What Is A Surety Bond For Notary . A notary bond is a type of surety bond. a notary bond is a type of surety bond required by many states to guarantee that notaries will perform their duties ethically. what is a notary bond? At its core, a notary surety bond is a legally binding contract that serves as a financial. what is a notary surety bond? It’s a financial guarantee that notaries purchase to ensure they. a notary surety bond is a financial guarantee that protects the public from financial losses caused by a notary’s errors or. what is a notary bond? 5/5 (13k) It ensures that a notary will perform their duties ethically. A notary bond is a financial guarantee notaries purchase from a surety company. a notary bond is a form of gaurantee that provides financial protection to individuals who suffer losses due to a notary’s misconduct. a notary bond is a financial guarantee designed to protect the public.
from www.templateroller.com
a notary bond is a type of surety bond required by many states to guarantee that notaries will perform their duties ethically. A notary bond is a financial guarantee notaries purchase from a surety company. a notary bond is a form of gaurantee that provides financial protection to individuals who suffer losses due to a notary’s misconduct. 5/5 (13k) what is a notary surety bond? what is a notary bond? what is a notary bond? a notary surety bond is a financial guarantee that protects the public from financial losses caused by a notary’s errors or. At its core, a notary surety bond is a legally binding contract that serves as a financial. A notary bond is a type of surety bond.
Montana Montana Notary Public Surety Bond Fill Out, Sign Online and Download PDF Templateroller
What Is A Surety Bond For Notary what is a notary bond? A notary bond is a type of surety bond. It ensures that a notary will perform their duties ethically. At its core, a notary surety bond is a legally binding contract that serves as a financial. It’s a financial guarantee that notaries purchase to ensure they. what is a notary bond? a notary bond is a form of gaurantee that provides financial protection to individuals who suffer losses due to a notary’s misconduct. 5/5 (13k) a notary bond is a financial guarantee designed to protect the public. what is a notary surety bond? A notary bond is a financial guarantee notaries purchase from a surety company. a notary bond is a type of surety bond required by many states to guarantee that notaries will perform their duties ethically. a notary surety bond is a financial guarantee that protects the public from financial losses caused by a notary’s errors or. what is a notary bond?
From www.youtube.com
Notary Surety Bond, What is It? General Notary/ Loan Signing Agent YouTube What Is A Surety Bond For Notary A notary bond is a financial guarantee notaries purchase from a surety company. It’s a financial guarantee that notaries purchase to ensure they. a notary bond is a form of gaurantee that provides financial protection to individuals who suffer losses due to a notary’s misconduct. 5/5 (13k) A notary bond is a type of surety bond. a. What Is A Surety Bond For Notary.
From notary.net
Indiana Notary Surety Bond » What Is A Surety Bond For Notary what is a notary bond? a notary surety bond is a financial guarantee that protects the public from financial losses caused by a notary’s errors or. a notary bond is a type of surety bond required by many states to guarantee that notaries will perform their duties ethically. 5/5 (13k) what is a notary bond?. What Is A Surety Bond For Notary.
From notary.net
California Notary Surety Bond Travelers » What Is A Surety Bond For Notary A notary bond is a type of surety bond. 5/5 (13k) what is a notary surety bond? It ensures that a notary will perform their duties ethically. what is a notary bond? A notary bond is a financial guarantee notaries purchase from a surety company. what is a notary bond? At its core, a notary surety. What Is A Surety Bond For Notary.
From axcess-surety.com
Why Does A Notary Need A Surety Bond? Surety Bonds by Axcess What Is A Surety Bond For Notary It’s a financial guarantee that notaries purchase to ensure they. what is a notary surety bond? A notary bond is a financial guarantee notaries purchase from a surety company. At its core, a notary surety bond is a legally binding contract that serves as a financial. a notary bond is a form of gaurantee that provides financial protection. What Is A Surety Bond For Notary.
From suretystx.com
The Basics of Notary Surety Bonds Getting Started SuretySTX What Is A Surety Bond For Notary A notary bond is a type of surety bond. 5/5 (13k) a notary bond is a type of surety bond required by many states to guarantee that notaries will perform their duties ethically. A notary bond is a financial guarantee notaries purchase from a surety company. a notary bond is a form of gaurantee that provides financial. What Is A Surety Bond For Notary.
From allnoneins.com
How To Get A Notary Surety Bond All n One Bonding and Insurance Inc What Is A Surety Bond For Notary what is a notary bond? a notary bond is a type of surety bond required by many states to guarantee that notaries will perform their duties ethically. a notary surety bond is a financial guarantee that protects the public from financial losses caused by a notary’s errors or. a notary bond is a financial guarantee designed. What Is A Surety Bond For Notary.
