Differential And Integral Analysis Qmul . module information for mth5105, differential and integral analysis, at queen mary, university of london define the riemann integral, and state its properties. State the fundamental theorem of calculus and apply it to the calculation of. You should attempt all questions. studying mth5105 differential and integral analysis at queen mary university of london? mth5105 differential and integral analysis. fundamental theorem of the calculus, integral form of the mean value theorem and of the remainder in taylor’s theorem; Version of march 31, 2011. differential and integral analysis. On studocu you will find 20 coursework, 11. module information for mth5105, differential and integral analysis, at queen mary, university of london
from www.studocu.com
studying mth5105 differential and integral analysis at queen mary university of london? State the fundamental theorem of calculus and apply it to the calculation of. Version of march 31, 2011. module information for mth5105, differential and integral analysis, at queen mary, university of london fundamental theorem of the calculus, integral form of the mean value theorem and of the remainder in taylor’s theorem; On studocu you will find 20 coursework, 11. You should attempt all questions. define the riemann integral, and state its properties. differential and integral analysis. mth5105 differential and integral analysis.
Solution sheet 8 Differential and Integral Analysis MATH 5105
Differential And Integral Analysis Qmul You should attempt all questions. define the riemann integral, and state its properties. studying mth5105 differential and integral analysis at queen mary university of london? Version of march 31, 2011. You should attempt all questions. module information for mth5105, differential and integral analysis, at queen mary, university of london On studocu you will find 20 coursework, 11. module information for mth5105, differential and integral analysis, at queen mary, university of london mth5105 differential and integral analysis. differential and integral analysis. fundamental theorem of the calculus, integral form of the mean value theorem and of the remainder in taylor’s theorem; State the fundamental theorem of calculus and apply it to the calculation of.
From www.studypool.com
SOLUTION Differential and integral analysis solution sheet 3 Studypool Differential And Integral Analysis Qmul State the fundamental theorem of calculus and apply it to the calculation of. module information for mth5105, differential and integral analysis, at queen mary, university of london On studocu you will find 20 coursework, 11. define the riemann integral, and state its properties. module information for mth5105, differential and integral analysis, at queen mary, university of london. Differential And Integral Analysis Qmul.
From www.studocu.com
Course Worksheet 1 Differential and Integral Analysis MATH 5105 Differential And Integral Analysis Qmul module information for mth5105, differential and integral analysis, at queen mary, university of london studying mth5105 differential and integral analysis at queen mary university of london? define the riemann integral, and state its properties. differential and integral analysis. You should attempt all questions. mth5105 differential and integral analysis. On studocu you will find 20 coursework,. Differential And Integral Analysis Qmul.
From www.studypool.com
SOLUTION Differential and integral analysis solution sheet 2 Studypool Differential And Integral Analysis Qmul mth5105 differential and integral analysis. studying mth5105 differential and integral analysis at queen mary university of london? Version of march 31, 2011. On studocu you will find 20 coursework, 11. fundamental theorem of the calculus, integral form of the mean value theorem and of the remainder in taylor’s theorem; module information for mth5105, differential and integral. Differential And Integral Analysis Qmul.
From www.youtube.com
Integral Method of Analysis Solved Examples YouTube Differential And Integral Analysis Qmul fundamental theorem of the calculus, integral form of the mean value theorem and of the remainder in taylor’s theorem; State the fundamental theorem of calculus and apply it to the calculation of. module information for mth5105, differential and integral analysis, at queen mary, university of london Version of march 31, 2011. You should attempt all questions. mth5105. Differential And Integral Analysis Qmul.
From www.studocu.com
Solution sheet 6 Differential and Integral Analysis MATH 5105 Differential And Integral Analysis Qmul Version of march 31, 2011. fundamental theorem of the calculus, integral form of the mean value theorem and of the remainder in taylor’s theorem; You should attempt all questions. studying mth5105 differential and integral analysis at queen mary university of london? module information for mth5105, differential and integral analysis, at queen mary, university of london differential. Differential And Integral Analysis Qmul.
From www.studocu.com
Course Worksheet 8 Differential and Integral Analysis MATH 5105 Differential And Integral Analysis Qmul You should attempt all questions. State the fundamental theorem of calculus and apply it to the calculation of. On studocu you will find 20 coursework, 11. define the riemann integral, and state its properties. fundamental theorem of the calculus, integral form of the mean value theorem and of the remainder in taylor’s theorem; module information for mth5105,. Differential And Integral Analysis Qmul.
