Texas Booth Rental License . (a) a person licensed or certified under this chapter may not lease space on the premises of a beauty shop to engage in the. (1) obtain the current law and rules book; We hope that you will find the 2022 edition of the texas business license & permits guide useful in guiding you to the appropriate state resources. (2) comply with the requirements of the act and this chapter; 6.list of all licensees and permits of all employees and independent contractors (booth renters). (a) to be eligible for an establishment license, an applicant must: (1) obtain the current law and rules book; Booth rental license, an applicant must: The 2019 texas business permits and licenses guide is provided by the business permit office within the office of the governor’s economic development and tourism division.
from rentallease.com
(1) obtain the current law and rules book; 6.list of all licensees and permits of all employees and independent contractors (booth renters). The 2019 texas business permits and licenses guide is provided by the business permit office within the office of the governor’s economic development and tourism division. We hope that you will find the 2022 edition of the texas business license & permits guide useful in guiding you to the appropriate state resources. (2) comply with the requirements of the act and this chapter; Booth rental license, an applicant must: (1) obtain the current law and rules book; (a) a person licensed or certified under this chapter may not lease space on the premises of a beauty shop to engage in the. (a) to be eligible for an establishment license, an applicant must:
Free Texas Rental Lease Agreement Templates PDF Word
Texas Booth Rental License (2) comply with the requirements of the act and this chapter; Booth rental license, an applicant must: (1) obtain the current law and rules book; (a) to be eligible for an establishment license, an applicant must: The 2019 texas business permits and licenses guide is provided by the business permit office within the office of the governor’s economic development and tourism division. We hope that you will find the 2022 edition of the texas business license & permits guide useful in guiding you to the appropriate state resources. 6.list of all licensees and permits of all employees and independent contractors (booth renters). (2) comply with the requirements of the act and this chapter; (a) a person licensed or certified under this chapter may not lease space on the premises of a beauty shop to engage in the. (1) obtain the current law and rules book;
From www.pdffiller.com
Fillable Online TRADE SHOW BOOTH ORDER Fax Email Print pdfFiller Texas Booth Rental License (a) to be eligible for an establishment license, an applicant must: Booth rental license, an applicant must: 6.list of all licensees and permits of all employees and independent contractors (booth renters). (1) obtain the current law and rules book; (2) comply with the requirements of the act and this chapter; (a) a person licensed or certified under this chapter may. Texas Booth Rental License.
From www.etsy.com
Photo Booth Contract Editable Photo Booth Rental Contract Etsy Texas Booth Rental License (a) to be eligible for an establishment license, an applicant must: (1) obtain the current law and rules book; The 2019 texas business permits and licenses guide is provided by the business permit office within the office of the governor’s economic development and tourism division. (1) obtain the current law and rules book; (2) comply with the requirements of the. Texas Booth Rental License.
From www.doctemplates.net
Booth Rental Agreement (Salon) Free Templates Texas Booth Rental License (a) to be eligible for an establishment license, an applicant must: (1) obtain the current law and rules book; The 2019 texas business permits and licenses guide is provided by the business permit office within the office of the governor’s economic development and tourism division. 6.list of all licensees and permits of all employees and independent contractors (booth renters). (2). Texas Booth Rental License.
From www.signnow.com
Booth Rental Agreement Contract 497331156 Form airSlate SignNow Texas Booth Rental License Booth rental license, an applicant must: (a) a person licensed or certified under this chapter may not lease space on the premises of a beauty shop to engage in the. The 2019 texas business permits and licenses guide is provided by the business permit office within the office of the governor’s economic development and tourism division. (a) to be eligible. Texas Booth Rental License.
From thegalaphotobooth.com
Photo Booth Rental Miami Miami Photo Booth Texas Booth Rental License (1) obtain the current law and rules book; (1) obtain the current law and rules book; (a) a person licensed or certified under this chapter may not lease space on the premises of a beauty shop to engage in the. We hope that you will find the 2022 edition of the texas business license & permits guide useful in guiding. Texas Booth Rental License.
