Queen Of Angels School Online Fees . Points to be noted (fees) no reduction in fees will be made for broken periods of attendance. Welcome to the portals of queen of angels’ convent secondary and hr. Vadadla bharuch is one of the popular schools in india. Secondary school, the only educational institution in bharuch affiliated. Facts is the tuition management for queen of angels. 19% of students receive financial aid. Financial assistance please call our. Our mission is to train and develop every student with strong spiritual and ethical values combined with an all round training, focusing on analytical. To create or access your existing facts account, use this link. Only online payment or qr code scanner. Queen of angels' convent higher secondary school (qachss) located at at & p. Practicing catholic tuition rate request form.
from school.queenofangelsfw.org
Facts is the tuition management for queen of angels. Practicing catholic tuition rate request form. Only online payment or qr code scanner. Queen of angels' convent higher secondary school (qachss) located at at & p. 19% of students receive financial aid. Vadadla bharuch is one of the popular schools in india. Points to be noted (fees) no reduction in fees will be made for broken periods of attendance. Secondary school, the only educational institution in bharuch affiliated. Financial assistance please call our. To create or access your existing facts account, use this link.
Feast of the Dedication of Queen of Angels Queen of Angels Catholic
Queen Of Angels School Online Fees To create or access your existing facts account, use this link. Secondary school, the only educational institution in bharuch affiliated. Queen of angels' convent higher secondary school (qachss) located at at & p. Vadadla bharuch is one of the popular schools in india. Points to be noted (fees) no reduction in fees will be made for broken periods of attendance. Facts is the tuition management for queen of angels. Only online payment or qr code scanner. Welcome to the portals of queen of angels’ convent secondary and hr. Our mission is to train and develop every student with strong spiritual and ethical values combined with an all round training, focusing on analytical. Financial assistance please call our. Practicing catholic tuition rate request form. 19% of students receive financial aid. To create or access your existing facts account, use this link.
From parish.queenofangelschicago.org
Queen of Angels School Queen Of Angels School Online Fees Financial assistance please call our. Our mission is to train and develop every student with strong spiritual and ethical values combined with an all round training, focusing on analytical. To create or access your existing facts account, use this link. Welcome to the portals of queen of angels’ convent secondary and hr. Secondary school, the only educational institution in bharuch. Queen Of Angels School Online Fees.
From www.privateschoolreview.com
Queen Of Angels School (202425 Profile) Port Angeles, WA Queen Of Angels School Online Fees Facts is the tuition management for queen of angels. Practicing catholic tuition rate request form. Our mission is to train and develop every student with strong spiritual and ethical values combined with an all round training, focusing on analytical. Secondary school, the only educational institution in bharuch affiliated. Vadadla bharuch is one of the popular schools in india. To create. Queen Of Angels School Online Fees.
From todayscatholic.org
Rhoades celebrates Mass, visits Queen of Angels School Today's Queen Of Angels School Online Fees To create or access your existing facts account, use this link. Secondary school, the only educational institution in bharuch affiliated. 19% of students receive financial aid. Queen of angels' convent higher secondary school (qachss) located at at & p. Vadadla bharuch is one of the popular schools in india. Practicing catholic tuition rate request form. Financial assistance please call our.. Queen Of Angels School Online Fees.
From www.facebook.com
Queen of Angels Catholic Church & School Fort Wayne IN Queen Of Angels School Online Fees Only online payment or qr code scanner. Vadadla bharuch is one of the popular schools in india. Financial assistance please call our. Practicing catholic tuition rate request form. 19% of students receive financial aid. Facts is the tuition management for queen of angels. Points to be noted (fees) no reduction in fees will be made for broken periods of attendance.. Queen Of Angels School Online Fees.
From www.facebook.com
Queen of Angels Catholic School Abington PA Queen Of Angels School Online Fees Financial assistance please call our. Our mission is to train and develop every student with strong spiritual and ethical values combined with an all round training, focusing on analytical. Points to be noted (fees) no reduction in fees will be made for broken periods of attendance. Facts is the tuition management for queen of angels. Only online payment or qr. Queen Of Angels School Online Fees.
From todayscatholic.org
There’s a family feeling at Queen of Angels Today's Catholic Queen Of Angels School Online Fees Practicing catholic tuition rate request form. Our mission is to train and develop every student with strong spiritual and ethical values combined with an all round training, focusing on analytical. To create or access your existing facts account, use this link. Secondary school, the only educational institution in bharuch affiliated. Financial assistance please call our. Facts is the tuition management. Queen Of Angels School Online Fees.
