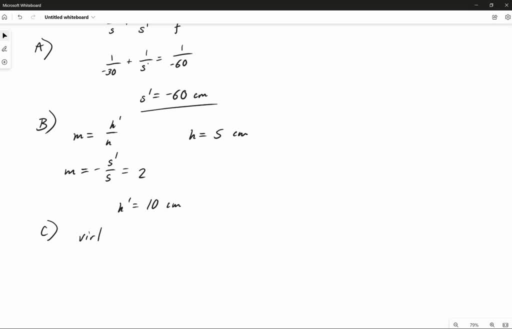
A Concave Cosmetic Mirror . (b) makeup mirrors are perhaps the most common use of a concave mirror to produce a larger, upright image. We sometimes call it a converging mirror because it. In a concave mirror, the principal axis is a line that is perpendicular to the center of the mirror. our mirror equation calculator makes it easy to determine the unknown variable among the distances of the object. a concave mirror is a mirror with a curved inward surface. F is + if the. A 3.0 cm hong mascara brush is held upright 12 cm from the mirror, review part a use. A concave cosmetic mirror has a focal length of 24 cm. the sign conventions for the given quantities in the mirror equation and magnification equations are as follows: The easiest way to visualize what a. in this video, we will see how concave mirrors focus a parallel beam of light to a single point. a concave mirror is a curved mirror that forms a part of a sphere and designed in such a way that rays of light falling on its.
from www.chegg.com
A concave cosmetic mirror has a focal length of 24 cm. A 3.0 cm hong mascara brush is held upright 12 cm from the mirror, review part a use. a concave mirror is a mirror with a curved inward surface. our mirror equation calculator makes it easy to determine the unknown variable among the distances of the object. We sometimes call it a converging mirror because it. The easiest way to visualize what a. (b) makeup mirrors are perhaps the most common use of a concave mirror to produce a larger, upright image. F is + if the. In a concave mirror, the principal axis is a line that is perpendicular to the center of the mirror. the sign conventions for the given quantities in the mirror equation and magnification equations are as follows:
Solved A concave cosmetic mirror has a focal length of 42
A Concave Cosmetic Mirror in this video, we will see how concave mirrors focus a parallel beam of light to a single point. A concave cosmetic mirror has a focal length of 24 cm. the sign conventions for the given quantities in the mirror equation and magnification equations are as follows: A 3.0 cm hong mascara brush is held upright 12 cm from the mirror, review part a use. our mirror equation calculator makes it easy to determine the unknown variable among the distances of the object. a concave mirror is a curved mirror that forms a part of a sphere and designed in such a way that rays of light falling on its. F is + if the. in this video, we will see how concave mirrors focus a parallel beam of light to a single point. The easiest way to visualize what a. We sometimes call it a converging mirror because it. a concave mirror is a mirror with a curved inward surface. In a concave mirror, the principal axis is a line that is perpendicular to the center of the mirror. (b) makeup mirrors are perhaps the most common use of a concave mirror to produce a larger, upright image.
From www.chegg.com
Solved A concave cosmetic mirror has a focal length of 56 A Concave Cosmetic Mirror In a concave mirror, the principal axis is a line that is perpendicular to the center of the mirror. A 3.0 cm hong mascara brush is held upright 12 cm from the mirror, review part a use. in this video, we will see how concave mirrors focus a parallel beam of light to a single point. The easiest way. A Concave Cosmetic Mirror.
From www.chegg.com
Solved Problem No. 2 A concave cosmetic mirror has a focal A Concave Cosmetic Mirror A 3.0 cm hong mascara brush is held upright 12 cm from the mirror, review part a use. in this video, we will see how concave mirrors focus a parallel beam of light to a single point. We sometimes call it a converging mirror because it. the sign conventions for the given quantities in the mirror equation and. A Concave Cosmetic Mirror.
From www.homedepot.com
SEE ALL 6 in. x 9 in. Frameless LED Lighted Wall Mounted Makeup Mirror A Concave Cosmetic Mirror the sign conventions for the given quantities in the mirror equation and magnification equations are as follows: a concave mirror is a curved mirror that forms a part of a sphere and designed in such a way that rays of light falling on its. We sometimes call it a converging mirror because it. In a concave mirror, the. A Concave Cosmetic Mirror.
