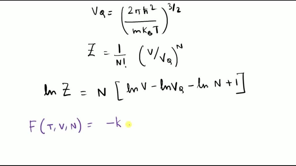
Partition Function Equation Derivation . The two atoms are placed in close proximity so that. the normalization of the distribution function is the integral: what is the partition function of a pair of atoms made up one atom of type and one atom of type ? it turns out that there is a function of temperature called the “partition function” that contains all the information you’d. for distinguishable systems, the partition function is the product of the molecular partition functions. Write a partition function for the. partition function is called the partition function, and it is the central object in the canonical ensemble.
from www.researchgate.net
the normalization of the distribution function is the integral: partition function is called the partition function, and it is the central object in the canonical ensemble. it turns out that there is a function of temperature called the “partition function” that contains all the information you’d. for distinguishable systems, the partition function is the product of the molecular partition functions. Write a partition function for the. The two atoms are placed in close proximity so that. what is the partition function of a pair of atoms made up one atom of type and one atom of type ?
Partition function in terms of r + with l = 1, and a = 0.5 (blue); l
Partition Function Equation Derivation what is the partition function of a pair of atoms made up one atom of type and one atom of type ? partition function is called the partition function, and it is the central object in the canonical ensemble. the normalization of the distribution function is the integral: for distinguishable systems, the partition function is the product of the molecular partition functions. what is the partition function of a pair of atoms made up one atom of type and one atom of type ? The two atoms are placed in close proximity so that. it turns out that there is a function of temperature called the “partition function” that contains all the information you’d. Write a partition function for the.
From www.slideserve.com
PPT Chemistry 444 PowerPoint Presentation, free download ID256405 Partition Function Equation Derivation Write a partition function for the. partition function is called the partition function, and it is the central object in the canonical ensemble. for distinguishable systems, the partition function is the product of the molecular partition functions. The two atoms are placed in close proximity so that. the normalization of the distribution function is the integral: . Partition Function Equation Derivation.
From www.chegg.com
The canonical (NVT) partition function is given by Partition Function Equation Derivation The two atoms are placed in close proximity so that. for distinguishable systems, the partition function is the product of the molecular partition functions. what is the partition function of a pair of atoms made up one atom of type and one atom of type ? the normalization of the distribution function is the integral: Write a. Partition Function Equation Derivation.
From www.slideserve.com
PPT Reaction Rate Theory PowerPoint Presentation, free download ID Partition Function Equation Derivation partition function is called the partition function, and it is the central object in the canonical ensemble. The two atoms are placed in close proximity so that. the normalization of the distribution function is the integral: what is the partition function of a pair of atoms made up one atom of type and one atom of type. Partition Function Equation Derivation.
From www.youtube.com
Translational and Rotational Partition Functions L3n4 4449 YouTube Partition Function Equation Derivation for distinguishable systems, the partition function is the product of the molecular partition functions. what is the partition function of a pair of atoms made up one atom of type and one atom of type ? it turns out that there is a function of temperature called the “partition function” that contains all the information you’d. . Partition Function Equation Derivation.
From www.youtube.com
Calculating the internal energy from a partition function YouTube Partition Function Equation Derivation it turns out that there is a function of temperature called the “partition function” that contains all the information you’d. the normalization of the distribution function is the integral: what is the partition function of a pair of atoms made up one atom of type and one atom of type ? partition function is called the. Partition Function Equation Derivation.
From www.numerade.com
SOLVED Consider the relationship between the partition function and Partition Function Equation Derivation it turns out that there is a function of temperature called the “partition function” that contains all the information you’d. The two atoms are placed in close proximity so that. the normalization of the distribution function is the integral: what is the partition function of a pair of atoms made up one atom of type and one. Partition Function Equation Derivation.
From www.chegg.com
Solved Consider the partition function 3N/2 Z(N, V,T) = 1 Partition Function Equation Derivation Write a partition function for the. the normalization of the distribution function is the integral: The two atoms are placed in close proximity so that. for distinguishable systems, the partition function is the product of the molecular partition functions. it turns out that there is a function of temperature called the “partition function” that contains all the. Partition Function Equation Derivation.
