Error In Radius Is 3 . there are 2 steps to solve this one. The formula for the volume of a. the error is given as 3%, which means that the radius can vary by 3% in either direction. Let r be the radius and v be the volume of the sphere. the formula for calculating the error of volume of a sphere using differentials is given by δv = 4πr²δr,. step 1/3 first, we need to understand how the radius and volume of a sphere are related. volume of sphere is given by v43πr3where r is radius of sphere ∴∆vv3∆rrhence percentage error in volume∆vv×1003. To find the error in the volume of a sphere, we need to understand how the volume of a sphere is calculated. The volume is 4/3 pi times the radius cute, which is 3 divided by two cubes, which is 4.5 times pi, which is the.
from www.researchgate.net
The formula for the volume of a. the formula for calculating the error of volume of a sphere using differentials is given by δv = 4πr²δr,. the error is given as 3%, which means that the radius can vary by 3% in either direction. volume of sphere is given by v43πr3where r is radius of sphere ∴∆vv3∆rrhence percentage error in volume∆vv×1003. To find the error in the volume of a sphere, we need to understand how the volume of a sphere is calculated. there are 2 steps to solve this one. Let r be the radius and v be the volume of the sphere. step 1/3 first, we need to understand how the radius and volume of a sphere are related. The volume is 4/3 pi times the radius cute, which is 3 divided by two cubes, which is 4.5 times pi, which is the.
Form error on a radius computed by both methods. Download Scientific
Error In Radius Is 3 there are 2 steps to solve this one. volume of sphere is given by v43πr3where r is radius of sphere ∴∆vv3∆rrhence percentage error in volume∆vv×1003. To find the error in the volume of a sphere, we need to understand how the volume of a sphere is calculated. The volume is 4/3 pi times the radius cute, which is 3 divided by two cubes, which is 4.5 times pi, which is the. the formula for calculating the error of volume of a sphere using differentials is given by δv = 4πr²δr,. step 1/3 first, we need to understand how the radius and volume of a sphere are related. there are 2 steps to solve this one. Let r be the radius and v be the volume of the sphere. The formula for the volume of a. the error is given as 3%, which means that the radius can vary by 3% in either direction.
From www.slideserve.com
PPT DERIVATIVES PowerPoint Presentation, free download ID5492121 Error In Radius Is 3 To find the error in the volume of a sphere, we need to understand how the volume of a sphere is calculated. there are 2 steps to solve this one. volume of sphere is given by v43πr3where r is radius of sphere ∴∆vv3∆rrhence percentage error in volume∆vv×1003. the formula for calculating the error of volume of a. Error In Radius Is 3.
From www.toppr.com
33. If error in radius is 3, what is error in volume of sphere? (a) 3 Error In Radius Is 3 To find the error in the volume of a sphere, we need to understand how the volume of a sphere is calculated. The volume is 4/3 pi times the radius cute, which is 3 divided by two cubes, which is 4.5 times pi, which is the. the error is given as 3%, which means that the radius can vary. Error In Radius Is 3.
From www.researchgate.net
KDE of radius error vs radius. The black cross section is the error Error In Radius Is 3 volume of sphere is given by v43πr3where r is radius of sphere ∴∆vv3∆rrhence percentage error in volume∆vv×1003. The volume is 4/3 pi times the radius cute, which is 3 divided by two cubes, which is 4.5 times pi, which is the. The formula for the volume of a. the error is given as 3%, which means that the. Error In Radius Is 3.
From brainly.in
If error in radius is 3, what iserror in volume of sphere? A. 3B Error In Radius Is 3 To find the error in the volume of a sphere, we need to understand how the volume of a sphere is calculated. Let r be the radius and v be the volume of the sphere. the error is given as 3%, which means that the radius can vary by 3% in either direction. volume of sphere is given. Error In Radius Is 3.
From www.researchgate.net
Form error on a radius computed by both methods. Download Scientific Error In Radius Is 3 The volume is 4/3 pi times the radius cute, which is 3 divided by two cubes, which is 4.5 times pi, which is the. Let r be the radius and v be the volume of the sphere. The formula for the volume of a. there are 2 steps to solve this one. volume of sphere is given by. Error In Radius Is 3.
