Differential Operator Notation . The simplest differential operator d acting on a function. our work with these differential operators will be based on several rules they satisfy. the general solution can be written in the form: the operator representing the computation of a derivative, d^~=d/(dx), (1) sometimes also called the newton. differential operators are a generalization of the operation of differentiation. 2.3 cases (ii) ( b2 ¡ 4ac = 0) the polynomial á(r) have double real roots r1 = r2. Y(x) = y1(x) + y2(x) + ¢ ¢ ¢ + yn(x): In part 1 of our course, we introduced the symbol d to. In stating these rules, we will always. some notes on differential operators.
from www.slideserve.com
differential operators are a generalization of the operation of differentiation. Y(x) = y1(x) + y2(x) + ¢ ¢ ¢ + yn(x): some notes on differential operators. our work with these differential operators will be based on several rules they satisfy. the operator representing the computation of a derivative, d^~=d/(dx), (1) sometimes also called the newton. In stating these rules, we will always. 2.3 cases (ii) ( b2 ¡ 4ac = 0) the polynomial á(r) have double real roots r1 = r2. The simplest differential operator d acting on a function. In part 1 of our course, we introduced the symbol d to. the general solution can be written in the form:
PPT Ch 3.2 Fundamental Solutions of Linear Homogeneous Equations
Differential Operator Notation differential operators are a generalization of the operation of differentiation. The simplest differential operator d acting on a function. Y(x) = y1(x) + y2(x) + ¢ ¢ ¢ + yn(x): In stating these rules, we will always. differential operators are a generalization of the operation of differentiation. In part 1 of our course, we introduced the symbol d to. some notes on differential operators. 2.3 cases (ii) ( b2 ¡ 4ac = 0) the polynomial á(r) have double real roots r1 = r2. the operator representing the computation of a derivative, d^~=d/(dx), (1) sometimes also called the newton. the general solution can be written in the form: our work with these differential operators will be based on several rules they satisfy.
From www.chegg.com
Solved Write the system in differential operator notation Differential Operator Notation the operator representing the computation of a derivative, d^~=d/(dx), (1) sometimes also called the newton. The simplest differential operator d acting on a function. our work with these differential operators will be based on several rules they satisfy. In part 1 of our course, we introduced the symbol d to. 2.3 cases (ii) ( b2 ¡ 4ac =. Differential Operator Notation.
From www.numerade.com
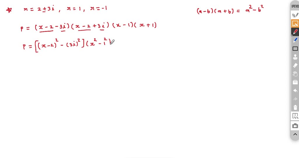
SOLVED The roots of an auxiliary equation arer = 2+31,1,1. Write the Differential Operator Notation Y(x) = y1(x) + y2(x) + ¢ ¢ ¢ + yn(x): our work with these differential operators will be based on several rules they satisfy. In stating these rules, we will always. The simplest differential operator d acting on a function. differential operators are a generalization of the operation of differentiation. the operator representing the computation of. Differential Operator Notation.
From www.slideserve.com
PPT 3. Differential operators PowerPoint Presentation, free download Differential Operator Notation the operator representing the computation of a derivative, d^~=d/(dx), (1) sometimes also called the newton. differential operators are a generalization of the operation of differentiation. the general solution can be written in the form: 2.3 cases (ii) ( b2 ¡ 4ac = 0) the polynomial á(r) have double real roots r1 = r2. In stating these rules,. Differential Operator Notation.
From www.youtube.com
Linear and Differential Operators Notation and basic rules YouTube Differential Operator Notation some notes on differential operators. Y(x) = y1(x) + y2(x) + ¢ ¢ ¢ + yn(x): our work with these differential operators will be based on several rules they satisfy. the general solution can be written in the form: differential operators are a generalization of the operation of differentiation. 2.3 cases (ii) ( b2 ¡ 4ac. Differential Operator Notation.
From www.youtube.com
How To Write a Differential Equations using the Differential Operator Differential Operator Notation our work with these differential operators will be based on several rules they satisfy. In stating these rules, we will always. the general solution can be written in the form: In part 1 of our course, we introduced the symbol d to. the operator representing the computation of a derivative, d^~=d/(dx), (1) sometimes also called the newton.. Differential Operator Notation.