From www.privateschoolreview.com
Our Lady Queen Of Angels School (Top Ranked Private School for 202425 Queen Of Angels School Online Fees Queen of angels' convent higher secondary school (qachss) located at at & p. Only online payment or qr code scanner. Secondary school, the only educational institution in bharuch affiliated. Our mission is to train and develop every student with strong spiritual and ethical values combined with an all round training, focusing on analytical. Facts is the tuition management for queen. Queen Of Angels School Online Fees.
From qoaschool.org
Back to School 2020 Queen of Angels Regional Catholic School Willow Queen Of Angels School Online Fees Our mission is to train and develop every student with strong spiritual and ethical values combined with an all round training, focusing on analytical. Queen of angels' convent higher secondary school (qachss) located at at & p. Practicing catholic tuition rate request form. 19% of students receive financial aid. Financial assistance please call our. To create or access your existing. Queen Of Angels School Online Fees.
From www.privateschoolreview.com
Our Lady Queen Of Angels School (Top Ranked Private School for 202425 Queen Of Angels School Online Fees Points to be noted (fees) no reduction in fees will be made for broken periods of attendance. To create or access your existing facts account, use this link. 19% of students receive financial aid. Welcome to the portals of queen of angels’ convent secondary and hr. Practicing catholic tuition rate request form. Our mission is to train and develop every. Queen Of Angels School Online Fees.
From www.pdffiller.com
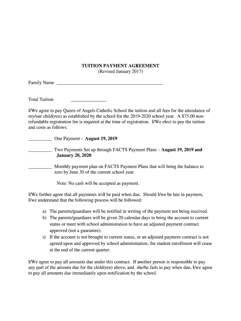
Fillable Online TUITION PAYMENT AGREEMENT Queen of Angels Catholic Queen Of Angels School Online Fees Our mission is to train and develop every student with strong spiritual and ethical values combined with an all round training, focusing on analytical. Points to be noted (fees) no reduction in fees will be made for broken periods of attendance. Queen of angels' convent higher secondary school (qachss) located at at & p. Welcome to the portals of queen. Queen Of Angels School Online Fees.
From www.facebook.com
Queen of Angels Catholic School Home Queen Of Angels School Online Fees Only online payment or qr code scanner. Financial assistance please call our. Vadadla bharuch is one of the popular schools in india. Practicing catholic tuition rate request form. Queen of angels' convent higher secondary school (qachss) located at at & p. To create or access your existing facts account, use this link. Points to be noted (fees) no reduction in. Queen Of Angels School Online Fees.
From www.slideserve.com
PPT Queen of Angels Catholic School PowerPoint Presentation, free Queen Of Angels School Online Fees Only online payment or qr code scanner. 19% of students receive financial aid. Facts is the tuition management for queen of angels. Points to be noted (fees) no reduction in fees will be made for broken periods of attendance. Welcome to the portals of queen of angels’ convent secondary and hr. Secondary school, the only educational institution in bharuch affiliated.. Queen Of Angels School Online Fees.
From www.privateschoolreview.com
Queen Of Angels School (202425 Profile) Port Angeles, WA Queen Of Angels School Online Fees Vadadla bharuch is one of the popular schools in india. Our mission is to train and develop every student with strong spiritual and ethical values combined with an all round training, focusing on analytical. Secondary school, the only educational institution in bharuch affiliated. Practicing catholic tuition rate request form. Facts is the tuition management for queen of angels. 19% of. Queen Of Angels School Online Fees.
From patch.com
Come see what Queen of Angels has to offer your child! Upper Moreland Queen Of Angels School Online Fees To create or access your existing facts account, use this link. Vadadla bharuch is one of the popular schools in india. Points to be noted (fees) no reduction in fees will be made for broken periods of attendance. Only online payment or qr code scanner. 19% of students receive financial aid. Our mission is to train and develop every student. Queen Of Angels School Online Fees.
From www.olqaschool.org
Our Lady Queen of Angels School Newport Beach, CA Queen Of Angels School Online Fees To create or access your existing facts account, use this link. Practicing catholic tuition rate request form. Welcome to the portals of queen of angels’ convent secondary and hr. 19% of students receive financial aid. Financial assistance please call our. Facts is the tuition management for queen of angels. Queen of angels' convent higher secondary school (qachss) located at at. Queen Of Angels School Online Fees.
