Partitioning A Segment Worksheet Pdf Answer Key . Partitioning a segment means that you are going to take a line segment and break it into equal parts and then find a point that is a specific distance. Partitioning a segment notes sheet. Find the coordinates of point p that lies on the line segmentmq, m(‐9, ‐5), q(3, 5), and partitions the segment at a ratio of 2 to 5 use the map and. Students will practice finding the coordinates of a point that partitions a segment into a given ratio. Use coordinates to prove simple geometric theorems algebraically. Partitioning a line segment graphically 1. Find the coordinates of point q if it still divides. What if the line segment ab is on the coordinate plane? Partitioning a segment worksheet name_____ geometry date_____ period___ answer the following questions and show all work! Find the coordinates of point p that lies on the directed line segment from a(3, 4) to b (6,10) and partitions the segment.
from wks.udlvirtual.edu.pe
Partitioning a segment means that you are going to take a line segment and break it into equal parts and then find a point that is a specific distance. Find the coordinates of point q if it still divides. Students will practice finding the coordinates of a point that partitions a segment into a given ratio. Partitioning a segment worksheet name_____ geometry date_____ period___ answer the following questions and show all work! Partitioning a line segment graphically 1. Find the coordinates of point p that lies on the directed line segment from a(3, 4) to b (6,10) and partitions the segment. Find the coordinates of point p that lies on the line segmentmq, m(‐9, ‐5), q(3, 5), and partitions the segment at a ratio of 2 to 5 use the map and. What if the line segment ab is on the coordinate plane? Use coordinates to prove simple geometric theorems algebraically. Partitioning a segment notes sheet.
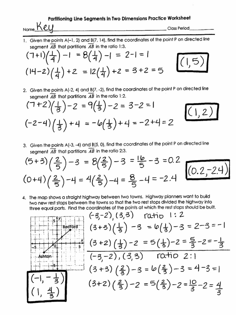
Partitioning Line Segments In Two Dimensions Practice Worksheet Worksheets Printable Free
Partitioning A Segment Worksheet Pdf Answer Key Find the coordinates of point q if it still divides. Partitioning a segment worksheet name_____ geometry date_____ period___ answer the following questions and show all work! Find the coordinates of point p that lies on the line segmentmq, m(‐9, ‐5), q(3, 5), and partitions the segment at a ratio of 2 to 5 use the map and. Partitioning a segment means that you are going to take a line segment and break it into equal parts and then find a point that is a specific distance. Find the coordinates of point p that lies on the directed line segment from a(3, 4) to b (6,10) and partitions the segment. Find the coordinates of point q if it still divides. Use coordinates to prove simple geometric theorems algebraically. What if the line segment ab is on the coordinate plane? Partitioning a line segment graphically 1. Partitioning a segment notes sheet. Students will practice finding the coordinates of a point that partitions a segment into a given ratio.
From excelguider.com
Partitioning A Line Segment Worksheet — Partitioning A Segment Worksheet Pdf Answer Key Find the coordinates of point p that lies on the line segmentmq, m(‐9, ‐5), q(3, 5), and partitions the segment at a ratio of 2 to 5 use the map and. Students will practice finding the coordinates of a point that partitions a segment into a given ratio. Partitioning a segment notes sheet. Use coordinates to prove simple geometric theorems. Partitioning A Segment Worksheet Pdf Answer Key.
From studyingworksheets.com
Partitioning A Line Segment Worksheet Studying Worksheets Partitioning A Segment Worksheet Pdf Answer Key Use coordinates to prove simple geometric theorems algebraically. Partitioning a segment worksheet name_____ geometry date_____ period___ answer the following questions and show all work! Partitioning a segment means that you are going to take a line segment and break it into equal parts and then find a point that is a specific distance. Find the coordinates of point p that. Partitioning A Segment Worksheet Pdf Answer Key.
From www.nagwa.com
Lesson Video Partitioning a Line Segment on the Coordinate Plane Nagwa Partitioning A Segment Worksheet Pdf Answer Key Partitioning a segment worksheet name_____ geometry date_____ period___ answer the following questions and show all work! Use coordinates to prove simple geometric theorems algebraically. What if the line segment ab is on the coordinate plane? Find the coordinates of point p that lies on the directed line segment from a(3, 4) to b (6,10) and partitions the segment. Partitioning a. Partitioning A Segment Worksheet Pdf Answer Key.