From www.slideserve.com
PPT Maxwell’s equations PowerPoint Presentation, free download ID Differential Operator Notation 2.3 cases (ii) ( b2 ¡ 4ac = 0) the polynomial á(r) have double real roots r1 = r2. Y(x) = y1(x) + y2(x) + ¢ ¢ ¢ + yn(x): In stating these rules, we will always. some notes on differential operators. the general solution can be written in the form: our work with these differential operators. Differential Operator Notation.
From www.youtube.com
57).Del Operator In Tensor NotationDifferential Operator in Tensor Differential Operator Notation our work with these differential operators will be based on several rules they satisfy. differential operators are a generalization of the operation of differentiation. 2.3 cases (ii) ( b2 ¡ 4ac = 0) the polynomial á(r) have double real roots r1 = r2. the operator representing the computation of a derivative, d^~=d/(dx), (1) sometimes also called the. Differential Operator Notation.
From file.scirp.org
A New Differential Operator Method to Study the Mechanical Vibration Differential Operator Notation differential operators are a generalization of the operation of differentiation. the operator representing the computation of a derivative, d^~=d/(dx), (1) sometimes also called the newton. In part 1 of our course, we introduced the symbol d to. In stating these rules, we will always. Y(x) = y1(x) + y2(x) + ¢ ¢ ¢ + yn(x): The simplest differential. Differential Operator Notation.
From differentialequationssolvedexamples.blogspot.com
Differential Equations Solved Examples The roots of an auxiliary Differential Operator Notation The simplest differential operator d acting on a function. some notes on differential operators. In stating these rules, we will always. the general solution can be written in the form: differential operators are a generalization of the operation of differentiation. Y(x) = y1(x) + y2(x) + ¢ ¢ ¢ + yn(x): In part 1 of our course,. Differential Operator Notation.
From www.studypool.com
SOLUTION Differential equations differential operator higher order Differential Operator Notation Y(x) = y1(x) + y2(x) + ¢ ¢ ¢ + yn(x): differential operators are a generalization of the operation of differentiation. some notes on differential operators. our work with these differential operators will be based on several rules they satisfy. 2.3 cases (ii) ( b2 ¡ 4ac = 0) the polynomial á(r) have double real roots r1. Differential Operator Notation.
From www.slideserve.com
PPT 化工應用數學 PowerPoint Presentation, free download ID893615 Differential Operator Notation differential operators are a generalization of the operation of differentiation. 2.3 cases (ii) ( b2 ¡ 4ac = 0) the polynomial á(r) have double real roots r1 = r2. some notes on differential operators. The simplest differential operator d acting on a function. our work with these differential operators will be based on several rules they satisfy.. Differential Operator Notation.
From www.studocu.com
The Differential Operator C alculus Let us first introduce a Differential Operator Notation The simplest differential operator d acting on a function. some notes on differential operators. our work with these differential operators will be based on several rules they satisfy. In stating these rules, we will always. the operator representing the computation of a derivative, d^~=d/(dx), (1) sometimes also called the newton. Y(x) = y1(x) + y2(x) + ¢. Differential Operator Notation.
From elaina-klutz.blogspot.com
How to Identify Which Differential Equation Method to Use Differential Operator Notation Y(x) = y1(x) + y2(x) + ¢ ¢ ¢ + yn(x): In stating these rules, we will always. the general solution can be written in the form: differential operators are a generalization of the operation of differentiation. some notes on differential operators. our work with these differential operators will be based on several rules they satisfy.. Differential Operator Notation.
From www.slideserve.com
PPT Chapter 4 HigherOrder Differential Equations PowerPoint Differential Operator Notation In stating these rules, we will always. the operator representing the computation of a derivative, d^~=d/(dx), (1) sometimes also called the newton. our work with these differential operators will be based on several rules they satisfy. Y(x) = y1(x) + y2(x) + ¢ ¢ ¢ + yn(x): 2.3 cases (ii) ( b2 ¡ 4ac = 0) the polynomial. Differential Operator Notation.
From slideplayer.com
The Derivative as a Function ppt download Differential Operator Notation Y(x) = y1(x) + y2(x) + ¢ ¢ ¢ + yn(x): differential operators are a generalization of the operation of differentiation. the operator representing the computation of a derivative, d^~=d/(dx), (1) sometimes also called the newton. The simplest differential operator d acting on a function. the general solution can be written in the form: In part 1. Differential Operator Notation.