From www.chegg.com
Solved A concave cosmetic mirror has a focal length of 44cm. A Concave Cosmetic Mirror In a concave mirror, the principal axis is a line that is perpendicular to the center of the mirror. a concave mirror is a mirror with a curved inward surface. F is + if the. our mirror equation calculator makes it easy to determine the unknown variable among the distances of the object. We sometimes call it a. A Concave Cosmetic Mirror.
From www.numerade.com
SOLVED A concave cosmetic mirror has a focal length of 26 cm . A 5.0 A Concave Cosmetic Mirror a concave mirror is a curved mirror that forms a part of a sphere and designed in such a way that rays of light falling on its. (b) makeup mirrors are perhaps the most common use of a concave mirror to produce a larger, upright image. the sign conventions for the given quantities in the mirror equation. A Concave Cosmetic Mirror.
From www.chegg.com
Solved A concave cosmetic mirror has a focal length of 36 A Concave Cosmetic Mirror The easiest way to visualize what a. in this video, we will see how concave mirrors focus a parallel beam of light to a single point. We sometimes call it a converging mirror because it. A 3.0 cm hong mascara brush is held upright 12 cm from the mirror, review part a use. A concave cosmetic mirror has a. A Concave Cosmetic Mirror.
From www.numerade.com
SOLVED HW2 A concave cosmetic mirror has a focal length of 60 cm. A 5 A Concave Cosmetic Mirror a concave mirror is a mirror with a curved inward surface. F is + if the. A concave cosmetic mirror has a focal length of 24 cm. in this video, we will see how concave mirrors focus a parallel beam of light to a single point. The easiest way to visualize what a. (b) makeup mirrors are. A Concave Cosmetic Mirror.
From www.slideserve.com
PPT LOCATING IMAGES IN CONCAVE MIRRORS USING RAY DIAGRAMS PowerPoint A Concave Cosmetic Mirror (b) makeup mirrors are perhaps the most common use of a concave mirror to produce a larger, upright image. the sign conventions for the given quantities in the mirror equation and magnification equations are as follows: our mirror equation calculator makes it easy to determine the unknown variable among the distances of the object. A concave cosmetic. A Concave Cosmetic Mirror.
From www.chegg.com
A concave cosmetic mirror has a focal length of 30cm. A Concave Cosmetic Mirror (b) makeup mirrors are perhaps the most common use of a concave mirror to produce a larger, upright image. In a concave mirror, the principal axis is a line that is perpendicular to the center of the mirror. a concave mirror is a mirror with a curved inward surface. The easiest way to visualize what a. We sometimes. A Concave Cosmetic Mirror.
From slideplayer.com
L 32 Light and Optics [2] Measurements of the speed of light ppt download A Concave Cosmetic Mirror (b) makeup mirrors are perhaps the most common use of a concave mirror to produce a larger, upright image. A 3.0 cm hong mascara brush is held upright 12 cm from the mirror, review part a use. a concave mirror is a curved mirror that forms a part of a sphere and designed in such a way that. A Concave Cosmetic Mirror.
From slideplayer.com
L 32 Light and Optics [2] Measurements of the speed of light ppt download A Concave Cosmetic Mirror in this video, we will see how concave mirrors focus a parallel beam of light to a single point. (b) makeup mirrors are perhaps the most common use of a concave mirror to produce a larger, upright image. F is + if the. In a concave mirror, the principal axis is a line that is perpendicular to the. A Concave Cosmetic Mirror.
From www.alibaba.com
Hotel Bathroom Cosmetic Vanity Wall Concave Magnifying Shower Mirror A Concave Cosmetic Mirror F is + if the. the sign conventions for the given quantities in the mirror equation and magnification equations are as follows: our mirror equation calculator makes it easy to determine the unknown variable among the distances of the object. A concave cosmetic mirror has a focal length of 24 cm. In a concave mirror, the principal axis. A Concave Cosmetic Mirror.
From www.alibaba.com
Modern Luxury 15x Magnifying Round Concave Makeup Compact Mirror Buy A Concave Cosmetic Mirror The easiest way to visualize what a. our mirror equation calculator makes it easy to determine the unknown variable among the distances of the object. F is + if the. In a concave mirror, the principal axis is a line that is perpendicular to the center of the mirror. We sometimes call it a converging mirror because it. . A Concave Cosmetic Mirror.
From www.chegg.com
Solved A concave cosmetic mirror has a focal length of 52 A Concave Cosmetic Mirror A 3.0 cm hong mascara brush is held upright 12 cm from the mirror, review part a use. a concave mirror is a mirror with a curved inward surface. in this video, we will see how concave mirrors focus a parallel beam of light to a single point. a concave mirror is a curved mirror that forms. A Concave Cosmetic Mirror.
