Registration Of Meat And Poultry Handlers . Structure and responsibilities of the department of food safety. The process which ensures the safety of your meat from start to finish. unless you operate under federal inspection, you are required by law to register with the u.s. Department of agriculture if you deal. this is a system to certify food facilities that proactively work on hygiene management for providing safe food. Outline of the administration of food safety.
from www.templateroller.com
Structure and responsibilities of the department of food safety. The process which ensures the safety of your meat from start to finish. Outline of the administration of food safety. Department of agriculture if you deal. unless you operate under federal inspection, you are required by law to register with the u.s. this is a system to certify food facilities that proactively work on hygiene management for providing safe food.
Mississippi Application for Registration Under the Meat, MeatFood, and
Registration Of Meat And Poultry Handlers The process which ensures the safety of your meat from start to finish. The process which ensures the safety of your meat from start to finish. unless you operate under federal inspection, you are required by law to register with the u.s. Outline of the administration of food safety. Structure and responsibilities of the department of food safety. Department of agriculture if you deal. this is a system to certify food facilities that proactively work on hygiene management for providing safe food.
From www.templateroller.com
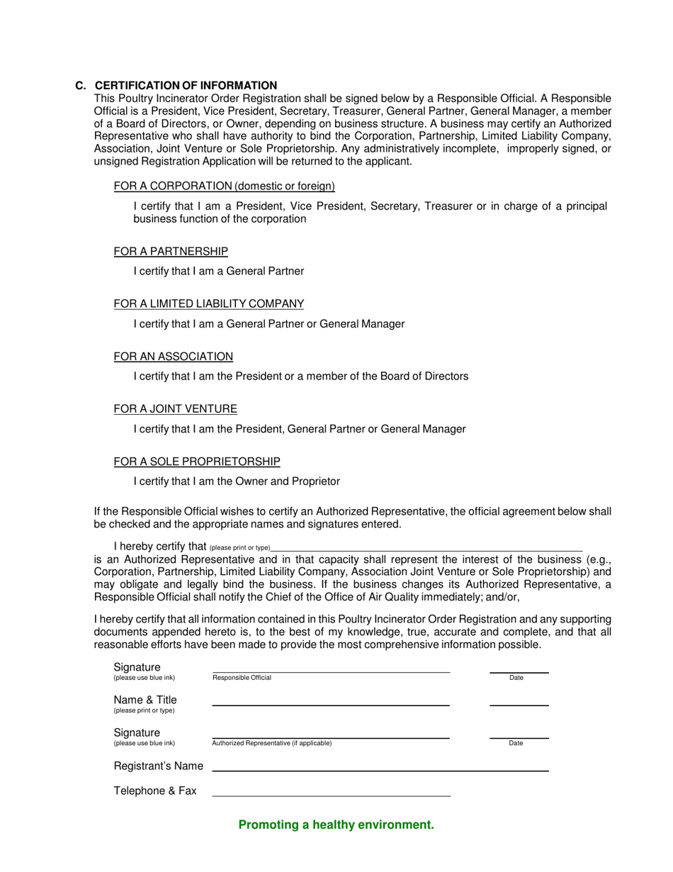
West Virginia Registration Form Poultry Incinerator Order Cor6c Registration Of Meat And Poultry Handlers unless you operate under federal inspection, you are required by law to register with the u.s. Department of agriculture if you deal. Outline of the administration of food safety. Structure and responsibilities of the department of food safety. The process which ensures the safety of your meat from start to finish. this is a system to certify food. Registration Of Meat And Poultry Handlers.
From www.templateroller.com
Delaware Poultry Premises Registration Fill Out, Sign Online and Registration Of Meat And Poultry Handlers Outline of the administration of food safety. The process which ensures the safety of your meat from start to finish. unless you operate under federal inspection, you are required by law to register with the u.s. this is a system to certify food facilities that proactively work on hygiene management for providing safe food. Department of agriculture if. Registration Of Meat And Poultry Handlers.
From www.templateroller.com
Form MP19 Download Fillable PDF or Fill Online Meat & Poultry Registration Of Meat And Poultry Handlers this is a system to certify food facilities that proactively work on hygiene management for providing safe food. The process which ensures the safety of your meat from start to finish. Department of agriculture if you deal. Outline of the administration of food safety. unless you operate under federal inspection, you are required by law to register with. Registration Of Meat And Poultry Handlers.