From wowo.com
Flu continues to keep Queen of Angels Catholic School closed WOWO Queen Of Angels School Online Fees Facts is the tuition management for queen of angels. To create or access your existing facts account, use this link. 19% of students receive financial aid. Practicing catholic tuition rate request form. Vadadla bharuch is one of the popular schools in india. Financial assistance please call our. Welcome to the portals of queen of angels’ convent secondary and hr. Secondary. Queen Of Angels School Online Fees.
From www.youtube.com
Kindergarten Graduation for Queen of Angels School 6/7/2023 YouTube Queen Of Angels School Online Fees Secondary school, the only educational institution in bharuch affiliated. Practicing catholic tuition rate request form. Vadadla bharuch is one of the popular schools in india. Queen of angels' convent higher secondary school (qachss) located at at & p. Financial assistance please call our. Points to be noted (fees) no reduction in fees will be made for broken periods of attendance.. Queen Of Angels School Online Fees.
From www.facebook.com
Queen of Angels School Queen Of Angels School Online Fees Vadadla bharuch is one of the popular schools in india. Facts is the tuition management for queen of angels. Queen of angels' convent higher secondary school (qachss) located at at & p. Only online payment or qr code scanner. Our mission is to train and develop every student with strong spiritual and ethical values combined with an all round training,. Queen Of Angels School Online Fees.
From www.queenofangelssch.org
Queen of Angels Catholic School Queen Of Angels School Online Fees 19% of students receive financial aid. To create or access your existing facts account, use this link. Only online payment or qr code scanner. Welcome to the portals of queen of angels’ convent secondary and hr. Our mission is to train and develop every student with strong spiritual and ethical values combined with an all round training, focusing on analytical.. Queen Of Angels School Online Fees.
From www.linkedin.com
Queen of Angels School Online Giving Queen Of Angels School Online Fees Vadadla bharuch is one of the popular schools in india. 19% of students receive financial aid. To create or access your existing facts account, use this link. Points to be noted (fees) no reduction in fees will be made for broken periods of attendance. Practicing catholic tuition rate request form. Queen of angels' convent higher secondary school (qachss) located at. Queen Of Angels School Online Fees.
From www.privateschoolreview.com
Our Lady Queen Of Angels School (Top Ranked Private School for 202425 Queen Of Angels School Online Fees Facts is the tuition management for queen of angels. Queen of angels' convent higher secondary school (qachss) located at at & p. Secondary school, the only educational institution in bharuch affiliated. Vadadla bharuch is one of the popular schools in india. Practicing catholic tuition rate request form. Our mission is to train and develop every student with strong spiritual and. Queen Of Angels School Online Fees.
From slideplayer.com
Queen of Angels Catholic School Roswell, Kathryn B. Wood, PhD Queen Of Angels School Online Fees Secondary school, the only educational institution in bharuch affiliated. Points to be noted (fees) no reduction in fees will be made for broken periods of attendance. Only online payment or qr code scanner. Practicing catholic tuition rate request form. Queen of angels' convent higher secondary school (qachss) located at at & p. Vadadla bharuch is one of the popular schools. Queen Of Angels School Online Fees.
From www.facebook.com
Queen of Angels School Chicago IL Queen Of Angels School Online Fees Our mission is to train and develop every student with strong spiritual and ethical values combined with an all round training, focusing on analytical. Points to be noted (fees) no reduction in fees will be made for broken periods of attendance. Queen of angels' convent higher secondary school (qachss) located at at & p. To create or access your existing. Queen Of Angels School Online Fees.
From patch.com
Queen of Angels Regional Catholic School Now Enrolling Abington, PA Patch Queen Of Angels School Online Fees 19% of students receive financial aid. Facts is the tuition management for queen of angels. Practicing catholic tuition rate request form. Points to be noted (fees) no reduction in fees will be made for broken periods of attendance. Queen of angels' convent higher secondary school (qachss) located at at & p. Secondary school, the only educational institution in bharuch affiliated.. Queen Of Angels School Online Fees.
From www.facebook.com
Our Lady Queen of Angels Catholic School Newport Beach, CA Newport Queen Of Angels School Online Fees 19% of students receive financial aid. Facts is the tuition management for queen of angels. Points to be noted (fees) no reduction in fees will be made for broken periods of attendance. Welcome to the portals of queen of angels’ convent secondary and hr. Financial assistance please call our. Secondary school, the only educational institution in bharuch affiliated. To create. Queen Of Angels School Online Fees.
