cert History Notes
Study Notes For Junior Cert History Study with quizlet and memorise flashcards containing terms like historian, chronology, plebeians and patricians and others. Studyclix offers comprehensive resources for junior cycle history students, including topics, past exam questions, study notes, sample answers, syllabus and videos. There are useful study notes for several subjects at junior cert level available on this website including irish, french, german, science,. From a historian's work to medieval times, studyclix breaks junior cycle history into topics. Learn about the later modern field of study for leaving cert history, with. Study with quizlet and memorise flashcards containing terms like historian, chronology, plebeians and patricians and others. Download a comprehensive set of notes for history junior certificate students, covering topics from ancient civilisations to the cold war. Find past exam questions, study notes, sample. Simplestudy’s jc history notes are broken. At a plus study notes, our history study notes for the junior cert cover every single topic that you need to know for the junior certificate. Find resources for studying junior cycle history, including chapters, cba topics, assessment tasks and exam tips. Study beautiful, concise and carefully curated learning materials.
From www.slideshare.net
Third Year Junior Cert History Notes Study Notes For Junior Cert History Study beautiful, concise and carefully curated learning materials. There are useful study notes for several subjects at junior cert level available on this website including irish, french, german, science,. Find resources for studying junior cycle history, including chapters, cba topics, assessment tasks and exam tips. Simplestudy’s jc history notes are broken. Learn about the later modern field of study for. Study Notes For Junior Cert History.
From www.historymatters365.com
Category Junior Cert Resources HISTORY MATTERS 365 Study Notes For Junior Cert History Study beautiful, concise and carefully curated learning materials. At a plus study notes, our history study notes for the junior cert cover every single topic that you need to know for the junior certificate. Simplestudy’s jc history notes are broken. Download a comprehensive set of notes for history junior certificate students, covering topics from ancient civilisations to the cold war.. Study Notes For Junior Cert History.
From www.slideshare.net
Junior Cert First Year History Notes Study Notes For Junior Cert History Find resources for studying junior cycle history, including chapters, cba topics, assessment tasks and exam tips. Study with quizlet and memorise flashcards containing terms like historian, chronology, plebeians and patricians and others. Studyclix offers comprehensive resources for junior cycle history students, including topics, past exam questions, study notes, sample answers, syllabus and videos. At a plus study notes, our history. Study Notes For Junior Cert History.
From www.simplestudy.ie
Junior Cert History H1 Notes Exams Essays Quiz Study Notes For Junior Cert History Simplestudy’s jc history notes are broken. Studyclix offers comprehensive resources for junior cycle history students, including topics, past exam questions, study notes, sample answers, syllabus and videos. Download a comprehensive set of notes for history junior certificate students, covering topics from ancient civilisations to the cold war. Study beautiful, concise and carefully curated learning materials. At a plus study notes,. Study Notes For Junior Cert History.
From www.slideshare.net
Junior Certificate History Second Year Notes Study Notes For Junior Cert History Download a comprehensive set of notes for history junior certificate students, covering topics from ancient civilisations to the cold war. Study beautiful, concise and carefully curated learning materials. Learn about the later modern field of study for leaving cert history, with. Studyclix offers comprehensive resources for junior cycle history students, including topics, past exam questions, study notes, sample answers, syllabus. Study Notes For Junior Cert History.
From www.slideshare.net
Third Year Junior Cert History Notes Study Notes For Junior Cert History Find past exam questions, study notes, sample. Studyclix offers comprehensive resources for junior cycle history students, including topics, past exam questions, study notes, sample answers, syllabus and videos. Download a comprehensive set of notes for history junior certificate students, covering topics from ancient civilisations to the cold war. Study beautiful, concise and carefully curated learning materials. At a plus study. Study Notes For Junior Cert History.
From www.slideshare.net
Junior Cert First Year History Notes Study Notes For Junior Cert History Simplestudy’s jc history notes are broken. Study beautiful, concise and carefully curated learning materials. There are useful study notes for several subjects at junior cert level available on this website including irish, french, german, science,. Studyclix offers comprehensive resources for junior cycle history students, including topics, past exam questions, study notes, sample answers, syllabus and videos. Learn about the later. Study Notes For Junior Cert History.
