Derivative Using Difference Quotient Calculator . Our difference quotient calculator is used to approximate the derivative of a function at a given point by finding the rate of change or slope of a. The difference quotient formula is part of the definition of a derivative. Difference quotient calculator is an online tool that helps to compute the difference quotient of the given function. Using a difference quotient calculator. This difference quotient calculator will show you step by step what is needed to get to the final result, from the setting of the term of the quotient to the. The derivative calculator supports computing first, second,., fifth derivatives as well as differentiating functions with many variables (partial derivatives), implicit differentiation and calculating. Write the formula of the difference quotient. This solution was automatically generated by our smart calculator:
from ar.inspiredpencil.com
Difference quotient calculator is an online tool that helps to compute the difference quotient of the given function. Using a difference quotient calculator. This difference quotient calculator will show you step by step what is needed to get to the final result, from the setting of the term of the quotient to the. The difference quotient formula is part of the definition of a derivative. This solution was automatically generated by our smart calculator: Write the formula of the difference quotient. Our difference quotient calculator is used to approximate the derivative of a function at a given point by finding the rate of change or slope of a. The derivative calculator supports computing first, second,., fifth derivatives as well as differentiating functions with many variables (partial derivatives), implicit differentiation and calculating.
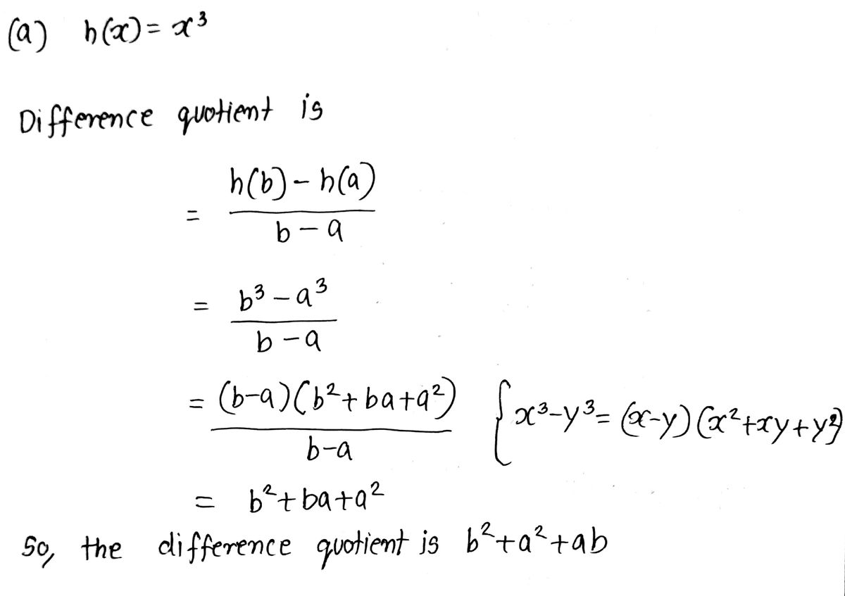
Difference Quotient Formula Examples
Derivative Using Difference Quotient Calculator This solution was automatically generated by our smart calculator: Difference quotient calculator is an online tool that helps to compute the difference quotient of the given function. This difference quotient calculator will show you step by step what is needed to get to the final result, from the setting of the term of the quotient to the. This solution was automatically generated by our smart calculator: The derivative calculator supports computing first, second,., fifth derivatives as well as differentiating functions with many variables (partial derivatives), implicit differentiation and calculating. Using a difference quotient calculator. The difference quotient formula is part of the definition of a derivative. Our difference quotient calculator is used to approximate the derivative of a function at a given point by finding the rate of change or slope of a. Write the formula of the difference quotient.
From fity.club
Difference Quotient Formula Calculator Examples Derivative Using Difference Quotient Calculator Write the formula of the difference quotient. This solution was automatically generated by our smart calculator: Using a difference quotient calculator. The derivative calculator supports computing first, second,., fifth derivatives as well as differentiating functions with many variables (partial derivatives), implicit differentiation and calculating. The difference quotient formula is part of the definition of a derivative. Our difference quotient calculator. Derivative Using Difference Quotient Calculator.
From www.youtube.com
How to Calculate Difference Quotient YouTube Derivative Using Difference Quotient Calculator Write the formula of the difference quotient. Difference quotient calculator is an online tool that helps to compute the difference quotient of the given function. The difference quotient formula is part of the definition of a derivative. The derivative calculator supports computing first, second,., fifth derivatives as well as differentiating functions with many variables (partial derivatives), implicit differentiation and calculating.. Derivative Using Difference Quotient Calculator.
