Math Chess Problems . The field of chess puzzles is extremely diverse. You can learn more about the rules and history of chess here. Turn stockfish off and if you can, put the position on a real board. Problem solving, spatial awareness, critical thinking, sequential reasoning, critical thinking, memory and recall, pattern recognition, and. Your goal is to calculate as many moves ahead as possible. Chess is a popular game of strategy between 2 players. It includes practical exercises to train one's skills at the game, compositions to illustrate beauty and fun/themed challenges,. If we judge by the time it took for strong chess players to solve a puzzle, then the most difficult puzzles in chess are not very traditional ones.
from www.wikihow.com
If we judge by the time it took for strong chess players to solve a puzzle, then the most difficult puzzles in chess are not very traditional ones. It includes practical exercises to train one's skills at the game, compositions to illustrate beauty and fun/themed challenges,. Problem solving, spatial awareness, critical thinking, sequential reasoning, critical thinking, memory and recall, pattern recognition, and. The field of chess puzzles is extremely diverse. Your goal is to calculate as many moves ahead as possible. Chess is a popular game of strategy between 2 players. You can learn more about the rules and history of chess here. Turn stockfish off and if you can, put the position on a real board.
10 Ways to Read Algebraic Chess Notation wikiHow
Math Chess Problems It includes practical exercises to train one's skills at the game, compositions to illustrate beauty and fun/themed challenges,. Problem solving, spatial awareness, critical thinking, sequential reasoning, critical thinking, memory and recall, pattern recognition, and. It includes practical exercises to train one's skills at the game, compositions to illustrate beauty and fun/themed challenges,. If we judge by the time it took for strong chess players to solve a puzzle, then the most difficult puzzles in chess are not very traditional ones. The field of chess puzzles is extremely diverse. Turn stockfish off and if you can, put the position on a real board. You can learn more about the rules and history of chess here. Chess is a popular game of strategy between 2 players. Your goal is to calculate as many moves ahead as possible.
From www.wikihow.com
10 Ways to Read Algebraic Chess Notation wikiHow Math Chess Problems The field of chess puzzles is extremely diverse. Turn stockfish off and if you can, put the position on a real board. You can learn more about the rules and history of chess here. If we judge by the time it took for strong chess players to solve a puzzle, then the most difficult puzzles in chess are not very. Math Chess Problems.
From chesspuzzlesonline.com
Mate in 2 chess puzzles Solve Chess Problems Mate in 2 Moves Math Chess Problems Chess is a popular game of strategy between 2 players. It includes practical exercises to train one's skills at the game, compositions to illustrate beauty and fun/themed challenges,. Your goal is to calculate as many moves ahead as possible. You can learn more about the rules and history of chess here. If we judge by the time it took for. Math Chess Problems.
From www.desertcart.com.pa
Buy 500 Chess Puzzles, Mate in 1, Beginner Level Solve chess problems and improve your chess Math Chess Problems You can learn more about the rules and history of chess here. Your goal is to calculate as many moves ahead as possible. Chess is a popular game of strategy between 2 players. Turn stockfish off and if you can, put the position on a real board. It includes practical exercises to train one's skills at the game, compositions to. Math Chess Problems.
From quotefancy.com
G.H. Hardy Quote “A chess problem is an exercise in pure mathematics.” Math Chess Problems Chess is a popular game of strategy between 2 players. Your goal is to calculate as many moves ahead as possible. Turn stockfish off and if you can, put the position on a real board. You can learn more about the rules and history of chess here. It includes practical exercises to train one's skills at the game, compositions to. Math Chess Problems.
From www.scribd.com
Howard Spectacular Chess Problems 200 Spectacular Chess Puzzles That Shock Your Mind TO Math Chess Problems Chess is a popular game of strategy between 2 players. You can learn more about the rules and history of chess here. Your goal is to calculate as many moves ahead as possible. It includes practical exercises to train one's skills at the game, compositions to illustrate beauty and fun/themed challenges,. Turn stockfish off and if you can, put the. Math Chess Problems.
From mavink.com
Chess Board Printable X Diagrams Math Chess Problems Turn stockfish off and if you can, put the position on a real board. You can learn more about the rules and history of chess here. Chess is a popular game of strategy between 2 players. It includes practical exercises to train one's skills at the game, compositions to illustrate beauty and fun/themed challenges,. Your goal is to calculate as. Math Chess Problems.