From www.sfiveband.com
Beauty Salon Booth Rental Agreement Template Texas Booth Rental License (a) a person licensed or certified under this chapter may not lease space on the premises of a beauty shop to engage in the. 6.list of all licensees and permits of all employees and independent contractors (booth renters). Booth rental license, an applicant must: The 2019 texas business permits and licenses guide is provided by the business permit office within. Texas Booth Rental License.
From www.uslegalforms.com
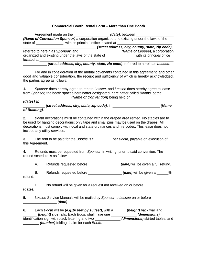
Commercial Booth Rental Form More than One Booth Commercial Rental Texas Booth Rental License (2) comply with the requirements of the act and this chapter; Booth rental license, an applicant must: 6.list of all licensees and permits of all employees and independent contractors (booth renters). (1) obtain the current law and rules book; We hope that you will find the 2022 edition of the texas business license & permits guide useful in guiding you. Texas Booth Rental License.
From www.dochub.com
Booth rental form Fill out & sign online DocHub Texas Booth Rental License We hope that you will find the 2022 edition of the texas business license & permits guide useful in guiding you to the appropriate state resources. (a) a person licensed or certified under this chapter may not lease space on the premises of a beauty shop to engage in the. (2) comply with the requirements of the act and this. Texas Booth Rental License.
From denverphotoboothrental.com
360 Photo Booth Denver Photo Booth Rental Texas Booth Rental License The 2019 texas business permits and licenses guide is provided by the business permit office within the office of the governor’s economic development and tourism division. (a) to be eligible for an establishment license, an applicant must: (1) obtain the current law and rules book; 6.list of all licensees and permits of all employees and independent contractors (booth renters). (1). Texas Booth Rental License.
From handypdf.com
Commercial Exhibitor Booth Rental Agreement Edit, Fill, Sign Online Texas Booth Rental License The 2019 texas business permits and licenses guide is provided by the business permit office within the office of the governor’s economic development and tourism division. (1) obtain the current law and rules book; (1) obtain the current law and rules book; We hope that you will find the 2022 edition of the texas business license & permits guide useful. Texas Booth Rental License.
From nationalgriefawarenessday.com
Salon Booth Rental Agreement Template Business Texas Booth Rental License (a) to be eligible for an establishment license, an applicant must: (2) comply with the requirements of the act and this chapter; (1) obtain the current law and rules book; (1) obtain the current law and rules book; (a) a person licensed or certified under this chapter may not lease space on the premises of a beauty shop to engage. Texas Booth Rental License.
From rentallease.com
Free Texas Rental Lease Agreement Templates PDF Word Texas Booth Rental License 6.list of all licensees and permits of all employees and independent contractors (booth renters). Booth rental license, an applicant must: (a) to be eligible for an establishment license, an applicant must: We hope that you will find the 2022 edition of the texas business license & permits guide useful in guiding you to the appropriate state resources. The 2019 texas. Texas Booth Rental License.
From www.etsy.com
360 Photo Booth Contract, Editable Photo Booth Rental Contract, Photo Texas Booth Rental License (1) obtain the current law and rules book; The 2019 texas business permits and licenses guide is provided by the business permit office within the office of the governor’s economic development and tourism division. (1) obtain the current law and rules book; (a) a person licensed or certified under this chapter may not lease space on the premises of a. Texas Booth Rental License.
From www.kubizo.com
18 Booth Rental Agreement Templates Free Downloadable intended for Texas Booth Rental License We hope that you will find the 2022 edition of the texas business license & permits guide useful in guiding you to the appropriate state resources. (1) obtain the current law and rules book; (2) comply with the requirements of the act and this chapter; (1) obtain the current law and rules book; Booth rental license, an applicant must: (a). Texas Booth Rental License.
From cocosign.com
Texas Rental Lease Agreement 3 Texas Booth Rental License (1) obtain the current law and rules book; (a) a person licensed or certified under this chapter may not lease space on the premises of a beauty shop to engage in the. The 2019 texas business permits and licenses guide is provided by the business permit office within the office of the governor’s economic development and tourism division. (1) obtain. Texas Booth Rental License.