From materialsienna99.s3-website-us-east-1.amazonaws.com
Partitioning Line Segments In Two Dimensions Practice Worksheet Partitioning A Segment Worksheet Pdf Answer Key Partitioning a segment notes sheet. Find the coordinates of point p that lies on the directed line segment from a(3, 4) to b (6,10) and partitions the segment. Find the coordinates of point p that lies on the line segmentmq, m(‐9, ‐5), q(3, 5), and partitions the segment at a ratio of 2 to 5 use the map and. Students. Partitioning A Segment Worksheet Pdf Answer Key.
From lindsaybowden.com
Partitioning a Line Segment Notes and Worksheets Lindsay Bowden Partitioning A Segment Worksheet Pdf Answer Key Students will practice finding the coordinates of a point that partitions a segment into a given ratio. Partitioning a segment notes sheet. Use coordinates to prove simple geometric theorems algebraically. Find the coordinates of point p that lies on the line segmentmq, m(‐9, ‐5), q(3, 5), and partitions the segment at a ratio of 2 to 5 use the map. Partitioning A Segment Worksheet Pdf Answer Key.
From tomdunnacademy.org
A StepbyStep Guide to Partitioning a Line Segment Worksheet and Answers Included Partitioning A Segment Worksheet Pdf Answer Key Find the coordinates of point p that lies on the directed line segment from a(3, 4) to b (6,10) and partitions the segment. Partitioning a segment notes sheet. Find the coordinates of point p that lies on the line segmentmq, m(‐9, ‐5), q(3, 5), and partitions the segment at a ratio of 2 to 5 use the map and. What. Partitioning A Segment Worksheet Pdf Answer Key.
From www.youtube.com
Day 13 HW (01 to 05) How to Partition a Directed Line Segment without a Formula YouTube Partitioning A Segment Worksheet Pdf Answer Key What if the line segment ab is on the coordinate plane? Find the coordinates of point p that lies on the line segmentmq, m(‐9, ‐5), q(3, 5), and partitions the segment at a ratio of 2 to 5 use the map and. Find the coordinates of point p that lies on the directed line segment from a(3, 4) to b. Partitioning A Segment Worksheet Pdf Answer Key.
From tomdunnacademy.org
A StepbyStep Guide to Partitioning a Line Segment Worksheet and Answers Included Partitioning A Segment Worksheet Pdf Answer Key Partitioning a segment worksheet name_____ geometry date_____ period___ answer the following questions and show all work! Find the coordinates of point p that lies on the line segmentmq, m(‐9, ‐5), q(3, 5), and partitions the segment at a ratio of 2 to 5 use the map and. Partitioning a segment notes sheet. Partitioning a segment means that you are going. Partitioning A Segment Worksheet Pdf Answer Key.
From wks.udlvirtual.edu.pe
Partitioning Line Segments In Two Dimensions Practice Worksheet Worksheets Printable Free Partitioning A Segment Worksheet Pdf Answer Key Find the coordinates of point p that lies on the directed line segment from a(3, 4) to b (6,10) and partitions the segment. Partitioning a segment means that you are going to take a line segment and break it into equal parts and then find a point that is a specific distance. Find the coordinates of point p that lies. Partitioning A Segment Worksheet Pdf Answer Key.
From drive.google.com
1.3b Notes; Partitioning a Directed Line Segment.pdf Google Drive Partitioning A Segment Worksheet Pdf Answer Key Partitioning a segment means that you are going to take a line segment and break it into equal parts and then find a point that is a specific distance. Partitioning a line segment graphically 1. Partitioning a segment worksheet name_____ geometry date_____ period___ answer the following questions and show all work! Find the coordinates of point q if it still. Partitioning A Segment Worksheet Pdf Answer Key.
From www.transtutors.com
(Solved) Name Date Unit 1 Geometry Basics Per Homework 4 Partitioning... (1 Answer Partitioning A Segment Worksheet Pdf Answer Key Partitioning a segment means that you are going to take a line segment and break it into equal parts and then find a point that is a specific distance. Find the coordinates of point q if it still divides. Find the coordinates of point p that lies on the line segmentmq, m(‐9, ‐5), q(3, 5), and partitions the segment at. Partitioning A Segment Worksheet Pdf Answer Key.