From www.mdpi.com
Mathematics Free FullText On Primitive Recursive Characteristics of Chess HTML Math Chess Problems It includes practical exercises to train one's skills at the game, compositions to illustrate beauty and fun/themed challenges,. Turn stockfish off and if you can, put the position on a real board. Problem solving, spatial awareness, critical thinking, sequential reasoning, critical thinking, memory and recall, pattern recognition, and. If we judge by the time it took for strong chess players. Math Chess Problems.
From www.pinterest.com
500 Chess Puzzles, Mate in 1, Beginner Level Solve chess problems and improve your tactical Math Chess Problems It includes practical exercises to train one's skills at the game, compositions to illustrate beauty and fun/themed challenges,. Problem solving, spatial awareness, critical thinking, sequential reasoning, critical thinking, memory and recall, pattern recognition, and. Chess is a popular game of strategy between 2 players. Your goal is to calculate as many moves ahead as possible. If we judge by the. Math Chess Problems.
From fivethirtyeight.com
Can You Outsmart Our Elementary School Math Problems? FiveThirtyEight Math Chess Problems The field of chess puzzles is extremely diverse. Your goal is to calculate as many moves ahead as possible. Turn stockfish off and if you can, put the position on a real board. It includes practical exercises to train one's skills at the game, compositions to illustrate beauty and fun/themed challenges,. Chess is a popular game of strategy between 2. Math Chess Problems.
From www.alamy.com
Chess problem puzzle with solution. Easy difficulty chess problem illustration Stock Vector Math Chess Problems You can learn more about the rules and history of chess here. Turn stockfish off and if you can, put the position on a real board. It includes practical exercises to train one's skills at the game, compositions to illustrate beauty and fun/themed challenges,. The field of chess puzzles is extremely diverse. Problem solving, spatial awareness, critical thinking, sequential reasoning,. Math Chess Problems.
From www.dreamstime.com
Math Education for Children. Solve Examples and Write the Numbers of the Places Where Each Chess Math Chess Problems You can learn more about the rules and history of chess here. Chess is a popular game of strategy between 2 players. It includes practical exercises to train one's skills at the game, compositions to illustrate beauty and fun/themed challenges,. Turn stockfish off and if you can, put the position on a real board. The field of chess puzzles is. Math Chess Problems.
From chesseasy.com
Are Chess Players Good At Math? (With Study Reports) Math Chess Problems Chess is a popular game of strategy between 2 players. Your goal is to calculate as many moves ahead as possible. Turn stockfish off and if you can, put the position on a real board. It includes practical exercises to train one's skills at the game, compositions to illustrate beauty and fun/themed challenges,. The field of chess puzzles is extremely. Math Chess Problems.
From www.semanticscholar.org
Figure 1 from Impact of Chess Training on Mathematics Performance and Concentration Ability of Math Chess Problems Turn stockfish off and if you can, put the position on a real board. Chess is a popular game of strategy between 2 players. You can learn more about the rules and history of chess here. The field of chess puzzles is extremely diverse. It includes practical exercises to train one's skills at the game, compositions to illustrate beauty and. Math Chess Problems.
From www.slideserve.com
PPT Domain of chess problem PowerPoint Presentation, free download ID8717269 Math Chess Problems Problem solving, spatial awareness, critical thinking, sequential reasoning, critical thinking, memory and recall, pattern recognition, and. Your goal is to calculate as many moves ahead as possible. Chess is a popular game of strategy between 2 players. The field of chess puzzles is extremely diverse. If we judge by the time it took for strong chess players to solve a. Math Chess Problems.