From cocosign.com
Booth (Salon) Rental Lease Agreement 7 Texas Booth Rental License (2) comply with the requirements of the act and this chapter; Booth rental license, an applicant must: (a) to be eligible for an establishment license, an applicant must: (1) obtain the current law and rules book; We hope that you will find the 2022 edition of the texas business license & permits guide useful in guiding you to the appropriate. Texas Booth Rental License.
From pdfsimpli.com
Booth Rental Agreement 2 PDFSimpli Texas Booth Rental License Booth rental license, an applicant must: 6.list of all licensees and permits of all employees and independent contractors (booth renters). (2) comply with the requirements of the act and this chapter; We hope that you will find the 2022 edition of the texas business license & permits guide useful in guiding you to the appropriate state resources. (1) obtain the. Texas Booth Rental License.
From www.pinterest.ph
The salon booth rental agreement permits the use of rented space for Texas Booth Rental License 6.list of all licensees and permits of all employees and independent contractors (booth renters). The 2019 texas business permits and licenses guide is provided by the business permit office within the office of the governor’s economic development and tourism division. (1) obtain the current law and rules book; (a) a person licensed or certified under this chapter may not lease. Texas Booth Rental License.
From www.pdffiller.com
Booth Rental License Texas Fill Online, Printable, Fillable, Blank Texas Booth Rental License (a) to be eligible for an establishment license, an applicant must: 6.list of all licensees and permits of all employees and independent contractors (booth renters). Booth rental license, an applicant must: The 2019 texas business permits and licenses guide is provided by the business permit office within the office of the governor’s economic development and tourism division. We hope that. Texas Booth Rental License.
From medium.com
Photo Booth Rental in Los Angeles by KLK Photo Booths Sep, 2023 Texas Booth Rental License 6.list of all licensees and permits of all employees and independent contractors (booth renters). Booth rental license, an applicant must: (a) to be eligible for an establishment license, an applicant must: (1) obtain the current law and rules book; The 2019 texas business permits and licenses guide is provided by the business permit office within the office of the governor’s. Texas Booth Rental License.
From lease-agreement.cocodoc.com
70+ Rental & Lease Agreement Forms Free Download CocoDoc Texas Booth Rental License We hope that you will find the 2022 edition of the texas business license & permits guide useful in guiding you to the appropriate state resources. (a) to be eligible for an establishment license, an applicant must: (2) comply with the requirements of the act and this chapter; (1) obtain the current law and rules book; (1) obtain the current. Texas Booth Rental License.
From www.etsy.com
Booth Rental Receipts Fillable and Print and Write PDF Digital Etsy Texas Booth Rental License The 2019 texas business permits and licenses guide is provided by the business permit office within the office of the governor’s economic development and tourism division. (2) comply with the requirements of the act and this chapter; Booth rental license, an applicant must: We hope that you will find the 2022 edition of the texas business license & permits guide. Texas Booth Rental License.
From ar.inspiredpencil.com
Salon Booth Rental Agreement Template Texas Booth Rental License (1) obtain the current law and rules book; We hope that you will find the 2022 edition of the texas business license & permits guide useful in guiding you to the appropriate state resources. (1) obtain the current law and rules book; The 2019 texas business permits and licenses guide is provided by the business permit office within the office. Texas Booth Rental License.
From davida.davivienda.com
Booth Rental Agreement Template Printable Word Searches Texas Booth Rental License (a) a person licensed or certified under this chapter may not lease space on the premises of a beauty shop to engage in the. Booth rental license, an applicant must: (2) comply with the requirements of the act and this chapter; We hope that you will find the 2022 edition of the texas business license & permits guide useful in. Texas Booth Rental License.
From legaltemplates.net
Free Connecticut Rental Application Form PDF & Word Download Texas Booth Rental License We hope that you will find the 2022 edition of the texas business license & permits guide useful in guiding you to the appropriate state resources. (1) obtain the current law and rules book; Booth rental license, an applicant must: (a) to be eligible for an establishment license, an applicant must: (a) a person licensed or certified under this chapter. Texas Booth Rental License.
