How Are Motors Generators Basically Inverses Of Each Other . electric motors, which convert electrical energy into mechanical energy, are the most common application of magnetic force on. motors are driven by magnetic force, while generators are driven by mechanical force. a motor and generator perform opposite functions, but their fundamental structure is the same. Before moving to the differences between a. by kim lewis. motors and generators are inverses because motors convert electrical energy into mechanical energy while generators do. in this section i am going to describe highly idealized and imaginary linear motors and generators, only because the geometry is simpler than for rotary. the difference between motors and generators given here is in tabular form for better understanding and clarity. Motors and generators are electromagnetic devices. Their structure is a coil.
from www.homeworklib.com
Before moving to the differences between a. Motors and generators are electromagnetic devices. motors and generators are inverses because motors convert electrical energy into mechanical energy while generators do. by kim lewis. a motor and generator perform opposite functions, but their fundamental structure is the same. the difference between motors and generators given here is in tabular form for better understanding and clarity. electric motors, which convert electrical energy into mechanical energy, are the most common application of magnetic force on. Their structure is a coil. motors are driven by magnetic force, while generators are driven by mechanical force. in this section i am going to describe highly idealized and imaginary linear motors and generators, only because the geometry is simpler than for rotary.
Decide whether or not the functions are inverses of each other.Use the
How Are Motors Generators Basically Inverses Of Each Other Before moving to the differences between a. motors and generators are inverses because motors convert electrical energy into mechanical energy while generators do. a motor and generator perform opposite functions, but their fundamental structure is the same. Before moving to the differences between a. motors are driven by magnetic force, while generators are driven by mechanical force. Motors and generators are electromagnetic devices. in this section i am going to describe highly idealized and imaginary linear motors and generators, only because the geometry is simpler than for rotary. electric motors, which convert electrical energy into mechanical energy, are the most common application of magnetic force on. Their structure is a coil. the difference between motors and generators given here is in tabular form for better understanding and clarity. by kim lewis.
From www.teachoo.com
Electric Generator Class 10 Working, Principle, Diagram Teachoo How Are Motors Generators Basically Inverses Of Each Other the difference between motors and generators given here is in tabular form for better understanding and clarity. motors are driven by magnetic force, while generators are driven by mechanical force. electric motors, which convert electrical energy into mechanical energy, are the most common application of magnetic force on. motors and generators are inverses because motors convert. How Are Motors Generators Basically Inverses Of Each Other.
From www.numerade.com
SOLVED A 25 MVA 11 kV threephase generator has a subtransient How Are Motors Generators Basically Inverses Of Each Other motors and generators are inverses because motors convert electrical energy into mechanical energy while generators do. the difference between motors and generators given here is in tabular form for better understanding and clarity. electric motors, which convert electrical energy into mechanical energy, are the most common application of magnetic force on. Motors and generators are electromagnetic devices.. How Are Motors Generators Basically Inverses Of Each Other.
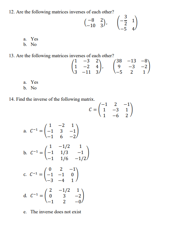
From www.chegg.com
Solved 12. Are the following matrices inverses of each How Are Motors Generators Basically Inverses Of Each Other a motor and generator perform opposite functions, but their fundamental structure is the same. by kim lewis. Their structure is a coil. electric motors, which convert electrical energy into mechanical energy, are the most common application of magnetic force on. motors are driven by magnetic force, while generators are driven by mechanical force. Before moving to. How Are Motors Generators Basically Inverses Of Each Other.
From brainly.com
(URGENT) Which pair of functions are inverses of each other? How Are Motors Generators Basically Inverses Of Each Other motors and generators are inverses because motors convert electrical energy into mechanical energy while generators do. the difference between motors and generators given here is in tabular form for better understanding and clarity. Motors and generators are electromagnetic devices. in this section i am going to describe highly idealized and imaginary linear motors and generators, only because. How Are Motors Generators Basically Inverses Of Each Other.
From www.gizmoplans.com
Generator & Motor Rewinding How Are Motors Generators Basically Inverses Of Each Other motors and generators are inverses because motors convert electrical energy into mechanical energy while generators do. the difference between motors and generators given here is in tabular form for better understanding and clarity. electric motors, which convert electrical energy into mechanical energy, are the most common application of magnetic force on. Their structure is a coil. Motors. How Are Motors Generators Basically Inverses Of Each Other.