From www.templateroller.com
Form 79001B Download Fillable PDF or Fill Online Exempt Poultry Registration Of Meat And Poultry Handlers Outline of the administration of food safety. Department of agriculture if you deal. this is a system to certify food facilities that proactively work on hygiene management for providing safe food. unless you operate under federal inspection, you are required by law to register with the u.s. Structure and responsibilities of the department of food safety. The process. Registration Of Meat And Poultry Handlers.
From www.templateroller.com
Virginia Registration Packet for Cotton Handlers Fill Out, Sign Registration Of Meat And Poultry Handlers Department of agriculture if you deal. this is a system to certify food facilities that proactively work on hygiene management for providing safe food. Outline of the administration of food safety. unless you operate under federal inspection, you are required by law to register with the u.s. The process which ensures the safety of your meat from start. Registration Of Meat And Poultry Handlers.
From www.templateroller.com
Virginia Registration Packet for Cotton Handlers Fill Out, Sign Registration Of Meat And Poultry Handlers unless you operate under federal inspection, you are required by law to register with the u.s. Structure and responsibilities of the department of food safety. Department of agriculture if you deal. The process which ensures the safety of your meat from start to finish. Outline of the administration of food safety. this is a system to certify food. Registration Of Meat And Poultry Handlers.
From www.templateroller.com
Mississippi Application for Registration Under the Meat, MeatFood, and Registration Of Meat And Poultry Handlers The process which ensures the safety of your meat from start to finish. unless you operate under federal inspection, you are required by law to register with the u.s. Structure and responsibilities of the department of food safety. Department of agriculture if you deal. this is a system to certify food facilities that proactively work on hygiene management. Registration Of Meat And Poultry Handlers.
From www.templateroller.com
FSIS Form 50201 Fill Out, Sign Online and Download Fillable PDF Registration Of Meat And Poultry Handlers this is a system to certify food facilities that proactively work on hygiene management for providing safe food. The process which ensures the safety of your meat from start to finish. unless you operate under federal inspection, you are required by law to register with the u.s. Department of agriculture if you deal. Structure and responsibilities of the. Registration Of Meat And Poultry Handlers.
From www.templateroller.com
Maine Registration of Fewer Than 1,000 Bird Poultry Exemption Fill Registration Of Meat And Poultry Handlers this is a system to certify food facilities that proactively work on hygiene management for providing safe food. Structure and responsibilities of the department of food safety. unless you operate under federal inspection, you are required by law to register with the u.s. The process which ensures the safety of your meat from start to finish. Department of. Registration Of Meat And Poultry Handlers.
From www.gulfood.com
Meat & Poultry Show Sectors Gulfood 2024 Registration Of Meat And Poultry Handlers this is a system to certify food facilities that proactively work on hygiene management for providing safe food. Department of agriculture if you deal. Structure and responsibilities of the department of food safety. Outline of the administration of food safety. unless you operate under federal inspection, you are required by law to register with the u.s. The process. Registration Of Meat And Poultry Handlers.
From www.templateroller.com
Form 79001B Fill Out, Sign Online and Download Fillable PDF Registration Of Meat And Poultry Handlers Department of agriculture if you deal. Outline of the administration of food safety. Structure and responsibilities of the department of food safety. this is a system to certify food facilities that proactively work on hygiene management for providing safe food. unless you operate under federal inspection, you are required by law to register with the u.s. The process. Registration Of Meat And Poultry Handlers.
From www.youtube.com
DRAFT INFOGRAPHICS I APPLICATION FOR LIVESTOCK, POULTRY AND BY Registration Of Meat And Poultry Handlers Department of agriculture if you deal. Structure and responsibilities of the department of food safety. this is a system to certify food facilities that proactively work on hygiene management for providing safe food. Outline of the administration of food safety. unless you operate under federal inspection, you are required by law to register with the u.s. The process. Registration Of Meat And Poultry Handlers.
From www.meatpoultry.com
Word Pork Expo begins registration for its event in Iowa MEAT+POULTRY Registration Of Meat And Poultry Handlers this is a system to certify food facilities that proactively work on hygiene management for providing safe food. Structure and responsibilities of the department of food safety. The process which ensures the safety of your meat from start to finish. Outline of the administration of food safety. unless you operate under federal inspection, you are required by law. Registration Of Meat And Poultry Handlers.
From www.templateroller.com
Utah Registration for a Poultry Exemption Operation (2205) Fill Out Registration Of Meat And Poultry Handlers unless you operate under federal inspection, you are required by law to register with the u.s. Department of agriculture if you deal. The process which ensures the safety of your meat from start to finish. Structure and responsibilities of the department of food safety. Outline of the administration of food safety. this is a system to certify food. Registration Of Meat And Poultry Handlers.