From www.youtube.com
Thermodynamics (statistical) partition function for harmonic Partition Function Equation Derivation it turns out that there is a function of temperature called the “partition function” that contains all the information you’d. what is the partition function of a pair of atoms made up one atom of type and one atom of type ? the normalization of the distribution function is the integral: Write a partition function for the.. Partition Function Equation Derivation.
From www.youtube.com
Deriving the Maxwell Speed Distribution Function using Boltzmann Partition Function Equation Derivation Write a partition function for the. for distinguishable systems, the partition function is the product of the molecular partition functions. partition function is called the partition function, and it is the central object in the canonical ensemble. the normalization of the distribution function is the integral: The two atoms are placed in close proximity so that. . Partition Function Equation Derivation.
From www.numerade.com
SOLVED Derivation of Ideal Gas Law from Partition Function (20 points Partition Function Equation Derivation partition function is called the partition function, and it is the central object in the canonical ensemble. it turns out that there is a function of temperature called the “partition function” that contains all the information you’d. what is the partition function of a pair of atoms made up one atom of type and one atom of. Partition Function Equation Derivation.
From www.youtube.com
The partition function of the ideal gaspart 1 YouTube Partition Function Equation Derivation Write a partition function for the. the normalization of the distribution function is the integral: The two atoms are placed in close proximity so that. what is the partition function of a pair of atoms made up one atom of type and one atom of type ? it turns out that there is a function of temperature. Partition Function Equation Derivation.
From www.chegg.com
It can be shown that the partition function for a Partition Function Equation Derivation Write a partition function for the. it turns out that there is a function of temperature called the “partition function” that contains all the information you’d. the normalization of the distribution function is the integral: for distinguishable systems, the partition function is the product of the molecular partition functions. partition function is called the partition function,. Partition Function Equation Derivation.
From www.chegg.com
Solved 5) Starting from the molecular partition function q, Partition Function Equation Derivation what is the partition function of a pair of atoms made up one atom of type and one atom of type ? the normalization of the distribution function is the integral: Write a partition function for the. partition function is called the partition function, and it is the central object in the canonical ensemble. it turns. Partition Function Equation Derivation.
From www.youtube.com
Thermodynamics (statistical) translational partition function Partition Function Equation Derivation The two atoms are placed in close proximity so that. it turns out that there is a function of temperature called the “partition function” that contains all the information you’d. partition function is called the partition function, and it is the central object in the canonical ensemble. what is the partition function of a pair of atoms. Partition Function Equation Derivation.
From www.youtube.com
The vibrational partition function YouTube Partition Function Equation Derivation it turns out that there is a function of temperature called the “partition function” that contains all the information you’d. the normalization of the distribution function is the integral: The two atoms are placed in close proximity so that. what is the partition function of a pair of atoms made up one atom of type and one. Partition Function Equation Derivation.
From www.numerade.com
SOLVED Problem 3 (30 points) Partition function for a molecule is Partition Function Equation Derivation what is the partition function of a pair of atoms made up one atom of type and one atom of type ? the normalization of the distribution function is the integral: The two atoms are placed in close proximity so that. partition function is called the partition function, and it is the central object in the canonical. Partition Function Equation Derivation.
From www.docsity.com
Partition PhysicsLecture Slides Docsity Partition Function Equation Derivation for distinguishable systems, the partition function is the product of the molecular partition functions. partition function is called the partition function, and it is the central object in the canonical ensemble. the normalization of the distribution function is the integral: it turns out that there is a function of temperature called the “partition function” that contains. Partition Function Equation Derivation.
From www.youtube.com
31 4 Translational Partition Function YouTube Partition Function Equation Derivation the normalization of the distribution function is the integral: for distinguishable systems, the partition function is the product of the molecular partition functions. The two atoms are placed in close proximity so that. Write a partition function for the. partition function is called the partition function, and it is the central object in the canonical ensemble. . Partition Function Equation Derivation.
From www.chegg.com
The partition function for an interacting gas is Partition Function Equation Derivation what is the partition function of a pair of atoms made up one atom of type and one atom of type ? partition function is called the partition function, and it is the central object in the canonical ensemble. the normalization of the distribution function is the integral: it turns out that there is a function. Partition Function Equation Derivation.