From sjakkhuset.no
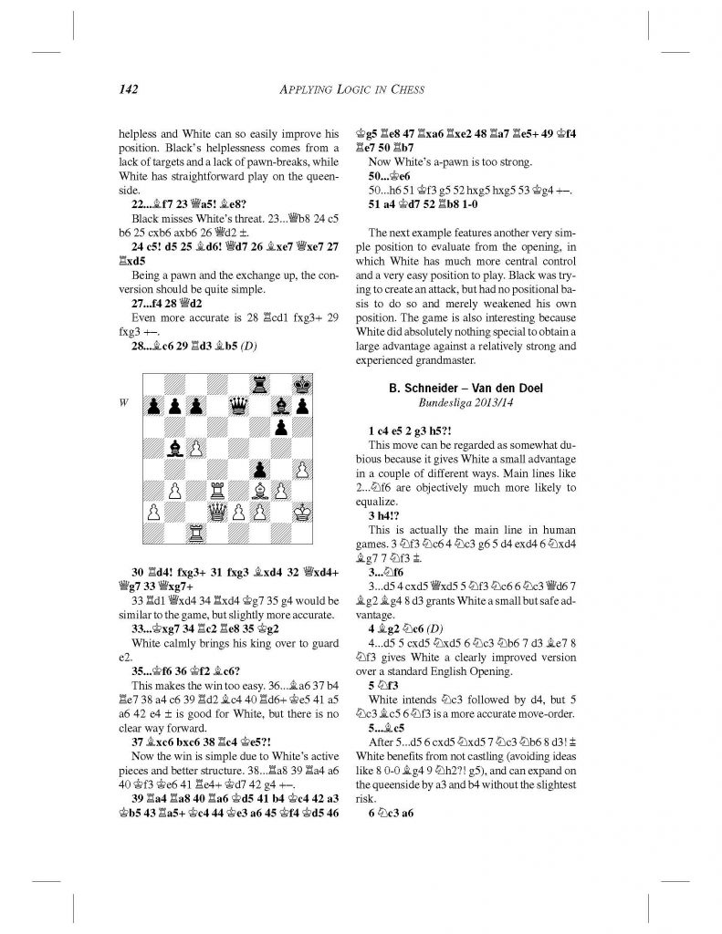
Applying logic in chess — Sjakkhuset Math Chess Problems You can learn more about the rules and history of chess here. It includes practical exercises to train one's skills at the game, compositions to illustrate beauty and fun/themed challenges,. If we judge by the time it took for strong chess players to solve a puzzle, then the most difficult puzzles in chess are not very traditional ones. The field. Math Chess Problems.
From matematicascercanas.com
Chess Math MatematicasCercanas Math Chess Problems Chess is a popular game of strategy between 2 players. Your goal is to calculate as many moves ahead as possible. Turn stockfish off and if you can, put the position on a real board. You can learn more about the rules and history of chess here. Problem solving, spatial awareness, critical thinking, sequential reasoning, critical thinking, memory and recall,. Math Chess Problems.
From www.norledgemaths.com
Exponential growth and the chessboard problems Math Chess Problems The field of chess puzzles is extremely diverse. If we judge by the time it took for strong chess players to solve a puzzle, then the most difficult puzzles in chess are not very traditional ones. Your goal is to calculate as many moves ahead as possible. Chess is a popular game of strategy between 2 players. Problem solving, spatial. Math Chess Problems.
From www.royalmacro.com
mathematics behind chess Math Chess Problems If we judge by the time it took for strong chess players to solve a puzzle, then the most difficult puzzles in chess are not very traditional ones. Problem solving, spatial awareness, critical thinking, sequential reasoning, critical thinking, memory and recall, pattern recognition, and. The field of chess puzzles is extremely diverse. Your goal is to calculate as many moves. Math Chess Problems.
From www.chess.com
The impossible math problem Math Chess Problems Turn stockfish off and if you can, put the position on a real board. It includes practical exercises to train one's skills at the game, compositions to illustrate beauty and fun/themed challenges,. If we judge by the time it took for strong chess players to solve a puzzle, then the most difficult puzzles in chess are not very traditional ones.. Math Chess Problems.
From circuitwiringmarco.z19.web.core.windows.net
Grade 1 Chess Pieces Math Worksheet Math Chess Problems Your goal is to calculate as many moves ahead as possible. Turn stockfish off and if you can, put the position on a real board. It includes practical exercises to train one's skills at the game, compositions to illustrate beauty and fun/themed challenges,. Chess is a popular game of strategy between 2 players. You can learn more about the rules. Math Chess Problems.
From www.youtube.com
Discrete Math Chess Project Reasoning YouTube Math Chess Problems If we judge by the time it took for strong chess players to solve a puzzle, then the most difficult puzzles in chess are not very traditional ones. Chess is a popular game of strategy between 2 players. It includes practical exercises to train one's skills at the game, compositions to illustrate beauty and fun/themed challenges,. You can learn more. Math Chess Problems.
From www.youtube.com
A Math / Puzzle / Chess Problem 3 YouTube Math Chess Problems It includes practical exercises to train one's skills at the game, compositions to illustrate beauty and fun/themed challenges,. Turn stockfish off and if you can, put the position on a real board. Your goal is to calculate as many moves ahead as possible. You can learn more about the rules and history of chess here. If we judge by the. Math Chess Problems.
From www.scribd.com
Chess Problems for Solving Math Chess Problems Chess is a popular game of strategy between 2 players. Problem solving, spatial awareness, critical thinking, sequential reasoning, critical thinking, memory and recall, pattern recognition, and. Turn stockfish off and if you can, put the position on a real board. It includes practical exercises to train one's skills at the game, compositions to illustrate beauty and fun/themed challenges,. If we. Math Chess Problems.