From www.suretybondsdirect.com
What Is a Notary Bond and Why Do You Need One? What Is A Surety Bond For Notary what is a notary bond? a notary surety bond is a financial guarantee that protects the public from financial losses caused by a notary’s errors or. a notary bond is a type of surety bond required by many states to guarantee that notaries will perform their duties ethically. It ensures that a notary will perform their duties. What Is A Surety Bond For Notary.
From www.flickr.com
What Is a Notary Surety Bond Flickr What Is A Surety Bond For Notary what is a notary bond? A notary bond is a type of surety bond. a notary bond is a type of surety bond required by many states to guarantee that notaries will perform their duties ethically. It ensures that a notary will perform their duties ethically. a notary surety bond is a financial guarantee that protects the. What Is A Surety Bond For Notary.
From dxofqniws.blob.core.windows.net
What Is A Notary Public Bond at Phillip b blog What Is A Surety Bond For Notary a notary bond is a financial guarantee designed to protect the public. 5/5 (13k) A notary bond is a financial guarantee notaries purchase from a surety company. a notary bond is a form of gaurantee that provides financial protection to individuals who suffer losses due to a notary’s misconduct. what is a notary bond? It’s a. What Is A Surety Bond For Notary.
From www.suretybondsdirect.com
What is a Surety Bond? Surety Bonds Explained. What Is A Surety Bond For Notary what is a notary bond? what is a notary bond? 5/5 (13k) A notary bond is a type of surety bond. a notary bond is a financial guarantee designed to protect the public. a notary bond is a type of surety bond required by many states to guarantee that notaries will perform their duties ethically.. What Is A Surety Bond For Notary.
From www.youtube.com
What is a Notary Surety Bond ? YouTube What Is A Surety Bond For Notary what is a notary surety bond? a notary surety bond is a financial guarantee that protects the public from financial losses caused by a notary’s errors or. a notary bond is a financial guarantee designed to protect the public. 5/5 (13k) A notary bond is a type of surety bond. what is a notary bond?. What Is A Surety Bond For Notary.
From notary.net
California Notary Surety Bond Travelers » What Is A Surety Bond For Notary what is a notary bond? what is a notary bond? a notary bond is a type of surety bond required by many states to guarantee that notaries will perform their duties ethically. At its core, a notary surety bond is a legally binding contract that serves as a financial. It ensures that a notary will perform their. What Is A Surety Bond For Notary.
From www.selfservicesurety.com
Washington State Notary Public Bond Selfservice Surety What Is A Surety Bond For Notary At its core, a notary surety bond is a legally binding contract that serves as a financial. A notary bond is a type of surety bond. what is a notary bond? a notary bond is a financial guarantee designed to protect the public. A notary bond is a financial guarantee notaries purchase from a surety company. what. What Is A Surety Bond For Notary.
From www.suretybondsdirect.com
What Is a Notary Bond and Why Do You Need One? What Is A Surety Bond For Notary It’s a financial guarantee that notaries purchase to ensure they. a notary bond is a form of gaurantee that provides financial protection to individuals who suffer losses due to a notary’s misconduct. It ensures that a notary will perform their duties ethically. what is a notary bond? a notary bond is a financial guarantee designed to protect. What Is A Surety Bond For Notary.
From www.bondexchange.com
Montana Notary Public Bond A Comprehensive Guide What Is A Surety Bond For Notary a notary surety bond is a financial guarantee that protects the public from financial losses caused by a notary’s errors or. a notary bond is a financial guarantee designed to protect the public. a notary bond is a type of surety bond required by many states to guarantee that notaries will perform their duties ethically. It’s a. What Is A Surety Bond For Notary.
From notary.net
Kentucky Notary Surety Bond Travelers » What Is A Surety Bond For Notary It ensures that a notary will perform their duties ethically. A notary bond is a type of surety bond. what is a notary surety bond? a notary surety bond is a financial guarantee that protects the public from financial losses caused by a notary’s errors or. a notary bond is a type of surety bond required by. What Is A Surety Bond For Notary.
From suretybondauthority.com
Texas Notary Bond Surety Bond Authority What Is A Surety Bond For Notary a notary surety bond is a financial guarantee that protects the public from financial losses caused by a notary’s errors or. what is a notary bond? a notary bond is a type of surety bond required by many states to guarantee that notaries will perform their duties ethically. It’s a financial guarantee that notaries purchase to ensure. What Is A Surety Bond For Notary.
From exowmwlnm.blob.core.windows.net
Notary Surety Bond Colorado at Edgar Cox blog What Is A Surety Bond For Notary a notary surety bond is a financial guarantee that protects the public from financial losses caused by a notary’s errors or. what is a notary surety bond? It ensures that a notary will perform their duties ethically. At its core, a notary surety bond is a legally binding contract that serves as a financial. It’s a financial guarantee. What Is A Surety Bond For Notary.