From slidetodoc.com
ELECTRIC MOTORS GENERATORS Andrew Holliday Motors and Generators How Are Motors Generators Basically Inverses Of Each Other Motors and generators are electromagnetic devices. by kim lewis. in this section i am going to describe highly idealized and imaginary linear motors and generators, only because the geometry is simpler than for rotary. Before moving to the differences between a. motors are driven by magnetic force, while generators are driven by mechanical force. a motor. How Are Motors Generators Basically Inverses Of Each Other.
From www.homeworklib.com
Decide whether or not the functions are inverses of each other.Use the How Are Motors Generators Basically Inverses Of Each Other Motors and generators are electromagnetic devices. Before moving to the differences between a. Their structure is a coil. motors and generators are inverses because motors convert electrical energy into mechanical energy while generators do. a motor and generator perform opposite functions, but their fundamental structure is the same. in this section i am going to describe highly. How Are Motors Generators Basically Inverses Of Each Other.
From www.numerade.com
SOLVEDDetermine whether each pair of matrices are inverses of each How Are Motors Generators Basically Inverses Of Each Other the difference between motors and generators given here is in tabular form for better understanding and clarity. Their structure is a coil. in this section i am going to describe highly idealized and imaginary linear motors and generators, only because the geometry is simpler than for rotary. by kim lewis. motors are driven by magnetic force,. How Are Motors Generators Basically Inverses Of Each Other.
From mdmtool.com
Difference Between Electric Motors And Generators MDM Tool Supply How Are Motors Generators Basically Inverses Of Each Other the difference between motors and generators given here is in tabular form for better understanding and clarity. by kim lewis. electric motors, which convert electrical energy into mechanical energy, are the most common application of magnetic force on. Before moving to the differences between a. in this section i am going to describe highly idealized and. How Are Motors Generators Basically Inverses Of Each Other.
From www.thinkswap.com
Motors and Generators Notes Physics Year 12 HSC Thinkswap How Are Motors Generators Basically Inverses Of Each Other motors and generators are inverses because motors convert electrical energy into mechanical energy while generators do. a motor and generator perform opposite functions, but their fundamental structure is the same. Motors and generators are electromagnetic devices. electric motors, which convert electrical energy into mechanical energy, are the most common application of magnetic force on. motors are. How Are Motors Generators Basically Inverses Of Each Other.
From www.menzel-motors.com
Complete sets for test field How Are Motors Generators Basically Inverses Of Each Other by kim lewis. Motors and generators are electromagnetic devices. motors and generators are inverses because motors convert electrical energy into mechanical energy while generators do. Their structure is a coil. electric motors, which convert electrical energy into mechanical energy, are the most common application of magnetic force on. Before moving to the differences between a. a. How Are Motors Generators Basically Inverses Of Each Other.
From www.researchgate.net
Experimental setup. (a) unit. (b) Structure of How Are Motors Generators Basically Inverses Of Each Other Before moving to the differences between a. Their structure is a coil. in this section i am going to describe highly idealized and imaginary linear motors and generators, only because the geometry is simpler than for rotary. motors are driven by magnetic force, while generators are driven by mechanical force. the difference between motors and generators given. How Are Motors Generators Basically Inverses Of Each Other.
From serc.carleton.edu
A simple motor/generator demonstration for use in interactive lecture How Are Motors Generators Basically Inverses Of Each Other Their structure is a coil. motors and generators are inverses because motors convert electrical energy into mechanical energy while generators do. electric motors, which convert electrical energy into mechanical energy, are the most common application of magnetic force on. a motor and generator perform opposite functions, but their fundamental structure is the same. the difference between. How Are Motors Generators Basically Inverses Of Each Other.
From dewwool.com
10 Differences between motor and generator DewWool How Are Motors Generators Basically Inverses Of Each Other in this section i am going to describe highly idealized and imaginary linear motors and generators, only because the geometry is simpler than for rotary. Their structure is a coil. by kim lewis. motors and generators are inverses because motors convert electrical energy into mechanical energy while generators do. electric motors, which convert electrical energy into. How Are Motors Generators Basically Inverses Of Each Other.
From gesrepair.com
How Electric Motors and Generators are the Same Device Global How Are Motors Generators Basically Inverses Of Each Other by kim lewis. Their structure is a coil. Before moving to the differences between a. motors are driven by magnetic force, while generators are driven by mechanical force. a motor and generator perform opposite functions, but their fundamental structure is the same. motors and generators are inverses because motors convert electrical energy into mechanical energy while. How Are Motors Generators Basically Inverses Of Each Other.