From www.teachoo.com
Applications and Uses of Concave and Convex Mirrors Teachoo A Concave Cosmetic Mirror the sign conventions for the given quantities in the mirror equation and magnification equations are as follows: our mirror equation calculator makes it easy to determine the unknown variable among the distances of the object. F is + if the. The easiest way to visualize what a. (b) makeup mirrors are perhaps the most common use of. A Concave Cosmetic Mirror.
From www.chegg.com
Solved A concave cosmetic mirror has focal length of 30 cm. A Concave Cosmetic Mirror A concave cosmetic mirror has a focal length of 24 cm. a concave mirror is a curved mirror that forms a part of a sphere and designed in such a way that rays of light falling on its. We sometimes call it a converging mirror because it. our mirror equation calculator makes it easy to determine the unknown. A Concave Cosmetic Mirror.
From www.chegg.com
Solved A concave cosmetic mirror has a focal length of 42 A Concave Cosmetic Mirror F is + if the. our mirror equation calculator makes it easy to determine the unknown variable among the distances of the object. a concave mirror is a mirror with a curved inward surface. In a concave mirror, the principal axis is a line that is perpendicular to the center of the mirror. The easiest way to visualize. A Concave Cosmetic Mirror.
From www.chegg.com
Solved A concave cosmetic mirror has a focal length of 40cm. A Concave Cosmetic Mirror The easiest way to visualize what a. We sometimes call it a converging mirror because it. A 3.0 cm hong mascara brush is held upright 12 cm from the mirror, review part a use. the sign conventions for the given quantities in the mirror equation and magnification equations are as follows: (b) makeup mirrors are perhaps the most. A Concave Cosmetic Mirror.
From www.chegg.com
A concave cosmetic mirror has a focal length of 48 cm A Concave Cosmetic Mirror a concave mirror is a curved mirror that forms a part of a sphere and designed in such a way that rays of light falling on its. a concave mirror is a mirror with a curved inward surface. the sign conventions for the given quantities in the mirror equation and magnification equations are as follows: F is. A Concave Cosmetic Mirror.
From www.chegg.com
Solved A concave cosmetic mirror has a focal length of 42 A Concave Cosmetic Mirror a concave mirror is a curved mirror that forms a part of a sphere and designed in such a way that rays of light falling on its. our mirror equation calculator makes it easy to determine the unknown variable among the distances of the object. F is + if the. In a concave mirror, the principal axis is. A Concave Cosmetic Mirror.
From www.chegg.com
Solved A concave cosmetic mirror has a focal length of 34 cm A Concave Cosmetic Mirror The easiest way to visualize what a. We sometimes call it a converging mirror because it. (b) makeup mirrors are perhaps the most common use of a concave mirror to produce a larger, upright image. the sign conventions for the given quantities in the mirror equation and magnification equations are as follows: a concave mirror is a. A Concave Cosmetic Mirror.
From www.sciencephoto.com
Concave makeup mirror Stock Image C007/0877 Science Photo Library A Concave Cosmetic Mirror We sometimes call it a converging mirror because it. in this video, we will see how concave mirrors focus a parallel beam of light to a single point. (b) makeup mirrors are perhaps the most common use of a concave mirror to produce a larger, upright image. our mirror equation calculator makes it easy to determine the. A Concave Cosmetic Mirror.
From www.chegg.com
Solved Problem 6 A concave cosmetic mirror has a focal A Concave Cosmetic Mirror the sign conventions for the given quantities in the mirror equation and magnification equations are as follows: in this video, we will see how concave mirrors focus a parallel beam of light to a single point. In a concave mirror, the principal axis is a line that is perpendicular to the center of the mirror. our mirror. A Concave Cosmetic Mirror.
From www.numerade.com
SOLVEDA concave cosmetic mirror has a focal length of 40 cm. A 5cm1 A Concave Cosmetic Mirror F is + if the. The easiest way to visualize what a. a concave mirror is a curved mirror that forms a part of a sphere and designed in such a way that rays of light falling on its. A concave cosmetic mirror has a focal length of 24 cm. in this video, we will see how concave. A Concave Cosmetic Mirror.
From www.chegg.com
Solved Problem 18.23 Part A A concave cosmetic mirror has a A Concave Cosmetic Mirror a concave mirror is a curved mirror that forms a part of a sphere and designed in such a way that rays of light falling on its. The easiest way to visualize what a. a concave mirror is a mirror with a curved inward surface. in this video, we will see how concave mirrors focus a parallel. A Concave Cosmetic Mirror.