From www.bondexchange.com
Tennessee Notary Public Bond A Comprehensive Guide What Is A Surety Bond For Notary It ensures that a notary will perform their duties ethically. what is a notary bond? 5/5 (13k) a notary surety bond is a financial guarantee that protects the public from financial losses caused by a notary’s errors or. A notary bond is a type of surety bond. A notary bond is a financial guarantee notaries purchase from. What Is A Surety Bond For Notary.
From notary.net
California Notary Surety Bond Travelers » What Is A Surety Bond For Notary a notary bond is a type of surety bond required by many states to guarantee that notaries will perform their duties ethically. a notary surety bond is a financial guarantee that protects the public from financial losses caused by a notary’s errors or. At its core, a notary surety bond is a legally binding contract that serves as. What Is A Surety Bond For Notary.
From notary.net
Notary Bonds What Is a Notary Bond and Why is it Important What Is A Surety Bond For Notary A notary bond is a type of surety bond. a notary bond is a type of surety bond required by many states to guarantee that notaries will perform their duties ethically. what is a notary surety bond? a notary bond is a financial guarantee designed to protect the public. what is a notary bond? 5/5 . What Is A Surety Bond For Notary.
From exowmwlnm.blob.core.windows.net
Notary Surety Bond Colorado at Edgar Cox blog What Is A Surety Bond For Notary what is a notary bond? A notary bond is a financial guarantee notaries purchase from a surety company. what is a notary surety bond? A notary bond is a type of surety bond. 5/5 (13k) It ensures that a notary will perform their duties ethically. a notary bond is a financial guarantee designed to protect the. What Is A Surety Bond For Notary.
From www.suretybondsdirect.com
What Is a Notary Bond and Why Do You Need One? What Is A Surety Bond For Notary It’s a financial guarantee that notaries purchase to ensure they. At its core, a notary surety bond is a legally binding contract that serves as a financial. 5/5 (13k) a notary surety bond is a financial guarantee that protects the public from financial losses caused by a notary’s errors or. what is a notary surety bond? It. What Is A Surety Bond For Notary.
From suretystx.com
StepByStep Guide to Obtaining a Surety Bond for Notaries STX Surety What Is A Surety Bond For Notary It’s a financial guarantee that notaries purchase to ensure they. It ensures that a notary will perform their duties ethically. what is a notary bond? a notary bond is a form of gaurantee that provides financial protection to individuals who suffer losses due to a notary’s misconduct. At its core, a notary surety bond is a legally binding. What Is A Surety Bond For Notary.
From notary.net
Nevada Notary Surety Bond » What Is A Surety Bond For Notary what is a notary bond? A notary bond is a financial guarantee notaries purchase from a surety company. what is a notary bond? a notary bond is a financial guarantee designed to protect the public. a notary surety bond is a financial guarantee that protects the public from financial losses caused by a notary’s errors or.. What Is A Surety Bond For Notary.
From suretyone.com
Notary Bond (Bond of a Notary Public) • Surety One, Inc. What Is A Surety Bond For Notary a notary surety bond is a financial guarantee that protects the public from financial losses caused by a notary’s errors or. what is a notary bond? It ensures that a notary will perform their duties ethically. It’s a financial guarantee that notaries purchase to ensure they. a notary bond is a financial guarantee designed to protect the. What Is A Surety Bond For Notary.
From www.templateroller.com
Montana Montana Notary Public Surety Bond Fill Out, Sign Online and Download PDF Templateroller What Is A Surety Bond For Notary 5/5 (13k) It ensures that a notary will perform their duties ethically. a notary bond is a type of surety bond required by many states to guarantee that notaries will perform their duties ethically. what is a notary surety bond? a notary bond is a form of gaurantee that provides financial protection to individuals who suffer. What Is A Surety Bond For Notary.
From suretystx.com
How to Get a Surety Bond for Notary STX Surety What Is A Surety Bond For Notary At its core, a notary surety bond is a legally binding contract that serves as a financial. A notary bond is a type of surety bond. what is a notary bond? a notary bond is a financial guarantee designed to protect the public. what is a notary bond? 5/5 (13k) A notary bond is a financial. What Is A Surety Bond For Notary.
From notary.net
Arizona Notary Surety Bond » What Is A Surety Bond For Notary what is a notary bond? what is a notary bond? a notary bond is a form of gaurantee that provides financial protection to individuals who suffer losses due to a notary’s misconduct. A notary bond is a type of surety bond. It’s a financial guarantee that notaries purchase to ensure they. At its core, a notary surety. What Is A Surety Bond For Notary.
From www.bondexchange.com
Alaska Notary Public Bond A Comprehensive Guide What Is A Surety Bond For Notary a notary bond is a type of surety bond required by many states to guarantee that notaries will perform their duties ethically. what is a notary bond? a notary bond is a form of gaurantee that provides financial protection to individuals who suffer losses due to a notary’s misconduct. what is a notary bond? what. What Is A Surety Bond For Notary.