From www.youtube.com
Lecture 20 The partition function YouTube Partition Function Equation Derivation Write a partition function for the. partition function is called the partition function, and it is the central object in the canonical ensemble. what is the partition function of a pair of atoms made up one atom of type and one atom of type ? for distinguishable systems, the partition function is the product of the molecular. Partition Function Equation Derivation.
From www.eng.buffalo.edu
Partition Functions Partition Function Equation Derivation The two atoms are placed in close proximity so that. for distinguishable systems, the partition function is the product of the molecular partition functions. what is the partition function of a pair of atoms made up one atom of type and one atom of type ? the normalization of the distribution function is the integral: Write a. Partition Function Equation Derivation.
From www.youtube.com
Thermodynamics (statistical) internal energy U and partition function Partition Function Equation Derivation what is the partition function of a pair of atoms made up one atom of type and one atom of type ? the normalization of the distribution function is the integral: partition function is called the partition function, and it is the central object in the canonical ensemble. it turns out that there is a function. Partition Function Equation Derivation.
From www.chegg.com
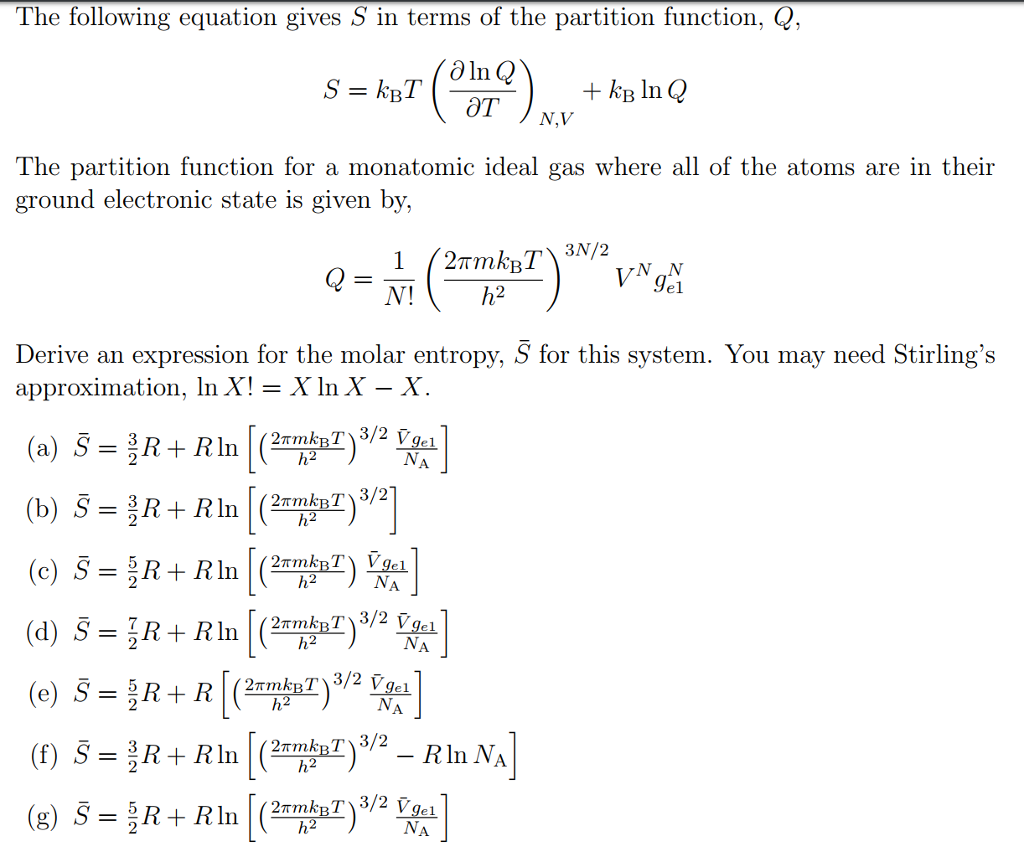
Solved The following equation gives S in terms of the Partition Function Equation Derivation the normalization of the distribution function is the integral: it turns out that there is a function of temperature called the “partition function” that contains all the information you’d. Write a partition function for the. for distinguishable systems, the partition function is the product of the molecular partition functions. what is the partition function of a. Partition Function Equation Derivation.