From www.provisioneronline.com
2019 Meat and Poultry Industry Economic Outlook A mixed bag 201812 Registration Of Meat And Poultry Handlers Department of agriculture if you deal. Structure and responsibilities of the department of food safety. unless you operate under federal inspection, you are required by law to register with the u.s. Outline of the administration of food safety. this is a system to certify food facilities that proactively work on hygiene management for providing safe food. The process. Registration Of Meat And Poultry Handlers.
From www.meatpoultry.com
Draft report of Dietary Guidelines tough on meat, poultry 20200626 Registration Of Meat And Poultry Handlers Department of agriculture if you deal. Outline of the administration of food safety. Structure and responsibilities of the department of food safety. The process which ensures the safety of your meat from start to finish. unless you operate under federal inspection, you are required by law to register with the u.s. this is a system to certify food. Registration Of Meat And Poultry Handlers.
From www.meatpoultry.com
Meat Processor Academy Mastermind program open for registration MEAT Registration Of Meat And Poultry Handlers Department of agriculture if you deal. Outline of the administration of food safety. unless you operate under federal inspection, you are required by law to register with the u.s. this is a system to certify food facilities that proactively work on hygiene management for providing safe food. The process which ensures the safety of your meat from start. Registration Of Meat And Poultry Handlers.
From www.templateroller.com
Form MP19 Download Fillable PDF or Fill Online Meat & Poultry Registration Of Meat And Poultry Handlers this is a system to certify food facilities that proactively work on hygiene management for providing safe food. Structure and responsibilities of the department of food safety. unless you operate under federal inspection, you are required by law to register with the u.s. Outline of the administration of food safety. The process which ensures the safety of your. Registration Of Meat And Poultry Handlers.
From dokumen.tips
(PDF) Meat and Poultry Handler Requirements Plants for Human … · USDA Registration Of Meat And Poultry Handlers Department of agriculture if you deal. this is a system to certify food facilities that proactively work on hygiene management for providing safe food. The process which ensures the safety of your meat from start to finish. Structure and responsibilities of the department of food safety. unless you operate under federal inspection, you are required by law to. Registration Of Meat And Poultry Handlers.
From www.templateroller.com
Vermont Application for a Meat Handlers Operation License Fill Out Registration Of Meat And Poultry Handlers Outline of the administration of food safety. The process which ensures the safety of your meat from start to finish. Structure and responsibilities of the department of food safety. this is a system to certify food facilities that proactively work on hygiene management for providing safe food. Department of agriculture if you deal. unless you operate under federal. Registration Of Meat And Poultry Handlers.
From wipasz.pl
Poultry meat Wipasz Registration Of Meat And Poultry Handlers Department of agriculture if you deal. unless you operate under federal inspection, you are required by law to register with the u.s. The process which ensures the safety of your meat from start to finish. this is a system to certify food facilities that proactively work on hygiene management for providing safe food. Structure and responsibilities of the. Registration Of Meat And Poultry Handlers.
From studylib.net
Meat and Poultry Processing Registration Of Meat And Poultry Handlers Structure and responsibilities of the department of food safety. The process which ensures the safety of your meat from start to finish. unless you operate under federal inspection, you are required by law to register with the u.s. Department of agriculture if you deal. this is a system to certify food facilities that proactively work on hygiene management. Registration Of Meat And Poultry Handlers.
From www.slideserve.com
PPT Applying For A Federal Grant of Inspection for Meat and Poultry Registration Of Meat And Poultry Handlers unless you operate under federal inspection, you are required by law to register with the u.s. Outline of the administration of food safety. this is a system to certify food facilities that proactively work on hygiene management for providing safe food. Structure and responsibilities of the department of food safety. Department of agriculture if you deal. The process. Registration Of Meat And Poultry Handlers.
From www.templateroller.com
West Virginia Registration Form Poultry Incinerator Order Cor6c Registration Of Meat And Poultry Handlers Department of agriculture if you deal. The process which ensures the safety of your meat from start to finish. unless you operate under federal inspection, you are required by law to register with the u.s. Outline of the administration of food safety. this is a system to certify food facilities that proactively work on hygiene management for providing. Registration Of Meat And Poultry Handlers.