From www.olqaschool.org
General Information Online Learning Our Lady Queen of Angels School Queen Of Angels School Online Fees Vadadla bharuch is one of the popular schools in india. Our mission is to train and develop every student with strong spiritual and ethical values combined with an all round training, focusing on analytical. Queen of angels' convent higher secondary school (qachss) located at at & p. Facts is the tuition management for queen of angels. Welcome to the portals. Queen Of Angels School Online Fees.
From school.queenofangelsfw.org
Feast of the Dedication of Queen of Angels Queen of Angels Catholic Queen Of Angels School Online Fees Facts is the tuition management for queen of angels. Welcome to the portals of queen of angels’ convent secondary and hr. Only online payment or qr code scanner. Queen of angels' convent higher secondary school (qachss) located at at & p. To create or access your existing facts account, use this link. Practicing catholic tuition rate request form. Vadadla bharuch. Queen Of Angels School Online Fees.
From www.icirwin.org
Queen of Angels School Immaculate Conception Church Queen Of Angels School Online Fees Secondary school, the only educational institution in bharuch affiliated. To create or access your existing facts account, use this link. Facts is the tuition management for queen of angels. Welcome to the portals of queen of angels’ convent secondary and hr. Practicing catholic tuition rate request form. Our mission is to train and develop every student with strong spiritual and. Queen Of Angels School Online Fees.
From www.olqaschool.org
Our Lady Queen of Angels School Newport Beach, CA Queen Of Angels School Online Fees Only online payment or qr code scanner. Practicing catholic tuition rate request form. To create or access your existing facts account, use this link. Welcome to the portals of queen of angels’ convent secondary and hr. Secondary school, the only educational institution in bharuch affiliated. Points to be noted (fees) no reduction in fees will be made for broken periods. Queen Of Angels School Online Fees.
From www.olqaschool.org
Our Lady Queen of Angels School Newport Beach, CA Queen Of Angels School Online Fees Welcome to the portals of queen of angels’ convent secondary and hr. Financial assistance please call our. To create or access your existing facts account, use this link. Facts is the tuition management for queen of angels. Our mission is to train and develop every student with strong spiritual and ethical values combined with an all round training, focusing on. Queen Of Angels School Online Fees.
From www.facebook.com
Queen of Angels Catholic School Port Angeles WA Queen Of Angels School Online Fees Only online payment or qr code scanner. Points to be noted (fees) no reduction in fees will be made for broken periods of attendance. To create or access your existing facts account, use this link. Our mission is to train and develop every student with strong spiritual and ethical values combined with an all round training, focusing on analytical. Facts. Queen Of Angels School Online Fees.
From www.flickr.com
Queen of Angels Catholic school Duncan BC KAIROS Flickr Queen Of Angels School Online Fees Financial assistance please call our. Only online payment or qr code scanner. Secondary school, the only educational institution in bharuch affiliated. Practicing catholic tuition rate request form. Vadadla bharuch is one of the popular schools in india. Welcome to the portals of queen of angels’ convent secondary and hr. To create or access your existing facts account, use this link.. Queen Of Angels School Online Fees.
From schoolwalls.blogspot.com
Our Lady Queen Of Angels School In East Harlem School Walls Queen Of Angels School Online Fees To create or access your existing facts account, use this link. Facts is the tuition management for queen of angels. Queen of angels' convent higher secondary school (qachss) located at at & p. Financial assistance please call our. Points to be noted (fees) no reduction in fees will be made for broken periods of attendance. Welcome to the portals of. Queen Of Angels School Online Fees.
From theaccentonline.org
Awards presented at Queen of Angels School in North Huntingdon The Queen Of Angels School Online Fees Welcome to the portals of queen of angels’ convent secondary and hr. Only online payment or qr code scanner. Vadadla bharuch is one of the popular schools in india. Secondary school, the only educational institution in bharuch affiliated. Financial assistance please call our. To create or access your existing facts account, use this link. Our mission is to train and. Queen Of Angels School Online Fees.
From olq-ca.client.renweb.com
Our Lady Queen of Angels Application Log In Queen Of Angels School Online Fees To create or access your existing facts account, use this link. 19% of students receive financial aid. Our mission is to train and develop every student with strong spiritual and ethical values combined with an all round training, focusing on analytical. Facts is the tuition management for queen of angels. Only online payment or qr code scanner. Secondary school, the. Queen Of Angels School Online Fees.