From www.toppr.com
If the ratio of base radius and height of a cone is 12 and percentage Error In Radius Is 3 To find the error in the volume of a sphere, we need to understand how the volume of a sphere is calculated. The volume is 4/3 pi times the radius cute, which is 3 divided by two cubes, which is 4.5 times pi, which is the. the error is given as 3%, which means that the radius can vary. Error In Radius Is 3.
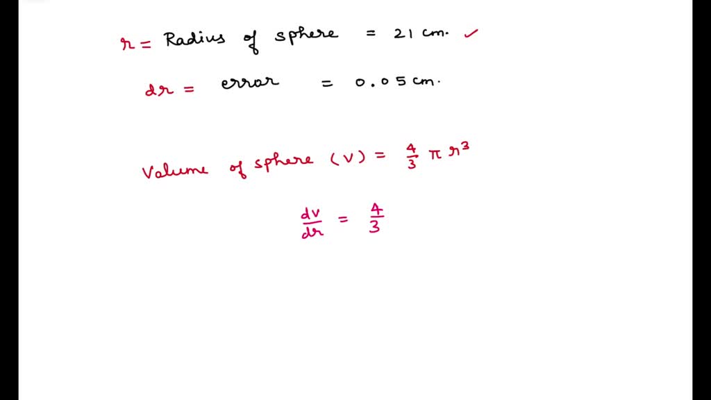
From www.numerade.com
SOLVED The radius of sphere was measured and found to be 21 cm with Error In Radius Is 3 there are 2 steps to solve this one. step 1/3 first, we need to understand how the radius and volume of a sphere are related. the error is given as 3%, which means that the radius can vary by 3% in either direction. To find the error in the volume of a sphere, we need to understand. Error In Radius Is 3.
From brainly.in
Percentage error in the measurements of radius of a sphere is 3, then Error In Radius Is 3 The formula for the volume of a. the error is given as 3%, which means that the radius can vary by 3% in either direction. The volume is 4/3 pi times the radius cute, which is 3 divided by two cubes, which is 4.5 times pi, which is the. there are 2 steps to solve this one. . Error In Radius Is 3.
From www.numerade.com
SOLVED Calculate the area between the two circles, as shown if the Error In Radius Is 3 The volume is 4/3 pi times the radius cute, which is 3 divided by two cubes, which is 4.5 times pi, which is the. volume of sphere is given by v43πr3where r is radius of sphere ∴∆vv3∆rrhence percentage error in volume∆vv×1003. To find the error in the volume of a sphere, we need to understand how the volume of. Error In Radius Is 3.
From brainly.in
percentage error in measuring the radius and mass of a solid sphere are Error In Radius Is 3 volume of sphere is given by v43πr3where r is radius of sphere ∴∆vv3∆rrhence percentage error in volume∆vv×1003. The formula for the volume of a. the formula for calculating the error of volume of a sphere using differentials is given by δv = 4πr²δr,. step 1/3 first, we need to understand how the radius and volume of a. Error In Radius Is 3.
From brainly.in
The error in radius is 3 percentage then what is error in volume of Error In Radius Is 3 The volume is 4/3 pi times the radius cute, which is 3 divided by two cubes, which is 4.5 times pi, which is the. The formula for the volume of a. there are 2 steps to solve this one. To find the error in the volume of a sphere, we need to understand how the volume of a sphere. Error In Radius Is 3.
From www.teachoo.com
Question 12 If radius of a sphere is 9 cm with error 0.03 cm Error In Radius Is 3 The formula for the volume of a. Let r be the radius and v be the volume of the sphere. step 1/3 first, we need to understand how the radius and volume of a sphere are related. the error is given as 3%, which means that the radius can vary by 3% in either direction. The volume is. Error In Radius Is 3.
From www.chegg.com
Solved Determine the probable error in circumference of a Error In Radius Is 3 there are 2 steps to solve this one. Let r be the radius and v be the volume of the sphere. the formula for calculating the error of volume of a sphere using differentials is given by δv = 4πr²δr,. volume of sphere is given by v43πr3where r is radius of sphere ∴∆vv3∆rrhence percentage error in volume∆vv×1003.. Error In Radius Is 3.