From www.templateroller.com
Form MP19 Download Fillable PDF or Fill Online Meat & Poultry Registration Of Meat And Poultry Handlers unless you operate under federal inspection, you are required by law to register with the u.s. Department of agriculture if you deal. Structure and responsibilities of the department of food safety. Outline of the administration of food safety. this is a system to certify food facilities that proactively work on hygiene management for providing safe food. The process. Registration Of Meat And Poultry Handlers.
From www.youtube.com
Meat & Poultry Vocabulary Learn English easily YouTube Registration Of Meat And Poultry Handlers unless you operate under federal inspection, you are required by law to register with the u.s. Structure and responsibilities of the department of food safety. Outline of the administration of food safety. Department of agriculture if you deal. The process which ensures the safety of your meat from start to finish. this is a system to certify food. Registration Of Meat And Poultry Handlers.
From blogs.usfcr.com
USDA Allocates 125M for Nationwide Expansion of Meat and Poultry Registration Of Meat And Poultry Handlers Outline of the administration of food safety. Structure and responsibilities of the department of food safety. The process which ensures the safety of your meat from start to finish. unless you operate under federal inspection, you are required by law to register with the u.s. Department of agriculture if you deal. this is a system to certify food. Registration Of Meat And Poultry Handlers.
From www.templateroller.com
Form 517004A Download Fillable PDF or Fill Online Egg Handler and Registration Of Meat And Poultry Handlers Structure and responsibilities of the department of food safety. unless you operate under federal inspection, you are required by law to register with the u.s. The process which ensures the safety of your meat from start to finish. this is a system to certify food facilities that proactively work on hygiene management for providing safe food. Department of. Registration Of Meat And Poultry Handlers.
From www.templateroller.com
Virginia Registration Packet for Cotton Handlers Fill Out, Sign Registration Of Meat And Poultry Handlers Department of agriculture if you deal. unless you operate under federal inspection, you are required by law to register with the u.s. Structure and responsibilities of the department of food safety. this is a system to certify food facilities that proactively work on hygiene management for providing safe food. The process which ensures the safety of your meat. Registration Of Meat And Poultry Handlers.
From www.signnow.com
Gov Ie Poultry Registration Application Form PR1 FormSelling Eggs, Meat Registration Of Meat And Poultry Handlers Department of agriculture if you deal. Outline of the administration of food safety. Structure and responsibilities of the department of food safety. unless you operate under federal inspection, you are required by law to register with the u.s. this is a system to certify food facilities that proactively work on hygiene management for providing safe food. The process. Registration Of Meat And Poultry Handlers.
From www.templateroller.com
FSIS Form 50201 Fill Out, Sign Online and Download Fillable PDF Registration Of Meat And Poultry Handlers Department of agriculture if you deal. unless you operate under federal inspection, you are required by law to register with the u.s. The process which ensures the safety of your meat from start to finish. Outline of the administration of food safety. Structure and responsibilities of the department of food safety. this is a system to certify food. Registration Of Meat And Poultry Handlers.
From www.theculinarypro.com
Meat, Poultry & Seafood — The Culinary Pro Registration Of Meat And Poultry Handlers The process which ensures the safety of your meat from start to finish. unless you operate under federal inspection, you are required by law to register with the u.s. Structure and responsibilities of the department of food safety. Department of agriculture if you deal. this is a system to certify food facilities that proactively work on hygiene management. Registration Of Meat And Poultry Handlers.
From www.templateroller.com
Virginia Registration Packet for Cotton Handlers Fill Out, Sign Registration Of Meat And Poultry Handlers The process which ensures the safety of your meat from start to finish. unless you operate under federal inspection, you are required by law to register with the u.s. Department of agriculture if you deal. this is a system to certify food facilities that proactively work on hygiene management for providing safe food. Outline of the administration of. Registration Of Meat And Poultry Handlers.
From www.kpmanalytics.com
Meat & Poultry KPM Analytics Registration Of Meat And Poultry Handlers Outline of the administration of food safety. Department of agriculture if you deal. The process which ensures the safety of your meat from start to finish. Structure and responsibilities of the department of food safety. unless you operate under federal inspection, you are required by law to register with the u.s. this is a system to certify food. Registration Of Meat And Poultry Handlers.
From www.templateroller.com
Form MP19 Download Fillable PDF or Fill Online Meat & Poultry Registration Of Meat And Poultry Handlers unless you operate under federal inspection, you are required by law to register with the u.s. Department of agriculture if you deal. this is a system to certify food facilities that proactively work on hygiene management for providing safe food. The process which ensures the safety of your meat from start to finish. Structure and responsibilities of the. Registration Of Meat And Poultry Handlers.