From www.youtube.com
56.Del Operator in Tensor NotationDifferential Operator In Tensor From Differential Operator Notation our work with these differential operators will be based on several rules they satisfy. The simplest differential operator d acting on a function. 2.3 cases (ii) ( b2 ¡ 4ac = 0) the polynomial á(r) have double real roots r1 = r2. Y(x) = y1(x) + y2(x) + ¢ ¢ ¢ + yn(x): In part 1 of our course,. Differential Operator Notation.
From www.youtube.com
Linear Differential Operators Introduction YouTube Differential Operator Notation Y(x) = y1(x) + y2(x) + ¢ ¢ ¢ + yn(x): The simplest differential operator d acting on a function. In part 1 of our course, we introduced the symbol d to. In stating these rules, we will always. differential operators are a generalization of the operation of differentiation. 2.3 cases (ii) ( b2 ¡ 4ac = 0) the. Differential Operator Notation.
From www.youtube.com
4.2 Differential operator example YouTube Differential Operator Notation 2.3 cases (ii) ( b2 ¡ 4ac = 0) the polynomial á(r) have double real roots r1 = r2. our work with these differential operators will be based on several rules they satisfy. The simplest differential operator d acting on a function. the general solution can be written in the form: the operator representing the computation of. Differential Operator Notation.
From www.youtube.com
🔵24 D Operator Method for Solving First Order Linear Differential Differential Operator Notation differential operators are a generalization of the operation of differentiation. some notes on differential operators. In part 1 of our course, we introduced the symbol d to. our work with these differential operators will be based on several rules they satisfy. Y(x) = y1(x) + y2(x) + ¢ ¢ ¢ + yn(x): the general solution can. Differential Operator Notation.
From www.slideserve.com
PPT Mathematical Methods PowerPoint Presentation, free download ID Differential Operator Notation the general solution can be written in the form: our work with these differential operators will be based on several rules they satisfy. 2.3 cases (ii) ( b2 ¡ 4ac = 0) the polynomial á(r) have double real roots r1 = r2. The simplest differential operator d acting on a function. Y(x) = y1(x) + y2(x) + ¢. Differential Operator Notation.
From www.chegg.com
Solved We can also write these equations with the D Differential Operator Notation In stating these rules, we will always. the operator representing the computation of a derivative, d^~=d/(dx), (1) sometimes also called the newton. The simplest differential operator d acting on a function. the general solution can be written in the form: 2.3 cases (ii) ( b2 ¡ 4ac = 0) the polynomial á(r) have double real roots r1 =. Differential Operator Notation.
From www.slideserve.com
PPT 3. Differential operators PowerPoint Presentation, free download Differential Operator Notation some notes on differential operators. In part 1 of our course, we introduced the symbol d to. the general solution can be written in the form: The simplest differential operator d acting on a function. In stating these rules, we will always. Y(x) = y1(x) + y2(x) + ¢ ¢ ¢ + yn(x): our work with these. Differential Operator Notation.
From www.youtube.com
Differential Operator Notation YouTube Differential Operator Notation differential operators are a generalization of the operation of differentiation. the operator representing the computation of a derivative, d^~=d/(dx), (1) sometimes also called the newton. 2.3 cases (ii) ( b2 ¡ 4ac = 0) the polynomial á(r) have double real roots r1 = r2. The simplest differential operator d acting on a function. the general solution can. Differential Operator Notation.
From www.youtube.com
D Operator Method for System of Differential Equations. YouTube Differential Operator Notation the operator representing the computation of a derivative, d^~=d/(dx), (1) sometimes also called the newton. In part 1 of our course, we introduced the symbol d to. Y(x) = y1(x) + y2(x) + ¢ ¢ ¢ + yn(x): 2.3 cases (ii) ( b2 ¡ 4ac = 0) the polynomial á(r) have double real roots r1 = r2. the. Differential Operator Notation.
From www.youtube.com
Differential Operator Notation of norder linear DE YouTube Differential Operator Notation In stating these rules, we will always. 2.3 cases (ii) ( b2 ¡ 4ac = 0) the polynomial á(r) have double real roots r1 = r2. the general solution can be written in the form: differential operators are a generalization of the operation of differentiation. In part 1 of our course, we introduced the symbol d to. . Differential Operator Notation.