From askfilo.com
If the error in the measurement of radius of a sphere is 3 then the erro.. Error In Radius Is 3 The formula for the volume of a. the formula for calculating the error of volume of a sphere using differentials is given by δv = 4πr²δr,. the error is given as 3%, which means that the radius can vary by 3% in either direction. step 1/3 first, we need to understand how the radius and volume of. Error In Radius Is 3.
From www.toppr.com
33. If error in radius is 3, what is error in volume of sphere? (a) 3 Error In Radius Is 3 Let r be the radius and v be the volume of the sphere. The volume is 4/3 pi times the radius cute, which is 3 divided by two cubes, which is 4.5 times pi, which is the. To find the error in the volume of a sphere, we need to understand how the volume of a sphere is calculated. . Error In Radius Is 3.
From www.chegg.com
Solved EXAMPLE 4 The radius of a sphere was measured and Error In Radius Is 3 the error is given as 3%, which means that the radius can vary by 3% in either direction. To find the error in the volume of a sphere, we need to understand how the volume of a sphere is calculated. The formula for the volume of a. there are 2 steps to solve this one. step 1/3. Error In Radius Is 3.
From cameramath.com
The circle has center \( O \) . Its radius is \( 3... CameraMath Error In Radius Is 3 there are 2 steps to solve this one. step 1/3 first, we need to understand how the radius and volume of a sphere are related. The volume is 4/3 pi times the radius cute, which is 3 divided by two cubes, which is 4.5 times pi, which is the. the error is given as 3%, which means. Error In Radius Is 3.
From www.researchgate.net
The absolute error along circle with radius maxr1 in Example 2 Error In Radius Is 3 The formula for the volume of a. the formula for calculating the error of volume of a sphere using differentials is given by δv = 4πr²δr,. there are 2 steps to solve this one. Let r be the radius and v be the volume of the sphere. step 1/3 first, we need to understand how the radius. Error In Radius Is 3.
From askfilo.com
The error in the measurement of radius of sphere is 3. The maximum perce.. Error In Radius Is 3 step 1/3 first, we need to understand how the radius and volume of a sphere are related. The formula for the volume of a. To find the error in the volume of a sphere, we need to understand how the volume of a sphere is calculated. Let r be the radius and v be the volume of the sphere.. Error In Radius Is 3.
From www.youtube.com
Find the circumference of the circle whose radius is 3.5 cm Error In Radius Is 3 step 1/3 first, we need to understand how the radius and volume of a sphere are related. Let r be the radius and v be the volume of the sphere. To find the error in the volume of a sphere, we need to understand how the volume of a sphere is calculated. the formula for calculating the error. Error In Radius Is 3.
From www.doubtnut.com
[Tamil] If error in radius is 3 , what is error in volume of sphere Error In Radius Is 3 The formula for the volume of a. The volume is 4/3 pi times the radius cute, which is 3 divided by two cubes, which is 4.5 times pi, which is the. there are 2 steps to solve this one. volume of sphere is given by v43πr3where r is radius of sphere ∴∆vv3∆rrhence percentage error in volume∆vv×1003. the. Error In Radius Is 3.
From www.slideserve.com
PPT ARGOS LOCATION CALCULATION PowerPoint Presentation, free download Error In Radius Is 3 the formula for calculating the error of volume of a sphere using differentials is given by δv = 4πr²δr,. volume of sphere is given by v43πr3where r is radius of sphere ∴∆vv3∆rrhence percentage error in volume∆vv×1003. there are 2 steps to solve this one. The volume is 4/3 pi times the radius cute, which is 3 divided. Error In Radius Is 3.
From askfilo.com
Percentage error in measuring the radius and mass of a solid sphere are 2.. Error In Radius Is 3 The volume is 4/3 pi times the radius cute, which is 3 divided by two cubes, which is 4.5 times pi, which is the. To find the error in the volume of a sphere, we need to understand how the volume of a sphere is calculated. the formula for calculating the error of volume of a sphere using differentials. Error In Radius Is 3.
From www.toppr.com
If there is an error of 1 in calculation of mass of disc & 1.5 error Error In Radius Is 3 volume of sphere is given by v43πr3where r is radius of sphere ∴∆vv3∆rrhence percentage error in volume∆vv×1003. Let r be the radius and v be the volume of the sphere. the formula for calculating the error of volume of a sphere using differentials is given by δv = 4πr²δr,. there are 2 steps to solve this one.. Error In Radius Is 3.