From www.gauthmath.com
Solved Unit 1 Geometry Basics Name Per_ Homework 4 Partitioning a Segment _ Date ** Thi [Math] Partitioning A Segment Worksheet Pdf Answer Key Find the coordinates of point p that lies on the directed line segment from a(3, 4) to b (6,10) and partitions the segment. Find the coordinates of point p that lies on the line segmentmq, m(‐9, ‐5), q(3, 5), and partitions the segment at a ratio of 2 to 5 use the map and. Partitioning a segment means that you. Partitioning A Segment Worksheet Pdf Answer Key.
From worksheets.clipart-library.com
Partition Line Segments (2 Dimensions) ppt download Worksheets Library Partitioning A Segment Worksheet Pdf Answer Key Students will practice finding the coordinates of a point that partitions a segment into a given ratio. Use coordinates to prove simple geometric theorems algebraically. Partitioning a segment notes sheet. What if the line segment ab is on the coordinate plane? Find the coordinates of point p that lies on the directed line segment from a(3, 4) to b (6,10). Partitioning A Segment Worksheet Pdf Answer Key.
From quizzdbhirsch.z21.web.core.windows.net
Partitioning A Segment Worksheet Partitioning A Segment Worksheet Pdf Answer Key Partitioning a segment notes sheet. Find the coordinates of point q if it still divides. Partitioning a segment worksheet name_____ geometry date_____ period___ answer the following questions and show all work! Partitioning a segment means that you are going to take a line segment and break it into equal parts and then find a point that is a specific distance.. Partitioning A Segment Worksheet Pdf Answer Key.
From printablefullsandra.z19.web.core.windows.net
Partition A Line Segment Worksheet Partitioning A Segment Worksheet Pdf Answer Key Partitioning a segment means that you are going to take a line segment and break it into equal parts and then find a point that is a specific distance. Use coordinates to prove simple geometric theorems algebraically. Find the coordinates of point q if it still divides. What if the line segment ab is on the coordinate plane? Find the. Partitioning A Segment Worksheet Pdf Answer Key.
From worksheetfullaryana99.z21.web.core.windows.net
Partition A Line Segment Worksheet Partitioning A Segment Worksheet Pdf Answer Key Find the coordinates of point q if it still divides. Find the coordinates of point p that lies on the line segmentmq, m(‐9, ‐5), q(3, 5), and partitions the segment at a ratio of 2 to 5 use the map and. Partitioning a segment notes sheet. Use coordinates to prove simple geometric theorems algebraically. Students will practice finding the coordinates. Partitioning A Segment Worksheet Pdf Answer Key.
From www.scribd.com
Partition A Segment Worksheet PDF Partitioning A Segment Worksheet Pdf Answer Key Find the coordinates of point q if it still divides. Students will practice finding the coordinates of a point that partitions a segment into a given ratio. Use coordinates to prove simple geometric theorems algebraically. Partitioning a line segment graphically 1. What if the line segment ab is on the coordinate plane? Partitioning a segment notes sheet. Partitioning a segment. Partitioning A Segment Worksheet Pdf Answer Key.
From www.formsbank.com
Partitioning Rectangles Math Worksheet With Answer Key printable pdf download Partitioning A Segment Worksheet Pdf Answer Key Find the coordinates of point p that lies on the directed line segment from a(3, 4) to b (6,10) and partitions the segment. Partitioning a segment means that you are going to take a line segment and break it into equal parts and then find a point that is a specific distance. Partitioning a line segment graphically 1. Use coordinates. Partitioning A Segment Worksheet Pdf Answer Key.
From quizzdbgerste.z4.web.core.windows.net
Partition A Segment Worksheet Partitioning A Segment Worksheet Pdf Answer Key Partitioning a segment means that you are going to take a line segment and break it into equal parts and then find a point that is a specific distance. Find the coordinates of point p that lies on the directed line segment from a(3, 4) to b (6,10) and partitions the segment. Partitioning a segment worksheet name_____ geometry date_____ period___. Partitioning A Segment Worksheet Pdf Answer Key.