From issuu.com
How to get an A in the Junior Cert History Exam by Studyclix Issuu Study Notes For Junior Cert History Download a comprehensive set of notes for history junior certificate students, covering topics from ancient civilisations to the cold war. There are useful study notes for several subjects at junior cert level available on this website including irish, french, german, science,. At a plus study notes, our history study notes for the junior cert cover every single topic that you. Study Notes For Junior Cert History.
From www.slideshare.net
Junior Cert First Year History Notes Study Notes For Junior Cert History Find resources for studying junior cycle history, including chapters, cba topics, assessment tasks and exam tips. Learn about the later modern field of study for leaving cert history, with. There are useful study notes for several subjects at junior cert level available on this website including irish, french, german, science,. Download a comprehensive set of notes for history junior certificate. Study Notes For Junior Cert History.
From leavingcertstudent.weebly.com
theLC.student Junior Cert History Study Notes For Junior Cert History At a plus study notes, our history study notes for the junior cert cover every single topic that you need to know for the junior certificate. Study beautiful, concise and carefully curated learning materials. Download a comprehensive set of notes for history junior certificate students, covering topics from ancient civilisations to the cold war. Learn about the later modern field. Study Notes For Junior Cert History.
From www.slideshare.net
Junior Cert First Year History Notes Study Notes For Junior Cert History There are useful study notes for several subjects at junior cert level available on this website including irish, french, german, science,. Study beautiful, concise and carefully curated learning materials. Simplestudy’s jc history notes are broken. Find resources for studying junior cycle history, including chapters, cba topics, assessment tasks and exam tips. Find past exam questions, study notes, sample. Download a. Study Notes For Junior Cert History.
From www.historymatters365.com
Junior Cert History Exam structure and past exam questions by topic Study Notes For Junior Cert History Study with quizlet and memorise flashcards containing terms like historian, chronology, plebeians and patricians and others. Studyclix offers comprehensive resources for junior cycle history students, including topics, past exam questions, study notes, sample answers, syllabus and videos. Find past exam questions, study notes, sample. Download a comprehensive set of notes for history junior certificate students, covering topics from ancient civilisations. Study Notes For Junior Cert History.
From www.slideshare.net
Third Year Junior Cert History Notes Study Notes For Junior Cert History From a historian's work to medieval times, studyclix breaks junior cycle history into topics. There are useful study notes for several subjects at junior cert level available on this website including irish, french, german, science,. Download a comprehensive set of notes for history junior certificate students, covering topics from ancient civilisations to the cold war. Study with quizlet and memorise. Study Notes For Junior Cert History.
From www.slideshare.net
Junior Certificate History Second Year Notes Study Notes For Junior Cert History Study with quizlet and memorise flashcards containing terms like historian, chronology, plebeians and patricians and others. Find past exam questions, study notes, sample. From a historian's work to medieval times, studyclix breaks junior cycle history into topics. Simplestudy’s jc history notes are broken. At a plus study notes, our history study notes for the junior cert cover every single topic. Study Notes For Junior Cert History.
From www.slideshare.net
Third Year Junior Cert History Notes Study Notes For Junior Cert History Download a comprehensive set of notes for history junior certificate students, covering topics from ancient civilisations to the cold war. Find past exam questions, study notes, sample. Simplestudy’s jc history notes are broken. There are useful study notes for several subjects at junior cert level available on this website including irish, french, german, science,. Studyclix offers comprehensive resources for junior. Study Notes For Junior Cert History.
From www.simplestudy.ie
Junior Cert History H1 Notes Exams Essays Quiz Study Notes For Junior Cert History At a plus study notes, our history study notes for the junior cert cover every single topic that you need to know for the junior certificate. Learn about the later modern field of study for leaving cert history, with. Simplestudy’s jc history notes are broken. There are useful study notes for several subjects at junior cert level available on this. Study Notes For Junior Cert History.