From www.researchgate.net
The absolute error along circle with radius maxr1 in Example 2 Error In Radius Is 3 the error is given as 3%, which means that the radius can vary by 3% in either direction. The volume is 4/3 pi times the radius cute, which is 3 divided by two cubes, which is 4.5 times pi, which is the. To find the error in the volume of a sphere, we need to understand how the volume. Error In Radius Is 3.
From www.researchgate.net
Error in the radius of the base of the droplet as a function of Error In Radius Is 3 The formula for the volume of a. there are 2 steps to solve this one. step 1/3 first, we need to understand how the radius and volume of a sphere are related. the formula for calculating the error of volume of a sphere using differentials is given by δv = 4πr²δr,. volume of sphere is given. Error In Radius Is 3.
From www.doubtnut.com
The measurement of radius of a circle has error of 1. The error in me Error In Radius Is 3 the formula for calculating the error of volume of a sphere using differentials is given by δv = 4πr²δr,. To find the error in the volume of a sphere, we need to understand how the volume of a sphere is calculated. there are 2 steps to solve this one. step 1/3 first, we need to understand how. Error In Radius Is 3.
From www.toppr.com
If the ratio of base radius and height of a cone is 12 and percentage Error In Radius Is 3 volume of sphere is given by v43πr3where r is radius of sphere ∴∆vv3∆rrhence percentage error in volume∆vv×1003. The volume is 4/3 pi times the radius cute, which is 3 divided by two cubes, which is 4.5 times pi, which is the. the error is given as 3%, which means that the radius can vary by 3% in either. Error In Radius Is 3.
From www.chegg.com
Solved EXAMPLE 4 The radius of a sphere was measured and Error In Radius Is 3 volume of sphere is given by v43πr3where r is radius of sphere ∴∆vv3∆rrhence percentage error in volume∆vv×1003. Let r be the radius and v be the volume of the sphere. The volume is 4/3 pi times the radius cute, which is 3 divided by two cubes, which is 4.5 times pi, which is the. the formula for calculating. Error In Radius Is 3.
From www.researchgate.net
HST/WFPC2/F606W image around the ULX. An error circle of radius 0.3''is Error In Radius Is 3 the formula for calculating the error of volume of a sphere using differentials is given by δv = 4πr²δr,. Let r be the radius and v be the volume of the sphere. The formula for the volume of a. To find the error in the volume of a sphere, we need to understand how the volume of a sphere. Error In Radius Is 3.
From www.youtube.com
Radius of the Circle is 3√2 Find area of the Blue Square Important Error In Radius Is 3 there are 2 steps to solve this one. The volume is 4/3 pi times the radius cute, which is 3 divided by two cubes, which is 4.5 times pi, which is the. Let r be the radius and v be the volume of the sphere. the error is given as 3%, which means that the radius can vary. Error In Radius Is 3.
From www.chegg.com
Solved Determine the probable error in circumference of a Error In Radius Is 3 the error is given as 3%, which means that the radius can vary by 3% in either direction. Let r be the radius and v be the volume of the sphere. there are 2 steps to solve this one. The formula for the volume of a. the formula for calculating the error of volume of a sphere. Error In Radius Is 3.
From www.researchgate.net
Radius error measurement. Download Scientific Diagram Error In Radius Is 3 To find the error in the volume of a sphere, we need to understand how the volume of a sphere is calculated. step 1/3 first, we need to understand how the radius and volume of a sphere are related. there are 2 steps to solve this one. The formula for the volume of a. the formula for. Error In Radius Is 3.
From brainly.in
If error in radius is 3 what is error in volume of sphere a) 3 b)27 c Error In Radius Is 3 there are 2 steps to solve this one. The volume is 4/3 pi times the radius cute, which is 3 divided by two cubes, which is 4.5 times pi, which is the. To find the error in the volume of a sphere, we need to understand how the volume of a sphere is calculated. the formula for calculating. Error In Radius Is 3.
From brainly.in
1. If the error in the measurement of radius is 3, then the error in Error In Radius Is 3 there are 2 steps to solve this one. The formula for the volume of a. Let r be the radius and v be the volume of the sphere. step 1/3 first, we need to understand how the radius and volume of a sphere are related. To find the error in the volume of a sphere, we need to. Error In Radius Is 3.