From www.divisonworksheets.com
Division Of A Line Segment Worksheet With Answers Partitioning A Segment Worksheet Pdf Answer Key Partitioning a segment notes sheet. Students will practice finding the coordinates of a point that partitions a segment into a given ratio. What if the line segment ab is on the coordinate plane? Partitioning a segment worksheet name_____ geometry date_____ period___ answer the following questions and show all work! Find the coordinates of point p that lies on the directed. Partitioning A Segment Worksheet Pdf Answer Key.
From www.formsbank.com
Partitioning And Labeling Numberline Fractions Worksheet With Answer Key printable pdf download Partitioning A Segment Worksheet Pdf Answer Key Find the coordinates of point p that lies on the directed line segment from a(3, 4) to b (6,10) and partitions the segment. What if the line segment ab is on the coordinate plane? Find the coordinates of point p that lies on the line segmentmq, m(‐9, ‐5), q(3, 5), and partitions the segment at a ratio of 2 to. Partitioning A Segment Worksheet Pdf Answer Key.
From lindsaybowden.com
Partitioning a Line Segment Notes and Worksheets Lindsay Bowden Partitioning A Segment Worksheet Pdf Answer Key Find the coordinates of point q if it still divides. Find the coordinates of point p that lies on the line segmentmq, m(‐9, ‐5), q(3, 5), and partitions the segment at a ratio of 2 to 5 use the map and. Find the coordinates of point p that lies on the directed line segment from a(3, 4) to b (6,10). Partitioning A Segment Worksheet Pdf Answer Key.
From w4personalallowancesworksheet.blogspot.com
Partitioning A Line Segment Worksheet Geometry Answer Key High School Math Worksheets Partitioning A Segment Worksheet Pdf Answer Key Partitioning a segment worksheet name_____ geometry date_____ period___ answer the following questions and show all work! Students will practice finding the coordinates of a point that partitions a segment into a given ratio. Find the coordinates of point p that lies on the directed line segment from a(3, 4) to b (6,10) and partitions the segment. Find the coordinates of. Partitioning A Segment Worksheet Pdf Answer Key.
From www.pinterest.com
Partitioning a Line Segment Notes and Worksheets Lindsay Bowden High school geometry notes Partitioning A Segment Worksheet Pdf Answer Key Find the coordinates of point p that lies on the line segmentmq, m(‐9, ‐5), q(3, 5), and partitions the segment at a ratio of 2 to 5 use the map and. Partitioning a segment means that you are going to take a line segment and break it into equal parts and then find a point that is a specific distance.. Partitioning A Segment Worksheet Pdf Answer Key.
From www.scribd.com
Partitioning a Directed Line Segment Partitioning A Segment Worksheet Pdf Answer Key Find the coordinates of point p that lies on the line segmentmq, m(‐9, ‐5), q(3, 5), and partitions the segment at a ratio of 2 to 5 use the map and. Find the coordinates of point p that lies on the directed line segment from a(3, 4) to b (6,10) and partitions the segment. Find the coordinates of point q. Partitioning A Segment Worksheet Pdf Answer Key.
From printableschooljeff.z21.web.core.windows.net
Partition A Line Segment Worksheet Partitioning A Segment Worksheet Pdf Answer Key What if the line segment ab is on the coordinate plane? Find the coordinates of point p that lies on the line segmentmq, m(‐9, ‐5), q(3, 5), and partitions the segment at a ratio of 2 to 5 use the map and. Partitioning a line segment graphically 1. Find the coordinates of point q if it still divides. Partitioning a. Partitioning A Segment Worksheet Pdf Answer Key.
From wks.udlvirtual.edu.pe
Partitioning Line Segments In Two Dimensions Practice Worksheet Worksheets Printable Free Partitioning A Segment Worksheet Pdf Answer Key Use coordinates to prove simple geometric theorems algebraically. Partitioning a line segment graphically 1. Students will practice finding the coordinates of a point that partitions a segment into a given ratio. Find the coordinates of point q if it still divides. Find the coordinates of point p that lies on the directed line segment from a(3, 4) to b (6,10). Partitioning A Segment Worksheet Pdf Answer Key.