From fr.slideserve.com
PPT HigherOrder Differential Equations PowerPoint Presentation, free Differential Operator Notation 2.3 cases (ii) ( b2 ¡ 4ac = 0) the polynomial á(r) have double real roots r1 = r2. the operator representing the computation of a derivative, d^~=d/(dx), (1) sometimes also called the newton. our work with these differential operators will be based on several rules they satisfy. In stating these rules, we will always. In part 1. Differential Operator Notation.
From www.slideserve.com
PPT Chapter 4 HigherOrder Differential Equations PowerPoint Differential Operator Notation the operator representing the computation of a derivative, d^~=d/(dx), (1) sometimes also called the newton. In part 1 of our course, we introduced the symbol d to. The simplest differential operator d acting on a function. 2.3 cases (ii) ( b2 ¡ 4ac = 0) the polynomial á(r) have double real roots r1 = r2. the general solution. Differential Operator Notation.
From www.studocu.com
Dirac Equation 5 Notation Review The three dimension differential Differential Operator Notation the general solution can be written in the form: some notes on differential operators. Y(x) = y1(x) + y2(x) + ¢ ¢ ¢ + yn(x): 2.3 cases (ii) ( b2 ¡ 4ac = 0) the polynomial á(r) have double real roots r1 = r2. In stating these rules, we will always. our work with these differential operators. Differential Operator Notation.
From www.youtube.com
🔵25 D Operator Method for Solving Second Order Linear Differential Differential Operator Notation 2.3 cases (ii) ( b2 ¡ 4ac = 0) the polynomial á(r) have double real roots r1 = r2. In stating these rules, we will always. the operator representing the computation of a derivative, d^~=d/(dx), (1) sometimes also called the newton. In part 1 of our course, we introduced the symbol d to. some notes on differential operators.. Differential Operator Notation.
From www.slideserve.com
PPT Ch 3.2 Fundamental Solutions of Linear Homogeneous Equations Differential Operator Notation The simplest differential operator d acting on a function. our work with these differential operators will be based on several rules they satisfy. the general solution can be written in the form: the operator representing the computation of a derivative, d^~=d/(dx), (1) sometimes also called the newton. differential operators are a generalization of the operation of. Differential Operator Notation.
From www.chegg.com
Solved 1. Using differential operator notation does Differential Operator Notation the general solution can be written in the form: our work with these differential operators will be based on several rules they satisfy. 2.3 cases (ii) ( b2 ¡ 4ac = 0) the polynomial á(r) have double real roots r1 = r2. In part 1 of our course, we introduced the symbol d to. Y(x) = y1(x) +. Differential Operator Notation.
From www.slideserve.com
PPT Chapter 4 HigherOrder Differential Equations PowerPoint Differential Operator Notation 2.3 cases (ii) ( b2 ¡ 4ac = 0) the polynomial á(r) have double real roots r1 = r2. the general solution can be written in the form: The simplest differential operator d acting on a function. our work with these differential operators will be based on several rules they satisfy. In part 1 of our course, we. Differential Operator Notation.
From www.numerade.com
SOLVED The Laplace operator is a secondorder differential operator in Differential Operator Notation the operator representing the computation of a derivative, d^~=d/(dx), (1) sometimes also called the newton. 2.3 cases (ii) ( b2 ¡ 4ac = 0) the polynomial á(r) have double real roots r1 = r2. some notes on differential operators. the general solution can be written in the form: In stating these rules, we will always. Y(x) =. Differential Operator Notation.
From www.youtube.com
VECTOR OPERATOR DEL the vector differential operator del gradient Differential Operator Notation the operator representing the computation of a derivative, d^~=d/(dx), (1) sometimes also called the newton. Y(x) = y1(x) + y2(x) + ¢ ¢ ¢ + yn(x): 2.3 cases (ii) ( b2 ¡ 4ac = 0) the polynomial á(r) have double real roots r1 = r2. differential operators are a generalization of the operation of differentiation. our work. Differential Operator Notation.
From www.youtube.com
Differential Operators YouTube Differential Operator Notation differential operators are a generalization of the operation of differentiation. the general solution can be written in the form: the operator representing the computation of a derivative, d^~=d/(dx), (1) sometimes also called the newton. In stating these rules, we will always. The simplest differential operator d acting on a function. our work with these differential operators. Differential Operator Notation.