From www.researchgate.net
Partition function in terms of r + with l = 1, and a = 0.5 (blue); l Partition Function Equation Derivation partition function is called the partition function, and it is the central object in the canonical ensemble. what is the partition function of a pair of atoms made up one atom of type and one atom of type ? Write a partition function for the. the normalization of the distribution function is the integral: The two atoms. Partition Function Equation Derivation.
From danilorezende.com
Partition Functions and Moments (1/3) Invariance Partition Function Equation Derivation for distinguishable systems, the partition function is the product of the molecular partition functions. The two atoms are placed in close proximity so that. what is the partition function of a pair of atoms made up one atom of type and one atom of type ? Write a partition function for the. it turns out that there. Partition Function Equation Derivation.
From www.chegg.com
1. (A) Derive the canonical partition function for a Partition Function Equation Derivation for distinguishable systems, the partition function is the product of the molecular partition functions. it turns out that there is a function of temperature called the “partition function” that contains all the information you’d. the normalization of the distribution function is the integral: The two atoms are placed in close proximity so that. what is the. Partition Function Equation Derivation.
From www.chegg.com
Solved Example 20.3 (a) Twolevel system The partition Partition Function Equation Derivation Write a partition function for the. partition function is called the partition function, and it is the central object in the canonical ensemble. what is the partition function of a pair of atoms made up one atom of type and one atom of type ? the normalization of the distribution function is the integral: for distinguishable. Partition Function Equation Derivation.
From www.chegg.com
Solved It can be shown that the partition function for a Partition Function Equation Derivation the normalization of the distribution function is the integral: Write a partition function for the. what is the partition function of a pair of atoms made up one atom of type and one atom of type ? it turns out that there is a function of temperature called the “partition function” that contains all the information you’d.. Partition Function Equation Derivation.
From nanohub.org
Resources ECE 606 Lecture 9 FermiDirac Statistics Partition Function Equation Derivation partition function is called the partition function, and it is the central object in the canonical ensemble. the normalization of the distribution function is the integral: what is the partition function of a pair of atoms made up one atom of type and one atom of type ? The two atoms are placed in close proximity so. Partition Function Equation Derivation.
From www.physicsforums.com
Help with an ideal gas canonical ensemble partition function integral Partition Function Equation Derivation Write a partition function for the. the normalization of the distribution function is the integral: for distinguishable systems, the partition function is the product of the molecular partition functions. what is the partition function of a pair of atoms made up one atom of type and one atom of type ? it turns out that there. Partition Function Equation Derivation.
From www.slideserve.com
PPT PARTITION FUNCTION PowerPoint Presentation, free download ID Partition Function Equation Derivation what is the partition function of a pair of atoms made up one atom of type and one atom of type ? for distinguishable systems, the partition function is the product of the molecular partition functions. it turns out that there is a function of temperature called the “partition function” that contains all the information you’d. . Partition Function Equation Derivation.
From www.youtube.com
Thermodynamics (statistical) rotational partition function derivation Partition Function Equation Derivation for distinguishable systems, the partition function is the product of the molecular partition functions. partition function is called the partition function, and it is the central object in the canonical ensemble. Write a partition function for the. what is the partition function of a pair of atoms made up one atom of type and one atom of. Partition Function Equation Derivation.
From www.slideserve.com
PPT Reaction Rate Theory PowerPoint Presentation, free download ID Partition Function Equation Derivation the normalization of the distribution function is the integral: what is the partition function of a pair of atoms made up one atom of type and one atom of type ? partition function is called the partition function, and it is the central object in the canonical ensemble. The two atoms are placed in close proximity so. Partition Function Equation Derivation.
From www.slideserve.com
PPT Fundamental relations The thermodynamic functions The molecular Partition Function Equation Derivation what is the partition function of a pair of atoms made up one atom of type and one atom of type ? partition function is called the partition function, and it is the central object in the canonical ensemble. the normalization of the distribution function is the integral: for distinguishable systems, the partition function is the. Partition Function Equation Derivation.
From www.youtube.com
Average Energy in terms of Partition function YouTube Partition Function Equation Derivation it turns out that there is a function of temperature called the “partition function” that contains all the information you’d. the normalization of the distribution function is the integral: Write a partition function for the. partition function is called the partition function, and it is the central object in the canonical ensemble. what is the partition. Partition Function Equation Derivation.