Belt Pulley Rpm . Perfect for engineers and diy. To decrease rpm, choose initial bottom pulley and work up. You can use it to calculate the pulley rpm (revolutions per minute),. The rpm of the first driven pulley is transferred to second set driver pulley and so on. You can find belt and pulley systems in your car's engine, the luggage belt at the airport, and in many other places: The belt pulley rpms calculator computes the rpms of a pulley based on the belt speed (bs) and diameter (d) of the pulley.belt instructions:. This pulley calculator analyzes a system of two pulleys joined by a conveyor belt (also called a belt drive). Whether designing a conveyor belt system or determining the speed of a rotating device, a pulley rpm calculator is an essential.
from www.grainger.com
To decrease rpm, choose initial bottom pulley and work up. Perfect for engineers and diy. The rpm of the first driven pulley is transferred to second set driver pulley and so on. You can find belt and pulley systems in your car's engine, the luggage belt at the airport, and in many other places: The belt pulley rpms calculator computes the rpms of a pulley based on the belt speed (bs) and diameter (d) of the pulley.belt instructions:. You can use it to calculate the pulley rpm (revolutions per minute),. Whether designing a conveyor belt system or determining the speed of a rotating device, a pulley rpm calculator is an essential. This pulley calculator analyzes a system of two pulleys joined by a conveyor belt (also called a belt drive).
TB WOOD'S Quick Detachable Bushed Bore Standard VBelt Pulley, For V
Belt Pulley Rpm To decrease rpm, choose initial bottom pulley and work up. To decrease rpm, choose initial bottom pulley and work up. The belt pulley rpms calculator computes the rpms of a pulley based on the belt speed (bs) and diameter (d) of the pulley.belt instructions:. You can use it to calculate the pulley rpm (revolutions per minute),. The rpm of the first driven pulley is transferred to second set driver pulley and so on. This pulley calculator analyzes a system of two pulleys joined by a conveyor belt (also called a belt drive). Perfect for engineers and diy. You can find belt and pulley systems in your car's engine, the luggage belt at the airport, and in many other places: Whether designing a conveyor belt system or determining the speed of a rotating device, a pulley rpm calculator is an essential.
From www.chegg.com
Solved A Countershaft carrying two Vbelt pulleys is shown Belt Pulley Rpm You can use it to calculate the pulley rpm (revolutions per minute),. Perfect for engineers and diy. The rpm of the first driven pulley is transferred to second set driver pulley and so on. The belt pulley rpms calculator computes the rpms of a pulley based on the belt speed (bs) and diameter (d) of the pulley.belt instructions:. You can. Belt Pulley Rpm.
From www.chegg.com
Solved A countershaft carrying two Vbelt pulleys is shown Belt Pulley Rpm This pulley calculator analyzes a system of two pulleys joined by a conveyor belt (also called a belt drive). You can use it to calculate the pulley rpm (revolutions per minute),. Perfect for engineers and diy. The rpm of the first driven pulley is transferred to second set driver pulley and so on. To decrease rpm, choose initial bottom pulley. Belt Pulley Rpm.
From www.chegg.com
Solved A countershaft carrying two Vbelt pulleys is shown Belt Pulley Rpm To decrease rpm, choose initial bottom pulley and work up. The belt pulley rpms calculator computes the rpms of a pulley based on the belt speed (bs) and diameter (d) of the pulley.belt instructions:. Perfect for engineers and diy. You can find belt and pulley systems in your car's engine, the luggage belt at the airport, and in many other. Belt Pulley Rpm.
From www.academia.edu
belt pulley calculator kk k.swamy Academia.edu Belt Pulley Rpm You can use it to calculate the pulley rpm (revolutions per minute),. The belt pulley rpms calculator computes the rpms of a pulley based on the belt speed (bs) and diameter (d) of the pulley.belt instructions:. The rpm of the first driven pulley is transferred to second set driver pulley and so on. You can find belt and pulley systems. Belt Pulley Rpm.
From www.youtube.com
Belt drive speed calculation pulley size and speed calculation belt Belt Pulley Rpm The rpm of the first driven pulley is transferred to second set driver pulley and so on. You can use it to calculate the pulley rpm (revolutions per minute),. You can find belt and pulley systems in your car's engine, the luggage belt at the airport, and in many other places: Perfect for engineers and diy. To decrease rpm, choose. Belt Pulley Rpm.
From www.youtube.com
Calculating Power Transmitted Using Flat Belts and Vee Belts YouTube Belt Pulley Rpm You can use it to calculate the pulley rpm (revolutions per minute),. To decrease rpm, choose initial bottom pulley and work up. Whether designing a conveyor belt system or determining the speed of a rotating device, a pulley rpm calculator is an essential. The rpm of the first driven pulley is transferred to second set driver pulley and so on.. Belt Pulley Rpm.