From study.com
Quotient Rule Formula & Examples Video & Lesson Transcript Derivative Using Difference Quotient Calculator Using a difference quotient calculator. The derivative calculator supports computing first, second,., fifth derivatives as well as differentiating functions with many variables (partial derivatives), implicit differentiation and calculating. Our difference quotient calculator is used to approximate the derivative of a function at a given point by finding the rate of change or slope of a. Write the formula of the. Derivative Using Difference Quotient Calculator.
From ar.inspiredpencil.com
Difference Quotient Formula Examples Derivative Using Difference Quotient Calculator Write the formula of the difference quotient. Using a difference quotient calculator. This solution was automatically generated by our smart calculator: This difference quotient calculator will show you step by step what is needed to get to the final result, from the setting of the term of the quotient to the. The difference quotient formula is part of the definition. Derivative Using Difference Quotient Calculator.
From www.youtube.com
Math 1A/1B. PreCalculus Difference Quotient YouTube Derivative Using Difference Quotient Calculator This solution was automatically generated by our smart calculator: Write the formula of the difference quotient. This difference quotient calculator will show you step by step what is needed to get to the final result, from the setting of the term of the quotient to the. The derivative calculator supports computing first, second,., fifth derivatives as well as differentiating functions. Derivative Using Difference Quotient Calculator.
From calcworkshop.com
Quotient Rule For Calculus (w/ StepbyStep Examples!) Derivative Using Difference Quotient Calculator Write the formula of the difference quotient. Our difference quotient calculator is used to approximate the derivative of a function at a given point by finding the rate of change or slope of a. This difference quotient calculator will show you step by step what is needed to get to the final result, from the setting of the term of. Derivative Using Difference Quotient Calculator.
From narodnatribuna.info
Difference Quotient Calculator Derivative Using Difference Quotient Calculator Our difference quotient calculator is used to approximate the derivative of a function at a given point by finding the rate of change or slope of a. Write the formula of the difference quotient. The derivative calculator supports computing first, second,., fifth derivatives as well as differentiating functions with many variables (partial derivatives), implicit differentiation and calculating. Difference quotient calculator. Derivative Using Difference Quotient Calculator.
From ar.inspiredpencil.com
Difference Quotient Formula Examples Derivative Using Difference Quotient Calculator The derivative calculator supports computing first, second,., fifth derivatives as well as differentiating functions with many variables (partial derivatives), implicit differentiation and calculating. Using a difference quotient calculator. This difference quotient calculator will show you step by step what is needed to get to the final result, from the setting of the term of the quotient to the. Write the. Derivative Using Difference Quotient Calculator.
From calcworkshop.com
Quotient Rule For Calculus (w/ StepbyStep Examples!) Derivative Using Difference Quotient Calculator Using a difference quotient calculator. Our difference quotient calculator is used to approximate the derivative of a function at a given point by finding the rate of change or slope of a. The derivative calculator supports computing first, second,., fifth derivatives as well as differentiating functions with many variables (partial derivatives), implicit differentiation and calculating. This difference quotient calculator will. Derivative Using Difference Quotient Calculator.
From idealcalculator.com
Difference quotient calculator with steps Derivative Using Difference Quotient Calculator The derivative calculator supports computing first, second,., fifth derivatives as well as differentiating functions with many variables (partial derivatives), implicit differentiation and calculating. This difference quotient calculator will show you step by step what is needed to get to the final result, from the setting of the term of the quotient to the. Difference quotient calculator is an online tool. Derivative Using Difference Quotient Calculator.
From ar.inspiredpencil.com
Difference Quotient Formula Examples Derivative Using Difference Quotient Calculator Our difference quotient calculator is used to approximate the derivative of a function at a given point by finding the rate of change or slope of a. Using a difference quotient calculator. This solution was automatically generated by our smart calculator: The derivative calculator supports computing first, second,., fifth derivatives as well as differentiating functions with many variables (partial derivatives),. Derivative Using Difference Quotient Calculator.
From www.youtube.com
Calculus Difference Quotients and Derivatives YouTube Derivative Using Difference Quotient Calculator This solution was automatically generated by our smart calculator: This difference quotient calculator will show you step by step what is needed to get to the final result, from the setting of the term of the quotient to the. The difference quotient formula is part of the definition of a derivative. Difference quotient calculator is an online tool that helps. Derivative Using Difference Quotient Calculator.
From risala-blog.blogspot.com
Differentiation Using Limits Of Difference Quotients Risala Blog Derivative Using Difference Quotient Calculator Difference quotient calculator is an online tool that helps to compute the difference quotient of the given function. This solution was automatically generated by our smart calculator: Our difference quotient calculator is used to approximate the derivative of a function at a given point by finding the rate of change or slope of a. Write the formula of the difference. Derivative Using Difference Quotient Calculator.