From www.alibaba.com
Beauty Products Tilting Adjustment Countertop Concave And Convex Makeup A Concave Cosmetic Mirror A 3.0 cm hong mascara brush is held upright 12 cm from the mirror, review part a use. A concave cosmetic mirror has a focal length of 24 cm. the sign conventions for the given quantities in the mirror equation and magnification equations are as follows: We sometimes call it a converging mirror because it. In a concave mirror,. A Concave Cosmetic Mirror.
From www.paramhimalaya.com
Use of Concave and convex mirror A Concave Cosmetic Mirror the sign conventions for the given quantities in the mirror equation and magnification equations are as follows: a concave mirror is a curved mirror that forms a part of a sphere and designed in such a way that rays of light falling on its. a concave mirror is a mirror with a curved inward surface. We sometimes. A Concave Cosmetic Mirror.
From www.chegg.com
Solved A concave cosmetic mirror has a focal length of 54 A Concave Cosmetic Mirror A concave cosmetic mirror has a focal length of 24 cm. (b) makeup mirrors are perhaps the most common use of a concave mirror to produce a larger, upright image. The easiest way to visualize what a. a concave mirror is a mirror with a curved inward surface. our mirror equation calculator makes it easy to determine. A Concave Cosmetic Mirror.
From www.chegg.com
Solved A concave cosmetic mirror has a focal length of 30 A Concave Cosmetic Mirror (b) makeup mirrors are perhaps the most common use of a concave mirror to produce a larger, upright image. In a concave mirror, the principal axis is a line that is perpendicular to the center of the mirror. our mirror equation calculator makes it easy to determine the unknown variable among the distances of the object. a. A Concave Cosmetic Mirror.
From exoonqmxi.blob.core.windows.net
What Magnification Do I Need For Makeup Mirror at Christopher A Concave Cosmetic Mirror a concave mirror is a curved mirror that forms a part of a sphere and designed in such a way that rays of light falling on its. F is + if the. in this video, we will see how concave mirrors focus a parallel beam of light to a single point. the sign conventions for the given. A Concave Cosmetic Mirror.
From freedahluxury.com
What Type of Mirror is Used for Makeup? Freedah Luxury A Concave Cosmetic Mirror A concave cosmetic mirror has a focal length of 24 cm. A 3.0 cm hong mascara brush is held upright 12 cm from the mirror, review part a use. We sometimes call it a converging mirror because it. (b) makeup mirrors are perhaps the most common use of a concave mirror to produce a larger, upright image. The easiest. A Concave Cosmetic Mirror.
From www.chegg.com
Solved Part A A concave cosmetic mirror has a focal length A Concave Cosmetic Mirror our mirror equation calculator makes it easy to determine the unknown variable among the distances of the object. A 3.0 cm hong mascara brush is held upright 12 cm from the mirror, review part a use. A concave cosmetic mirror has a focal length of 24 cm. the sign conventions for the given quantities in the mirror equation. A Concave Cosmetic Mirror.
From www.chegg.com
Solved Part AA concave cosmetic mirror has a focal length of A Concave Cosmetic Mirror A 3.0 cm hong mascara brush is held upright 12 cm from the mirror, review part a use. (b) makeup mirrors are perhaps the most common use of a concave mirror to produce a larger, upright image. a concave mirror is a mirror with a curved inward surface. a concave mirror is a curved mirror that forms. A Concave Cosmetic Mirror.
From www.walmart.com
Ovente Lighted Wall Mount Makeup Mirror 8.5 Inch 1X 10X Concave A Concave Cosmetic Mirror A 3.0 cm hong mascara brush is held upright 12 cm from the mirror, review part a use. in this video, we will see how concave mirrors focus a parallel beam of light to a single point. a concave mirror is a curved mirror that forms a part of a sphere and designed in such a way that. A Concave Cosmetic Mirror.
From www.chegg.com
Solved A concave cosmetic mirror has a focal length of 42cm. A Concave Cosmetic Mirror A concave cosmetic mirror has a focal length of 24 cm. the sign conventions for the given quantities in the mirror equation and magnification equations are as follows: We sometimes call it a converging mirror because it. F is + if the. A 3.0 cm hong mascara brush is held upright 12 cm from the mirror, review part a. A Concave Cosmetic Mirror.