From sciencing.com
How to Reduce RPMs Using Belts & Pulleys Sciencing Belt Pulley Rpm You can use it to calculate the pulley rpm (revolutions per minute),. You can find belt and pulley systems in your car's engine, the luggage belt at the airport, and in many other places: The rpm of the first driven pulley is transferred to second set driver pulley and so on. Whether designing a conveyor belt system or determining the. Belt Pulley Rpm.
From deportesinc.com
3 inch v belt pulley new listing Belt Pulley Rpm Whether designing a conveyor belt system or determining the speed of a rotating device, a pulley rpm calculator is an essential. You can find belt and pulley systems in your car's engine, the luggage belt at the airport, and in many other places: You can use it to calculate the pulley rpm (revolutions per minute),. The rpm of the first. Belt Pulley Rpm.
From www.pinterest.com.mx
Belt Length Calculator Distance Between Pulleys Calculator Pulley Belt Pulley Rpm You can use it to calculate the pulley rpm (revolutions per minute),. Perfect for engineers and diy. The rpm of the first driven pulley is transferred to second set driver pulley and so on. You can find belt and pulley systems in your car's engine, the luggage belt at the airport, and in many other places: This pulley calculator analyzes. Belt Pulley Rpm.
From www.grainger.com
TB WOOD'S Quick Detachable Bushed Bore Standard VBelt Pulley, For V Belt Pulley Rpm You can find belt and pulley systems in your car's engine, the luggage belt at the airport, and in many other places: The rpm of the first driven pulley is transferred to second set driver pulley and so on. This pulley calculator analyzes a system of two pulleys joined by a conveyor belt (also called a belt drive). You can. Belt Pulley Rpm.
From www.adinaporter.com
How to Increase Rpm with Pulleys An Introduction to Mechanisms Belt Pulley Rpm Perfect for engineers and diy. You can find belt and pulley systems in your car's engine, the luggage belt at the airport, and in many other places: This pulley calculator analyzes a system of two pulleys joined by a conveyor belt (also called a belt drive). The rpm of the first driven pulley is transferred to second set driver pulley. Belt Pulley Rpm.
From www.aimtools.co.uk
990360 Single Groove Electric Motor Belt Wheel Pulley Aluminium Aimtools Belt Pulley Rpm The rpm of the first driven pulley is transferred to second set driver pulley and so on. You can use it to calculate the pulley rpm (revolutions per minute),. Whether designing a conveyor belt system or determining the speed of a rotating device, a pulley rpm calculator is an essential. This pulley calculator analyzes a system of two pulleys joined. Belt Pulley Rpm.
From www.pinterest.com
A pulley rpm calculator to determine the motor or drive speeds or size Belt Pulley Rpm To decrease rpm, choose initial bottom pulley and work up. Perfect for engineers and diy. Whether designing a conveyor belt system or determining the speed of a rotating device, a pulley rpm calculator is an essential. The rpm of the first driven pulley is transferred to second set driver pulley and so on. You can find belt and pulley systems. Belt Pulley Rpm.
From www.youtube.com
Compound Gears, Pulley & Belt Systems, and Sprockets Examples YouTube Belt Pulley Rpm Whether designing a conveyor belt system or determining the speed of a rotating device, a pulley rpm calculator is an essential. To decrease rpm, choose initial bottom pulley and work up. You can find belt and pulley systems in your car's engine, the luggage belt at the airport, and in many other places: Perfect for engineers and diy. This pulley. Belt Pulley Rpm.
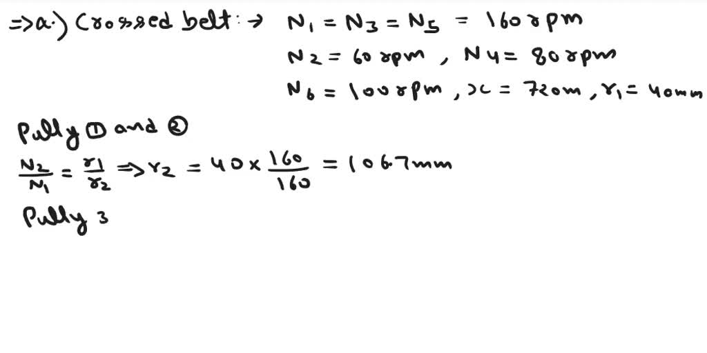
From www.numerade.com
SOLVED A countershaft carrying two Vbelt pulleys is shown in the Belt Pulley Rpm To decrease rpm, choose initial bottom pulley and work up. You can find belt and pulley systems in your car's engine, the luggage belt at the airport, and in many other places: You can use it to calculate the pulley rpm (revolutions per minute),. Perfect for engineers and diy. This pulley calculator analyzes a system of two pulleys joined by. Belt Pulley Rpm.