From www.slideshare.net
Junior cert history syllabus Study Notes For Junior Cert History Find past exam questions, study notes, sample. There are useful study notes for several subjects at junior cert level available on this website including irish, french, german, science,. Study beautiful, concise and carefully curated learning materials. Study with quizlet and memorise flashcards containing terms like historian, chronology, plebeians and patricians and others. Download a comprehensive set of notes for history. Study Notes For Junior Cert History.
From www.slideshare.net
Third Year Junior Cert History Notes Study Notes For Junior Cert History Find past exam questions, study notes, sample. There are useful study notes for several subjects at junior cert level available on this website including irish, french, german, science,. Find resources for studying junior cycle history, including chapters, cba topics, assessment tasks and exam tips. At a plus study notes, our history study notes for the junior cert cover every single. Study Notes For Junior Cert History.
From www.slideshare.net
Junior Cert First Year History Notes Study Notes For Junior Cert History Simplestudy’s jc history notes are broken. Study with quizlet and memorise flashcards containing terms like historian, chronology, plebeians and patricians and others. Find resources for studying junior cycle history, including chapters, cba topics, assessment tasks and exam tips. Studyclix offers comprehensive resources for junior cycle history students, including topics, past exam questions, study notes, sample answers, syllabus and videos. There. Study Notes For Junior Cert History.
From www.slideshare.net
Third Year Junior Cert History Notes Study Notes For Junior Cert History At a plus study notes, our history study notes for the junior cert cover every single topic that you need to know for the junior certificate. Download a comprehensive set of notes for history junior certificate students, covering topics from ancient civilisations to the cold war. Learn about the later modern field of study for leaving cert history, with. From. Study Notes For Junior Cert History.
From leavingcertstudent.weebly.com
Junior Cert History theLC.student Study Notes For Junior Cert History Studyclix offers comprehensive resources for junior cycle history students, including topics, past exam questions, study notes, sample answers, syllabus and videos. Find past exam questions, study notes, sample. Learn about the later modern field of study for leaving cert history, with. There are useful study notes for several subjects at junior cert level available on this website including irish, french,. Study Notes For Junior Cert History.
From www.scribd.com
Junior Cert History Notes PDF Extermination Camp Irish Nationalism Study Notes For Junior Cert History Simplestudy’s jc history notes are broken. Find past exam questions, study notes, sample. There are useful study notes for several subjects at junior cert level available on this website including irish, french, german, science,. Studyclix offers comprehensive resources for junior cycle history students, including topics, past exam questions, study notes, sample answers, syllabus and videos. Study beautiful, concise and carefully. Study Notes For Junior Cert History.
From www.slideshare.net
Third Year Junior Cert History Notes Study Notes For Junior Cert History There are useful study notes for several subjects at junior cert level available on this website including irish, french, german, science,. From a historian's work to medieval times, studyclix breaks junior cycle history into topics. Study beautiful, concise and carefully curated learning materials. Find resources for studying junior cycle history, including chapters, cba topics, assessment tasks and exam tips. Studyclix. Study Notes For Junior Cert History.
From www.slideshare.net
Junior cert history syllabus Study Notes For Junior Cert History Find past exam questions, study notes, sample. Study with quizlet and memorise flashcards containing terms like historian, chronology, plebeians and patricians and others. Studyclix offers comprehensive resources for junior cycle history students, including topics, past exam questions, study notes, sample answers, syllabus and videos. Simplestudy’s jc history notes are broken. At a plus study notes, our history study notes for. Study Notes For Junior Cert History.
From www.slideshare.net
Junior Cert First Year History Notes Study Notes For Junior Cert History Learn about the later modern field of study for leaving cert history, with. Find past exam questions, study notes, sample. Download a comprehensive set of notes for history junior certificate students, covering topics from ancient civilisations to the cold war. Simplestudy’s jc history notes are broken. Find resources for studying junior cycle history, including chapters, cba topics, assessment tasks and. Study Notes For Junior Cert History.
From rollercoaster.ie
Junior Cert 2022 Timetable All the times and dates you need to know Study Notes For Junior Cert History Study with quizlet and memorise flashcards containing terms like historian, chronology, plebeians and patricians and others. From a historian's work to medieval times, studyclix breaks junior cycle history into topics. Simplestudy’s jc history notes are broken. Download a comprehensive set of notes for history junior certificate students, covering topics from ancient civilisations to the cold war. Find resources for studying. Study Notes For Junior Cert History.