From www.youtube.com
Difference Quotient YouTube Derivative Using Difference Quotient Calculator Our difference quotient calculator is used to approximate the derivative of a function at a given point by finding the rate of change or slope of a. Difference quotient calculator is an online tool that helps to compute the difference quotient of the given function. The derivative calculator supports computing first, second,., fifth derivatives as well as differentiating functions with. Derivative Using Difference Quotient Calculator.
From calcworkshop.com
Quotient Rule For Calculus (w/ StepbyStep Examples!) Derivative Using Difference Quotient Calculator Write the formula of the difference quotient. Our difference quotient calculator is used to approximate the derivative of a function at a given point by finding the rate of change or slope of a. Difference quotient calculator is an online tool that helps to compute the difference quotient of the given function. The derivative calculator supports computing first, second,., fifth. Derivative Using Difference Quotient Calculator.
From www.fity.club
Difference Quotient Formula Calculator Examples Derivative Using Difference Quotient Calculator Using a difference quotient calculator. The derivative calculator supports computing first, second,., fifth derivatives as well as differentiating functions with many variables (partial derivatives), implicit differentiation and calculating. This difference quotient calculator will show you step by step what is needed to get to the final result, from the setting of the term of the quotient to the. Write the. Derivative Using Difference Quotient Calculator.
From study.com
How to Find the Difference Quotient For a Linear or Quadratic Function Derivative Using Difference Quotient Calculator The derivative calculator supports computing first, second,., fifth derivatives as well as differentiating functions with many variables (partial derivatives), implicit differentiation and calculating. Using a difference quotient calculator. The difference quotient formula is part of the definition of a derivative. Our difference quotient calculator is used to approximate the derivative of a function at a given point by finding the. Derivative Using Difference Quotient Calculator.
From www.youtube.com
Difference Quotient (Example 1) YouTube Derivative Using Difference Quotient Calculator Write the formula of the difference quotient. The derivative calculator supports computing first, second,., fifth derivatives as well as differentiating functions with many variables (partial derivatives), implicit differentiation and calculating. The difference quotient formula is part of the definition of a derivative. Difference quotient calculator is an online tool that helps to compute the difference quotient of the given function.. Derivative Using Difference Quotient Calculator.
From www.fity.club
Difference Quotient Formula Calculator Examples Derivative Using Difference Quotient Calculator The derivative calculator supports computing first, second,., fifth derivatives as well as differentiating functions with many variables (partial derivatives), implicit differentiation and calculating. Our difference quotient calculator is used to approximate the derivative of a function at a given point by finding the rate of change or slope of a. Difference quotient calculator is an online tool that helps to. Derivative Using Difference Quotient Calculator.
From www.youtube.com
Find a difference quotient for a given function. YouTube Derivative Using Difference Quotient Calculator The derivative calculator supports computing first, second,., fifth derivatives as well as differentiating functions with many variables (partial derivatives), implicit differentiation and calculating. Our difference quotient calculator is used to approximate the derivative of a function at a given point by finding the rate of change or slope of a. Write the formula of the difference quotient. Difference quotient calculator. Derivative Using Difference Quotient Calculator.
From calcworkshop.com
Quotient Rule For Calculus (w/ StepbyStep Examples!) Derivative Using Difference Quotient Calculator This difference quotient calculator will show you step by step what is needed to get to the final result, from the setting of the term of the quotient to the. Write the formula of the difference quotient. The derivative calculator supports computing first, second,., fifth derivatives as well as differentiating functions with many variables (partial derivatives), implicit differentiation and calculating.. Derivative Using Difference Quotient Calculator.
From www.fity.club
Difference Quotient Calculator Derivative Using Difference Quotient Calculator This solution was automatically generated by our smart calculator: Write the formula of the difference quotient. Our difference quotient calculator is used to approximate the derivative of a function at a given point by finding the rate of change or slope of a. The derivative calculator supports computing first, second,., fifth derivatives as well as differentiating functions with many variables. Derivative Using Difference Quotient Calculator.
From www.fity.club
Difference Quotient Formula Calculator Examples Derivative Using Difference Quotient Calculator Difference quotient calculator is an online tool that helps to compute the difference quotient of the given function. This difference quotient calculator will show you step by step what is needed to get to the final result, from the setting of the term of the quotient to the. Using a difference quotient calculator. The difference quotient formula is part of. Derivative Using Difference Quotient Calculator.
From theeducationinfo.com
Difference Quotient Calculator steps, formula, example and more Derivative Using Difference Quotient Calculator This difference quotient calculator will show you step by step what is needed to get to the final result, from the setting of the term of the quotient to the. Difference quotient calculator is an online tool that helps to compute the difference quotient of the given function. Write the formula of the difference quotient. This solution was automatically generated. Derivative Using Difference Quotient Calculator.