From www.templateroller.com
Partitioning Shapes Worksheet With Answer Key Download Printable PDF Templateroller Partitioning A Segment Worksheet Pdf Answer Key Use coordinates to prove simple geometric theorems algebraically. Students will practice finding the coordinates of a point that partitions a segment into a given ratio. Partitioning a segment means that you are going to take a line segment and break it into equal parts and then find a point that is a specific distance. Partitioning a line segment graphically 1.. Partitioning A Segment Worksheet Pdf Answer Key.
From lessonlibrarykewpie.z22.web.core.windows.net
Partitioning Line Segments In Two Dimensions Practice Worksh Partitioning A Segment Worksheet Pdf Answer Key Partitioning a segment notes sheet. Find the coordinates of point p that lies on the directed line segment from a(3, 4) to b (6,10) and partitions the segment. Find the coordinates of point q if it still divides. Partitioning a segment worksheet name_____ geometry date_____ period___ answer the following questions and show all work! Partitioning a segment means that you. Partitioning A Segment Worksheet Pdf Answer Key.
From lindsaybowden.com
Partitioning a Line Segment Notes and Worksheets Lindsay Bowden Partitioning A Segment Worksheet Pdf Answer Key Students will practice finding the coordinates of a point that partitions a segment into a given ratio. Find the coordinates of point q if it still divides. Partitioning a segment worksheet name_____ geometry date_____ period___ answer the following questions and show all work! What if the line segment ab is on the coordinate plane? Partitioning a line segment graphically 1.. Partitioning A Segment Worksheet Pdf Answer Key.
From www.formsbank.com
Partitioning Shapes Worksheet With Answer Key printable pdf download Partitioning A Segment Worksheet Pdf Answer Key Find the coordinates of point p that lies on the line segmentmq, m(‐9, ‐5), q(3, 5), and partitions the segment at a ratio of 2 to 5 use the map and. What if the line segment ab is on the coordinate plane? Partitioning a segment means that you are going to take a line segment and break it into equal. Partitioning A Segment Worksheet Pdf Answer Key.
From worksheetfullaryana99.z21.web.core.windows.net
Partitioning A Line Segment Worksheet Partitioning A Segment Worksheet Pdf Answer Key Students will practice finding the coordinates of a point that partitions a segment into a given ratio. Find the coordinates of point q if it still divides. What if the line segment ab is on the coordinate plane? Use coordinates to prove simple geometric theorems algebraically. Find the coordinates of point p that lies on the line segmentmq, m(‐9, ‐5),. Partitioning A Segment Worksheet Pdf Answer Key.
From live.midifan.com
Worksheet 12 Measuring Segments Answer Key Partitioning A Segment Worksheet Pdf Answer Key Partitioning a segment worksheet name_____ geometry date_____ period___ answer the following questions and show all work! Find the coordinates of point p that lies on the line segmentmq, m(‐9, ‐5), q(3, 5), and partitions the segment at a ratio of 2 to 5 use the map and. Find the coordinates of point q if it still divides. Partitioning a segment. Partitioning A Segment Worksheet Pdf Answer Key.
From studylib.net
Partitioning Segments Worksheet Partitioning A Segment Worksheet Pdf Answer Key Partitioning a segment notes sheet. Find the coordinates of point p that lies on the directed line segment from a(3, 4) to b (6,10) and partitions the segment. Partitioning a line segment graphically 1. Find the coordinates of point p that lies on the line segmentmq, m(‐9, ‐5), q(3, 5), and partitions the segment at a ratio of 2 to. Partitioning A Segment Worksheet Pdf Answer Key.
From lessonlibrarykalb.z21.web.core.windows.net
Partitioning A Line Segment Worksheet With Answers Partitioning A Segment Worksheet Pdf Answer Key What if the line segment ab is on the coordinate plane? Partitioning a segment notes sheet. Find the coordinates of point p that lies on the line segmentmq, m(‐9, ‐5), q(3, 5), and partitions the segment at a ratio of 2 to 5 use the map and. Find the coordinates of point q if it still divides. Partitioning a segment. Partitioning A Segment Worksheet Pdf Answer Key.