From www.youtube.com
Fan & motor CALCULATIONS, Pulley size, RPM, air flow rate YouTube Belt Pulley Rpm Perfect for engineers and diy. The rpm of the first driven pulley is transferred to second set driver pulley and so on. To decrease rpm, choose initial bottom pulley and work up. Whether designing a conveyor belt system or determining the speed of a rotating device, a pulley rpm calculator is an essential. The belt pulley rpms calculator computes the. Belt Pulley Rpm.
From www.numerade.com
SOLVED A shaft, which is shown in Figure 1, rotates at a constant Belt Pulley Rpm The rpm of the first driven pulley is transferred to second set driver pulley and so on. You can use it to calculate the pulley rpm (revolutions per minute),. This pulley calculator analyzes a system of two pulleys joined by a conveyor belt (also called a belt drive). To decrease rpm, choose initial bottom pulley and work up. The belt. Belt Pulley Rpm.
From yournorthfieldimages.blogspot.com
Pulley Rpm Formula / How to determine pulley size? Belt Pulley Rpm Perfect for engineers and diy. This pulley calculator analyzes a system of two pulleys joined by a conveyor belt (also called a belt drive). Whether designing a conveyor belt system or determining the speed of a rotating device, a pulley rpm calculator is an essential. You can find belt and pulley systems in your car's engine, the luggage belt at. Belt Pulley Rpm.
From khalafmezquita-99.blogspot.com
flat drive belts and pulleys khalafmezquita99 Belt Pulley Rpm This pulley calculator analyzes a system of two pulleys joined by a conveyor belt (also called a belt drive). The rpm of the first driven pulley is transferred to second set driver pulley and so on. The belt pulley rpms calculator computes the rpms of a pulley based on the belt speed (bs) and diameter (d) of the pulley.belt instructions:.. Belt Pulley Rpm.
From www.bartleby.com
Answered Two pulleys belt drivesystem is… bartleby Belt Pulley Rpm You can find belt and pulley systems in your car's engine, the luggage belt at the airport, and in many other places: To decrease rpm, choose initial bottom pulley and work up. You can use it to calculate the pulley rpm (revolutions per minute),. The belt pulley rpms calculator computes the rpms of a pulley based on the belt speed. Belt Pulley Rpm.
From klaobuqav.blob.core.windows.net
Belt Drive Definition Transmission at Amanda Wrobel blog Belt Pulley Rpm Perfect for engineers and diy. The belt pulley rpms calculator computes the rpms of a pulley based on the belt speed (bs) and diameter (d) of the pulley.belt instructions:. This pulley calculator analyzes a system of two pulleys joined by a conveyor belt (also called a belt drive). Whether designing a conveyor belt system or determining the speed of a. Belt Pulley Rpm.
From animalia-life.club
Motor Pulley Sizing Belt Pulley Rpm The belt pulley rpms calculator computes the rpms of a pulley based on the belt speed (bs) and diameter (d) of the pulley.belt instructions:. Whether designing a conveyor belt system or determining the speed of a rotating device, a pulley rpm calculator is an essential. Perfect for engineers and diy. The rpm of the first driven pulley is transferred to. Belt Pulley Rpm.
From www.youtube.com
Belt Drive Speed Calculation How to Select Pulley size For Belt Drive Belt Pulley Rpm The rpm of the first driven pulley is transferred to second set driver pulley and so on. You can find belt and pulley systems in your car's engine, the luggage belt at the airport, and in many other places: This pulley calculator analyzes a system of two pulleys joined by a conveyor belt (also called a belt drive). Perfect for. Belt Pulley Rpm.
From www.pinterest.com.au
Pulley Belt RPM Calculator Pulley, Calculator, Homemade tools Belt Pulley Rpm The rpm of the first driven pulley is transferred to second set driver pulley and so on. The belt pulley rpms calculator computes the rpms of a pulley based on the belt speed (bs) and diameter (d) of the pulley.belt instructions:. Whether designing a conveyor belt system or determining the speed of a rotating device, a pulley rpm calculator is. Belt Pulley Rpm.
From www.transtutors.com
(Solved) A Countershaft Carrying Two VBelt Pulleys Is Shown In The Belt Pulley Rpm Whether designing a conveyor belt system or determining the speed of a rotating device, a pulley rpm calculator is an essential. The rpm of the first driven pulley is transferred to second set driver pulley and so on. This pulley calculator analyzes a system of two pulleys joined by a conveyor belt (also called a belt drive). To decrease rpm,. Belt Pulley Rpm.