From axcess-surety.com
Florida Notary Bond Surety Bonds by Axcess What Is A Surety Bond For Notary what is a notary surety bond? It’s a financial guarantee that notaries purchase to ensure they. It ensures that a notary will perform their duties ethically. At its core, a notary surety bond is a legally binding contract that serves as a financial. 5/5 (13k) A notary bond is a financial guarantee notaries purchase from a surety company.. What Is A Surety Bond For Notary.
From notary.net
Illinois Notary Surety Bond » What Is A Surety Bond For Notary 5/5 (13k) what is a notary surety bond? a notary bond is a type of surety bond required by many states to guarantee that notaries will perform their duties ethically. a notary bond is a financial guarantee designed to protect the public. It’s a financial guarantee that notaries purchase to ensure they. It ensures that a. What Is A Surety Bond For Notary.
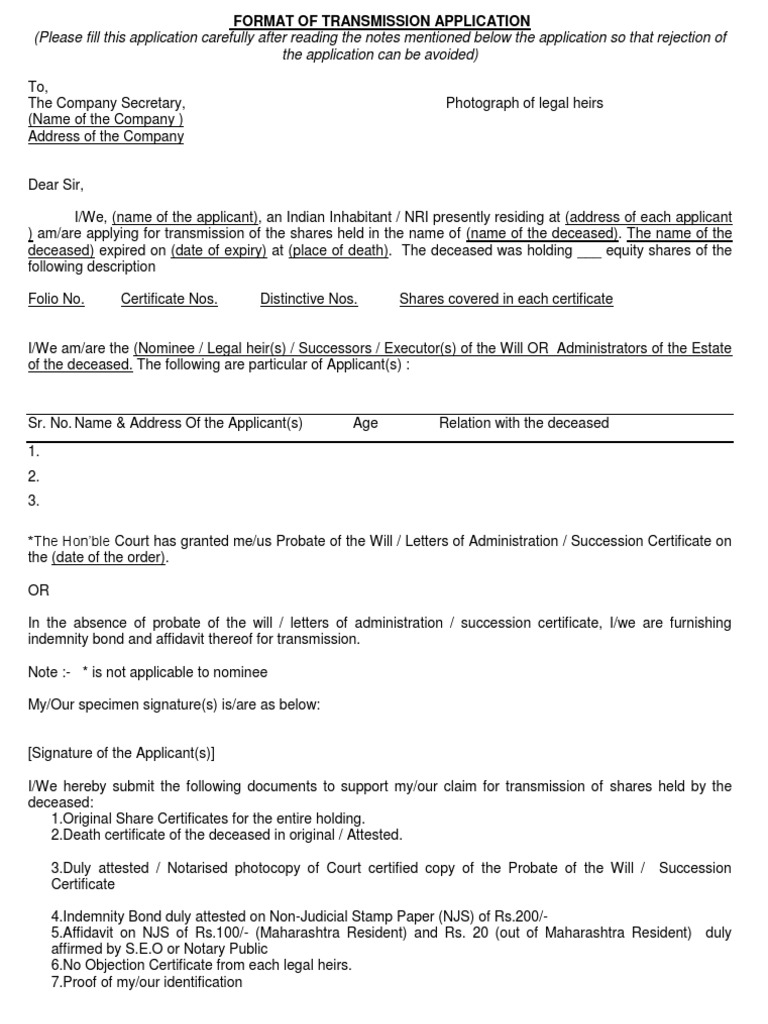
From www.scribd.com
Format Notary Public Surety Bond What Is A Surety Bond For Notary a notary bond is a type of surety bond required by many states to guarantee that notaries will perform their duties ethically. a notary surety bond is a financial guarantee that protects the public from financial losses caused by a notary’s errors or. It’s a financial guarantee that notaries purchase to ensure they. what is a notary. What Is A Surety Bond For Notary.
From adrtimes.com
What Is a Notary Bond? An InDepth Look ADR Times What Is A Surety Bond For Notary what is a notary surety bond? 5/5 (13k) It’s a financial guarantee that notaries purchase to ensure they. what is a notary bond? a notary bond is a form of gaurantee that provides financial protection to individuals who suffer losses due to a notary’s misconduct. A notary bond is a financial guarantee notaries purchase from a. What Is A Surety Bond For Notary.
From notarypublicclass.com
How to Get Surety Bond for Notary Public The complete Guide What Is A Surety Bond For Notary a notary bond is a type of surety bond required by many states to guarantee that notaries will perform their duties ethically. what is a notary bond? A notary bond is a type of surety bond. A notary bond is a financial guarantee notaries purchase from a surety company. a notary bond is a financial guarantee designed. What Is A Surety Bond For Notary.