From www.coursehero.com
[Solved] This topic is about Parallel DC Generator of Electrical How Are Motors Generators Basically Inverses Of Each Other a motor and generator perform opposite functions, but their fundamental structure is the same. motors and generators are inverses because motors convert electrical energy into mechanical energy while generators do. Motors and generators are electromagnetic devices. the difference between motors and generators given here is in tabular form for better understanding and clarity. in this section. How Are Motors Generators Basically Inverses Of Each Other.
From www.frontierpower.com
Motor Generator Sets Frontier Power Products How Are Motors Generators Basically Inverses Of Each Other the difference between motors and generators given here is in tabular form for better understanding and clarity. electric motors, which convert electrical energy into mechanical energy, are the most common application of magnetic force on. a motor and generator perform opposite functions, but their fundamental structure is the same. Before moving to the differences between a. Their. How Are Motors Generators Basically Inverses Of Each Other.
From howelectrical.com
What is Separately Excited DC Generator? Circuit diagram How Are Motors Generators Basically Inverses Of Each Other in this section i am going to describe highly idealized and imaginary linear motors and generators, only because the geometry is simpler than for rotary. motors are driven by magnetic force, while generators are driven by mechanical force. Their structure is a coil. Before moving to the differences between a. Motors and generators are electromagnetic devices. by. How Are Motors Generators Basically Inverses Of Each Other.
From www.youtube.com
Modular Inverses, Generators, and Order Linking Elementary Number How Are Motors Generators Basically Inverses Of Each Other motors are driven by magnetic force, while generators are driven by mechanical force. electric motors, which convert electrical energy into mechanical energy, are the most common application of magnetic force on. Before moving to the differences between a. by kim lewis. in this section i am going to describe highly idealized and imaginary linear motors and. How Are Motors Generators Basically Inverses Of Each Other.
From www.youtube.com
Are the functions inverses of each other? YouTube How Are Motors Generators Basically Inverses Of Each Other electric motors, which convert electrical energy into mechanical energy, are the most common application of magnetic force on. Before moving to the differences between a. Motors and generators are electromagnetic devices. a motor and generator perform opposite functions, but their fundamental structure is the same. motors and generators are inverses because motors convert electrical energy into mechanical. How Are Motors Generators Basically Inverses Of Each Other.
From www.youtube.com
Day 4 HW (1 to 3) How to show if two matrices are inverses of each How Are Motors Generators Basically Inverses Of Each Other the difference between motors and generators given here is in tabular form for better understanding and clarity. electric motors, which convert electrical energy into mechanical energy, are the most common application of magnetic force on. Their structure is a coil. motors and generators are inverses because motors convert electrical energy into mechanical energy while generators do. . How Are Motors Generators Basically Inverses Of Each Other.
From www.numerade.com
SOLVED Quaston 0l35 Electric motors and generators are similarly How Are Motors Generators Basically Inverses Of Each Other Before moving to the differences between a. Their structure is a coil. in this section i am going to describe highly idealized and imaginary linear motors and generators, only because the geometry is simpler than for rotary. motors are driven by magnetic force, while generators are driven by mechanical force. the difference between motors and generators given. How Are Motors Generators Basically Inverses Of Each Other.
From wonderfulengineering.com
What Is An Electric Generator? How Are Motors Generators Basically Inverses Of Each Other a motor and generator perform opposite functions, but their fundamental structure is the same. in this section i am going to describe highly idealized and imaginary linear motors and generators, only because the geometry is simpler than for rotary. Their structure is a coil. electric motors, which convert electrical energy into mechanical energy, are the most common. How Are Motors Generators Basically Inverses Of Each Other.
From www.coursehero.com
[Solved] Two shunt generators A and B operate in parallel and their How Are Motors Generators Basically Inverses Of Each Other electric motors, which convert electrical energy into mechanical energy, are the most common application of magnetic force on. motors and generators are inverses because motors convert electrical energy into mechanical energy while generators do. the difference between motors and generators given here is in tabular form for better understanding and clarity. motors are driven by magnetic. How Are Motors Generators Basically Inverses Of Each Other.
From www.youtube.com
Determining whether two functions are inverses of each other YouTube How Are Motors Generators Basically Inverses Of Each Other Before moving to the differences between a. in this section i am going to describe highly idealized and imaginary linear motors and generators, only because the geometry is simpler than for rotary. motors are driven by magnetic force, while generators are driven by mechanical force. by kim lewis. motors and generators are inverses because motors convert. How Are Motors Generators Basically Inverses Of Each Other.