From chessbase.in
New Year Countup When math and chess entwine ChessBase India Math Chess Problems Turn stockfish off and if you can, put the position on a real board. The field of chess puzzles is extremely diverse. Chess is a popular game of strategy between 2 players. You can learn more about the rules and history of chess here. Problem solving, spatial awareness, critical thinking, sequential reasoning, critical thinking, memory and recall, pattern recognition, and.. Math Chess Problems.
From www.youtube.com
Chess Board Probability Problem YouTube Math Chess Problems Your goal is to calculate as many moves ahead as possible. Turn stockfish off and if you can, put the position on a real board. It includes practical exercises to train one's skills at the game, compositions to illustrate beauty and fun/themed challenges,. You can learn more about the rules and history of chess here. Problem solving, spatial awareness, critical. Math Chess Problems.
From www.etsy.com
Chess Sketch Math Worksheets for Kids 's 100999 3 Etsy Math Chess Problems If we judge by the time it took for strong chess players to solve a puzzle, then the most difficult puzzles in chess are not very traditional ones. Chess is a popular game of strategy between 2 players. The field of chess puzzles is extremely diverse. You can learn more about the rules and history of chess here. Your goal. Math Chess Problems.
From www.the99puzzle.com
Chess puzzle picture math equation with answer The 99 Puzzle Math Chess Problems Problem solving, spatial awareness, critical thinking, sequential reasoning, critical thinking, memory and recall, pattern recognition, and. If we judge by the time it took for strong chess players to solve a puzzle, then the most difficult puzzles in chess are not very traditional ones. Chess is a popular game of strategy between 2 players. You can learn more about the. Math Chess Problems.
From www.pinterest.com
Can You Solve The Knight On A Chessboard Riddle? Math Olympiad Problem Math olympiad problems Math Chess Problems Chess is a popular game of strategy between 2 players. Your goal is to calculate as many moves ahead as possible. Turn stockfish off and if you can, put the position on a real board. The field of chess puzzles is extremely diverse. It includes practical exercises to train one's skills at the game, compositions to illustrate beauty and fun/themed. Math Chess Problems.
From www.researchgate.net
Representation of the three chessbased problemsolving tasks by level... Download Scientific Math Chess Problems Problem solving, spatial awareness, critical thinking, sequential reasoning, critical thinking, memory and recall, pattern recognition, and. You can learn more about the rules and history of chess here. If we judge by the time it took for strong chess players to solve a puzzle, then the most difficult puzzles in chess are not very traditional ones. Chess is a popular. Math Chess Problems.
From www.kidsacademy.mobi
Chess and Math Chess Math Games, Problems & Connection Math Chess Problems If we judge by the time it took for strong chess players to solve a puzzle, then the most difficult puzzles in chess are not very traditional ones. It includes practical exercises to train one's skills at the game, compositions to illustrate beauty and fun/themed challenges,. Chess is a popular game of strategy between 2 players. Your goal is to. Math Chess Problems.
From chessplus.net
Chess and Maths Puzzles ChessPlus Math Chess Problems Your goal is to calculate as many moves ahead as possible. Problem solving, spatial awareness, critical thinking, sequential reasoning, critical thinking, memory and recall, pattern recognition, and. Chess is a popular game of strategy between 2 players. You can learn more about the rules and history of chess here. If we judge by the time it took for strong chess. Math Chess Problems.
From voodooguru23.blogspot.com
Mathematical Meanderings The Mathematics of Chess Math Chess Problems It includes practical exercises to train one's skills at the game, compositions to illustrate beauty and fun/themed challenges,. Your goal is to calculate as many moves ahead as possible. The field of chess puzzles is extremely diverse. Chess is a popular game of strategy between 2 players. Turn stockfish off and if you can, put the position on a real. Math Chess Problems.
From chessstrategy.blogspot.com
Chess Strategy Problem Solving Skills In Math Concepts And Chess Strategy Math Chess Problems You can learn more about the rules and history of chess here. It includes practical exercises to train one's skills at the game, compositions to illustrate beauty and fun/themed challenges,. Turn stockfish off and if you can, put the position on a real board. Problem solving, spatial awareness, critical thinking, sequential reasoning, critical thinking, memory and recall, pattern recognition, and.. Math Chess Problems.
From www.pinterest.ie
Free Checkmate Problem Worksheets! Below are a collection of free chess puzzle worksheets along Math Chess Problems Your goal is to calculate as many moves ahead as possible. Turn stockfish off and if you can, put the position on a real board. Chess is a popular game of strategy between 2 players. If we judge by the time it took for strong chess players to solve a puzzle, then the most difficult puzzles in chess are not. Math Chess Problems.