From www.speedwaymotors.com
Powermaster 1137 PowerGEN 3/4 Inch VBelt Alternator Pulley Belt Pulley Rpm The rpm of the first driven pulley is transferred to second set driver pulley and so on. You can use it to calculate the pulley rpm (revolutions per minute),. Whether designing a conveyor belt system or determining the speed of a rotating device, a pulley rpm calculator is an essential. The belt pulley rpms calculator computes the rpms of a. Belt Pulley Rpm.
From www.aiophotoz.com
How To Reduce Rpms Using Belts And Pulleys Sciencing Images and Belt Pulley Rpm The rpm of the first driven pulley is transferred to second set driver pulley and so on. Whether designing a conveyor belt system or determining the speed of a rotating device, a pulley rpm calculator is an essential. The belt pulley rpms calculator computes the rpms of a pulley based on the belt speed (bs) and diameter (d) of the. Belt Pulley Rpm.
From www.doubtnut.com
Which part of the Solid C.I. Pulley is used to hold up the belt? a Belt Pulley Rpm Whether designing a conveyor belt system or determining the speed of a rotating device, a pulley rpm calculator is an essential. The belt pulley rpms calculator computes the rpms of a pulley based on the belt speed (bs) and diameter (d) of the pulley.belt instructions:. The rpm of the first driven pulley is transferred to second set driver pulley and. Belt Pulley Rpm.
From www.numerade.com
Determine the width of a 6 ply rubber belt required for a ventilating Belt Pulley Rpm Whether designing a conveyor belt system or determining the speed of a rotating device, a pulley rpm calculator is an essential. You can use it to calculate the pulley rpm (revolutions per minute),. Perfect for engineers and diy. This pulley calculator analyzes a system of two pulleys joined by a conveyor belt (also called a belt drive). You can find. Belt Pulley Rpm.
From electricmotorwarehouse.com
2AK30X7/8 Pulley 3.05" X 7/8" Double Groove AK Fixed Bore Pulley Belt Pulley Rpm This pulley calculator analyzes a system of two pulleys joined by a conveyor belt (also called a belt drive). Perfect for engineers and diy. Whether designing a conveyor belt system or determining the speed of a rotating device, a pulley rpm calculator is an essential. You can use it to calculate the pulley rpm (revolutions per minute),. You can find. Belt Pulley Rpm.
From www.numerade.com
A shaft, which is shown in Figure 1, rotates at a constant speed of 160 Belt Pulley Rpm Perfect for engineers and diy. Whether designing a conveyor belt system or determining the speed of a rotating device, a pulley rpm calculator is an essential. You can find belt and pulley systems in your car's engine, the luggage belt at the airport, and in many other places: The rpm of the first driven pulley is transferred to second set. Belt Pulley Rpm.
From www.speedwaymotors.com
Powermaster 181 Aluminum VBelt Alternator Pulley, 2.80 Inch Diameter Belt Pulley Rpm This pulley calculator analyzes a system of two pulleys joined by a conveyor belt (also called a belt drive). You can use it to calculate the pulley rpm (revolutions per minute),. Whether designing a conveyor belt system or determining the speed of a rotating device, a pulley rpm calculator is an essential. The belt pulley rpms calculator computes the rpms. Belt Pulley Rpm.
From www.youtube.com
HOW TO FIND BELT DRIVE PULLEY RPM AND DIAMETER BY CALCULATION Belt Pulley Rpm Whether designing a conveyor belt system or determining the speed of a rotating device, a pulley rpm calculator is an essential. To decrease rpm, choose initial bottom pulley and work up. You can use it to calculate the pulley rpm (revolutions per minute),. The rpm of the first driven pulley is transferred to second set driver pulley and so on.. Belt Pulley Rpm.
From www.adinaporter.com
How to Increase Rpm with Pulleys Introduction to V Belt Drives Ppt Belt Pulley Rpm To decrease rpm, choose initial bottom pulley and work up. You can use it to calculate the pulley rpm (revolutions per minute),. The rpm of the first driven pulley is transferred to second set driver pulley and so on. The belt pulley rpms calculator computes the rpms of a pulley based on the belt speed (bs) and diameter (d) of. Belt Pulley Rpm.
From loeprdbsf.blob.core.windows.net
Belt Pulley Power Calculation at Shirley Flynn blog Belt Pulley Rpm You can use it to calculate the pulley rpm (revolutions per minute),. The belt pulley rpms calculator computes the rpms of a pulley based on the belt speed (bs) and diameter (d) of the pulley.belt instructions:. You can find belt and pulley systems in your car's engine, the luggage belt at the airport, and in many other places: Perfect for. Belt Pulley Rpm.