From generators-reviews.com
Key Differences Between Generator And Motor How Are Motors Generators Basically Inverses Of Each Other the difference between motors and generators given here is in tabular form for better understanding and clarity. Motors and generators are electromagnetic devices. motors are driven by magnetic force, while generators are driven by mechanical force. electric motors, which convert electrical energy into mechanical energy, are the most common application of magnetic force on. in this. How Are Motors Generators Basically Inverses Of Each Other.
From www.youtube.com
Motor Generator Set Working YouTube How Are Motors Generators Basically Inverses Of Each Other motors are driven by magnetic force, while generators are driven by mechanical force. motors and generators are inverses because motors convert electrical energy into mechanical energy while generators do. in this section i am going to describe highly idealized and imaginary linear motors and generators, only because the geometry is simpler than for rotary. by kim. How Are Motors Generators Basically Inverses Of Each Other.
From brainly.com
Which pair of functions are inverses of each other? How Are Motors Generators Basically Inverses Of Each Other in this section i am going to describe highly idealized and imaginary linear motors and generators, only because the geometry is simpler than for rotary. Motors and generators are electromagnetic devices. the difference between motors and generators given here is in tabular form for better understanding and clarity. motors and generators are inverses because motors convert electrical. How Are Motors Generators Basically Inverses Of Each Other.
From teachsciencewithfergy.com
Motors and Generators Lesson How Are Motors Generators Basically Inverses Of Each Other electric motors, which convert electrical energy into mechanical energy, are the most common application of magnetic force on. a motor and generator perform opposite functions, but their fundamental structure is the same. Their structure is a coil. by kim lewis. Motors and generators are electromagnetic devices. the difference between motors and generators given here is in. How Are Motors Generators Basically Inverses Of Each Other.
From www.numerade.com
SOLVED Explain the principal of working electric motor, what is the How Are Motors Generators Basically Inverses Of Each Other electric motors, which convert electrical energy into mechanical energy, are the most common application of magnetic force on. motors are driven by magnetic force, while generators are driven by mechanical force. motors and generators are inverses because motors convert electrical energy into mechanical energy while generators do. a motor and generator perform opposite functions, but their. How Are Motors Generators Basically Inverses Of Each Other.
From slideplayer.com
Force Teaching Slides, ppt download How Are Motors Generators Basically Inverses Of Each Other motors are driven by magnetic force, while generators are driven by mechanical force. in this section i am going to describe highly idealized and imaginary linear motors and generators, only because the geometry is simpler than for rotary. the difference between motors and generators given here is in tabular form for better understanding and clarity. a. How Are Motors Generators Basically Inverses Of Each Other.
From brainly.com
Which of the following pairs of functions are inverses of each other? O How Are Motors Generators Basically Inverses Of Each Other Motors and generators are electromagnetic devices. electric motors, which convert electrical energy into mechanical energy, are the most common application of magnetic force on. Their structure is a coil. a motor and generator perform opposite functions, but their fundamental structure is the same. Before moving to the differences between a. in this section i am going to. How Are Motors Generators Basically Inverses Of Each Other.
From slideplayer.com
General Physics (PHY 2140) Lecture 17 Electricity and ppt How Are Motors Generators Basically Inverses Of Each Other in this section i am going to describe highly idealized and imaginary linear motors and generators, only because the geometry is simpler than for rotary. motors and generators are inverses because motors convert electrical energy into mechanical energy while generators do. Motors and generators are electromagnetic devices. Their structure is a coil. electric motors, which convert electrical. How Are Motors Generators Basically Inverses Of Each Other.
From brainly.com
Which of the following pairs of functions are inverses of each other? A How Are Motors Generators Basically Inverses Of Each Other Motors and generators are electromagnetic devices. by kim lewis. Their structure is a coil. a motor and generator perform opposite functions, but their fundamental structure is the same. Before moving to the differences between a. the difference between motors and generators given here is in tabular form for better understanding and clarity. electric motors, which convert. How Are Motors Generators Basically Inverses Of Each Other.
From brainly.com
which pair of functions are inverses of each other? How Are Motors Generators Basically Inverses Of Each Other by kim lewis. in this section i am going to describe highly idealized and imaginary linear motors and generators, only because the geometry is simpler than for rotary. Their structure is a coil. motors and generators are inverses because motors convert electrical energy into mechanical energy while generators do. motors are driven by magnetic force, while. How Are Motors Generators Basically Inverses Of Each Other.