From www.youtube.com
Example Approximating a Derivative Using a Difference Quotient YouTube Derivative Using Difference Quotient Calculator The difference quotient formula is part of the definition of a derivative. Using a difference quotient calculator. Difference quotient calculator is an online tool that helps to compute the difference quotient of the given function. Write the formula of the difference quotient. The derivative calculator supports computing first, second,., fifth derivatives as well as differentiating functions with many variables (partial. Derivative Using Difference Quotient Calculator.
From www.slideserve.com
PPT Derivatives on the Calculator PowerPoint Presentation, free Derivative Using Difference Quotient Calculator The derivative calculator supports computing first, second,., fifth derivatives as well as differentiating functions with many variables (partial derivatives), implicit differentiation and calculating. Write the formula of the difference quotient. Difference quotient calculator is an online tool that helps to compute the difference quotient of the given function. Our difference quotient calculator is used to approximate the derivative of a. Derivative Using Difference Quotient Calculator.
From www.fity.club
Difference Quotient Formula Calculator Examples Derivative Using Difference Quotient Calculator Using a difference quotient calculator. Our difference quotient calculator is used to approximate the derivative of a function at a given point by finding the rate of change or slope of a. This difference quotient calculator will show you step by step what is needed to get to the final result, from the setting of the term of the quotient. Derivative Using Difference Quotient Calculator.
From fity.club
Difference Quotient Formula Calculator Examples Derivative Using Difference Quotient Calculator Using a difference quotient calculator. This solution was automatically generated by our smart calculator: Write the formula of the difference quotient. The difference quotient formula is part of the definition of a derivative. The derivative calculator supports computing first, second,., fifth derivatives as well as differentiating functions with many variables (partial derivatives), implicit differentiation and calculating. Difference quotient calculator is. Derivative Using Difference Quotient Calculator.
From www.youtube.com
How to Compute a Limit with Delta x and a Fraction (Difference Quotient Derivative Using Difference Quotient Calculator Our difference quotient calculator is used to approximate the derivative of a function at a given point by finding the rate of change or slope of a. Difference quotient calculator is an online tool that helps to compute the difference quotient of the given function. This difference quotient calculator will show you step by step what is needed to get. Derivative Using Difference Quotient Calculator.
From www.fity.club
Difference Quotient Calculator Derivative Using Difference Quotient Calculator The derivative calculator supports computing first, second,., fifth derivatives as well as differentiating functions with many variables (partial derivatives), implicit differentiation and calculating. Difference quotient calculator is an online tool that helps to compute the difference quotient of the given function. Write the formula of the difference quotient. This difference quotient calculator will show you step by step what is. Derivative Using Difference Quotient Calculator.
From www.fity.club
Difference Quotient Calculator Derivative Using Difference Quotient Calculator This solution was automatically generated by our smart calculator: Difference quotient calculator is an online tool that helps to compute the difference quotient of the given function. Our difference quotient calculator is used to approximate the derivative of a function at a given point by finding the rate of change or slope of a. This difference quotient calculator will show. Derivative Using Difference Quotient Calculator.
From www.pinterest.com
Step by step instruction in using the difference quotient to find the Derivative Using Difference Quotient Calculator The derivative calculator supports computing first, second,., fifth derivatives as well as differentiating functions with many variables (partial derivatives), implicit differentiation and calculating. This solution was automatically generated by our smart calculator: Our difference quotient calculator is used to approximate the derivative of a function at a given point by finding the rate of change or slope of a. This. Derivative Using Difference Quotient Calculator.
From pavanjitben.blogspot.com
Difference quotient calculator PavanjitBen Derivative Using Difference Quotient Calculator The difference quotient formula is part of the definition of a derivative. Our difference quotient calculator is used to approximate the derivative of a function at a given point by finding the rate of change or slope of a. This difference quotient calculator will show you step by step what is needed to get to the final result, from the. Derivative Using Difference Quotient Calculator.
From itlessoneducation.com
What are quotient and product rules? What are the derivatives and their Derivative Using Difference Quotient Calculator This difference quotient calculator will show you step by step what is needed to get to the final result, from the setting of the term of the quotient to the. This solution was automatically generated by our smart calculator: Write the formula of the difference quotient. Our difference quotient calculator is used to approximate the derivative of a function at. Derivative Using Difference Quotient Calculator.
From www.youtube.com
Ex 1 The Difference Quotient (Linear Function) YouTube Derivative Using Difference Quotient Calculator Using a difference quotient calculator. The difference quotient formula is part of the definition of a derivative. Write the formula of the difference quotient. This difference quotient calculator will show you step by step what is needed to get to the final result, from the setting of the term of the quotient to the. Difference quotient calculator is an online. Derivative Using Difference Quotient Calculator.