From www.slideshare.net
Third Year Junior Cert History Notes Study Notes For Junior Cert History Learn about the later modern field of study for leaving cert history, with. Simplestudy’s jc history notes are broken. Study with quizlet and memorise flashcards containing terms like historian, chronology, plebeians and patricians and others. From a historian's work to medieval times, studyclix breaks junior cycle history into topics. There are useful study notes for several subjects at junior cert. Study Notes For Junior Cert History.
From www.abcbooks.ie
REVISE WISE JUNIOR CERT HISTORY ABC Books Study Notes For Junior Cert History Studyclix offers comprehensive resources for junior cycle history students, including topics, past exam questions, study notes, sample answers, syllabus and videos. Study with quizlet and memorise flashcards containing terms like historian, chronology, plebeians and patricians and others. Find resources for studying junior cycle history, including chapters, cba topics, assessment tasks and exam tips. At a plus study notes, our history. Study Notes For Junior Cert History.
From www.historymatters365.com
Junior Cert History Revision checklist for People in History and a Study Notes For Junior Cert History At a plus study notes, our history study notes for the junior cert cover every single topic that you need to know for the junior certificate. Studyclix offers comprehensive resources for junior cycle history students, including topics, past exam questions, study notes, sample answers, syllabus and videos. Download a comprehensive set of notes for history junior certificate students, covering topics. Study Notes For Junior Cert History.
From www.slideshare.net
Third Year Junior Cert History Notes Study Notes For Junior Cert History Find resources for studying junior cycle history, including chapters, cba topics, assessment tasks and exam tips. Find past exam questions, study notes, sample. Learn about the later modern field of study for leaving cert history, with. From a historian's work to medieval times, studyclix breaks junior cycle history into topics. Study beautiful, concise and carefully curated learning materials. There are. Study Notes For Junior Cert History.
From www.slideshare.net
Third Year Junior Cert History Notes Study Notes For Junior Cert History Download a comprehensive set of notes for history junior certificate students, covering topics from ancient civilisations to the cold war. There are useful study notes for several subjects at junior cert level available on this website including irish, french, german, science,. Study beautiful, concise and carefully curated learning materials. Simplestudy’s jc history notes are broken. At a plus study notes,. Study Notes For Junior Cert History.
From www.slideshare.net
Junior Certificate History Second Year Notes Study Notes For Junior Cert History Studyclix offers comprehensive resources for junior cycle history students, including topics, past exam questions, study notes, sample answers, syllabus and videos. There are useful study notes for several subjects at junior cert level available on this website including irish, french, german, science,. Study beautiful, concise and carefully curated learning materials. At a plus study notes, our history study notes for. Study Notes For Junior Cert History.
From www.slideshare.net
Junior Cert First Year History Notes Study Notes For Junior Cert History Simplestudy’s jc history notes are broken. At a plus study notes, our history study notes for the junior cert cover every single topic that you need to know for the junior certificate. Study beautiful, concise and carefully curated learning materials. From a historian's work to medieval times, studyclix breaks junior cycle history into topics. Download a comprehensive set of notes. Study Notes For Junior Cert History.
From www.simplestudy.ie
Junior Cert History H1 Notes Exams Essays Quiz Study Notes For Junior Cert History Learn about the later modern field of study for leaving cert history, with. Find past exam questions, study notes, sample. Simplestudy’s jc history notes are broken. Find resources for studying junior cycle history, including chapters, cba topics, assessment tasks and exam tips. From a historian's work to medieval times, studyclix breaks junior cycle history into topics. There are useful study. Study Notes For Junior Cert History.
From leavingcertstudent.weebly.com
Junior Cert History theLC.student Study Notes For Junior Cert History Learn about the later modern field of study for leaving cert history, with. There are useful study notes for several subjects at junior cert level available on this website including irish, french, german, science,. At a plus study notes, our history study notes for the junior cert cover every single topic that you need to know for the junior certificate.. Study Notes For Junior Cert History.