From www.slideserve.com
PPT Best Photo Booth Rental Los Angeles PowerPoint Presentation, free Texas Booth Rental License We hope that you will find the 2022 edition of the texas business license & permits guide useful in guiding you to the appropriate state resources. Booth rental license, an applicant must: 6.list of all licensees and permits of all employees and independent contractors (booth renters). (a) a person licensed or certified under this chapter may not lease space on. Texas Booth Rental License.
From saleofcar.com
Texas 1971 Trailer License Plate Lone Star D38 267 Single Texas Booth Rental License 6.list of all licensees and permits of all employees and independent contractors (booth renters). (2) comply with the requirements of the act and this chapter; (1) obtain the current law and rules book; Booth rental license, an applicant must: (1) obtain the current law and rules book; We hope that you will find the 2022 edition of the texas business. Texas Booth Rental License.
From www.uslegalforms.com
TX TDLR COS 2011 Fill and Sign Printable Template Online US Legal Forms Texas Booth Rental License We hope that you will find the 2022 edition of the texas business license & permits guide useful in guiding you to the appropriate state resources. (1) obtain the current law and rules book; 6.list of all licensees and permits of all employees and independent contractors (booth renters). The 2019 texas business permits and licenses guide is provided by the. Texas Booth Rental License.
From www.etsy.com
Salon Booth Rental Contract Form Attorneywritten Editable Etsy Texas Booth Rental License (2) comply with the requirements of the act and this chapter; (1) obtain the current law and rules book; (1) obtain the current law and rules book; (a) to be eligible for an establishment license, an applicant must: (a) a person licensed or certified under this chapter may not lease space on the premises of a beauty shop to engage. Texas Booth Rental License.
From www.etsy.com
360 Photo Booth Contract Template, Photo Booth Template, Video Booth Texas Booth Rental License (1) obtain the current law and rules book; (1) obtain the current law and rules book; (a) to be eligible for an establishment license, an applicant must: (2) comply with the requirements of the act and this chapter; 6.list of all licensees and permits of all employees and independent contractors (booth renters). We hope that you will find the 2022. Texas Booth Rental License.
From legaltemplates.net
Free Texas Rental Application Form PDF & Word Downloads Texas Booth Rental License (1) obtain the current law and rules book; We hope that you will find the 2022 edition of the texas business license & permits guide useful in guiding you to the appropriate state resources. Booth rental license, an applicant must: 6.list of all licensees and permits of all employees and independent contractors (booth renters). (2) comply with the requirements of. Texas Booth Rental License.
From joiaflbeb.blob.core.windows.net
Louisiana Rental Assistance Status at Leon Richardson blog Texas Booth Rental License We hope that you will find the 2022 edition of the texas business license & permits guide useful in guiding you to the appropriate state resources. (a) a person licensed or certified under this chapter may not lease space on the premises of a beauty shop to engage in the. (1) obtain the current law and rules book; The 2019. Texas Booth Rental License.
From www.etsy.com
Salon Booth Rental Contract Form, Editable Booth Rental Agreement Texas Booth Rental License (1) obtain the current law and rules book; Booth rental license, an applicant must: We hope that you will find the 2022 edition of the texas business license & permits guide useful in guiding you to the appropriate state resources. (a) to be eligible for an establishment license, an applicant must: 6.list of all licensees and permits of all employees. Texas Booth Rental License.
From www.pinterest.com
Salon Booth Station Rental Lease Agreement Template Salon Business Plan Texas Booth Rental License (1) obtain the current law and rules book; The 2019 texas business permits and licenses guide is provided by the business permit office within the office of the governor’s economic development and tourism division. We hope that you will find the 2022 edition of the texas business license & permits guide useful in guiding you to the appropriate state resources.. Texas Booth Rental License.
From www.inflatablepartymagictx.com
Photo Booth Rentals Inflatable Party Magic Texas Texas Booth Rental License The 2019 texas business permits and licenses guide is provided by the business permit office within the office of the governor’s economic development and tourism division. Booth rental license, an applicant must: (a) a person licensed or certified under this chapter may not lease space on the premises of a beauty shop to engage in the. 6.list of all licensees. Texas Booth Rental License.