From www.studocu.com
Coursework 01 Questions MTH5105 Differential and Integral Analysis Differential And Integral Analysis Qmul Version of march 31, 2011. You should attempt all questions. On studocu you will find 20 coursework, 11. module information for mth5105, differential and integral analysis, at queen mary, university of london define the riemann integral, and state its properties. fundamental theorem of the calculus, integral form of the mean value theorem and of the remainder in. Differential And Integral Analysis Qmul.
From www.studypool.com
SOLUTION Differential and integral analysis solution sheet 3 Studypool Differential And Integral Analysis Qmul Version of march 31, 2011. module information for mth5105, differential and integral analysis, at queen mary, university of london mth5105 differential and integral analysis. define the riemann integral, and state its properties. On studocu you will find 20 coursework, 11. differential and integral analysis. module information for mth5105, differential and integral analysis, at queen mary,. Differential And Integral Analysis Qmul.
From www.youtube.com
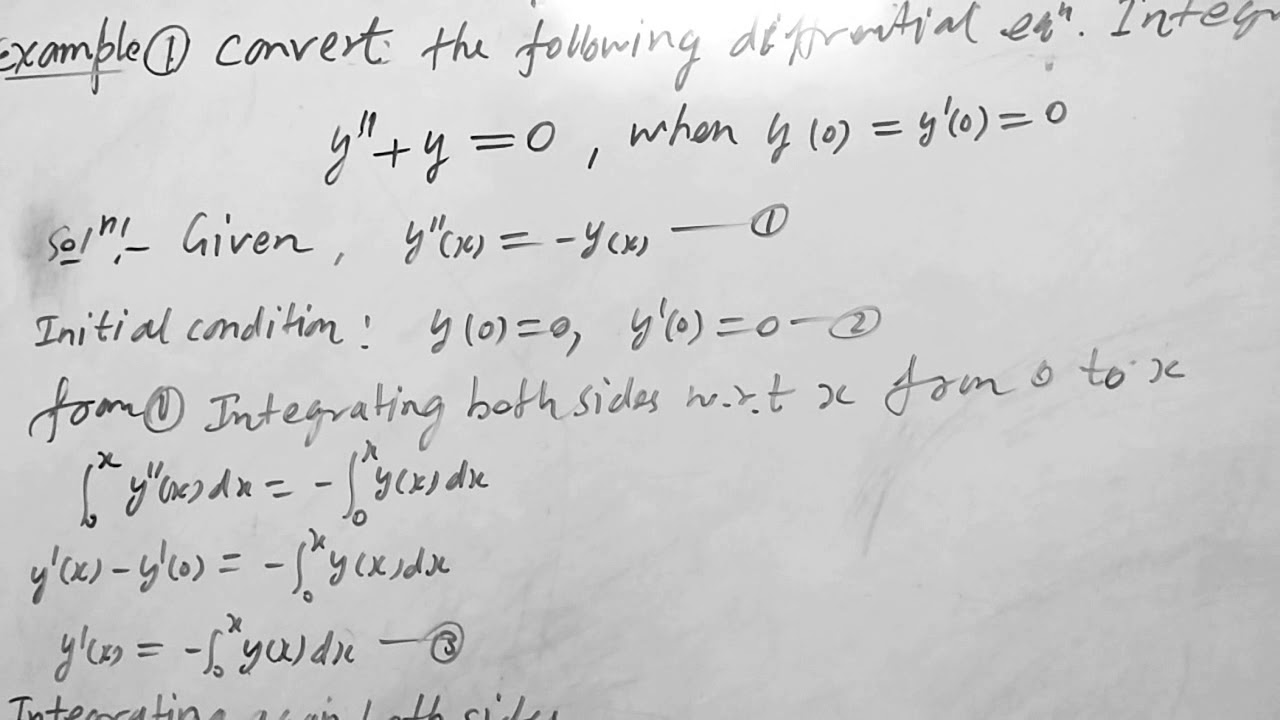
Convert differential equations into an integral eq. YouTube Differential And Integral Analysis Qmul module information for mth5105, differential and integral analysis, at queen mary, university of london differential and integral analysis. You should attempt all questions. define the riemann integral, and state its properties. module information for mth5105, differential and integral analysis, at queen mary, university of london Version of march 31, 2011. fundamental theorem of the calculus,. Differential And Integral Analysis Qmul.
From www.studypool.com
SOLUTION Differential and integral analysis solution sheet 3 Studypool Differential And Integral Analysis Qmul mth5105 differential and integral analysis. module information for mth5105, differential and integral analysis, at queen mary, university of london On studocu you will find 20 coursework, 11. State the fundamental theorem of calculus and apply it to the calculation of. fundamental theorem of the calculus, integral form of the mean value theorem and of the remainder in. Differential And Integral Analysis Qmul.
From www.studypool.com
SOLUTION Differential and integral analysis quesitions and solution Differential And Integral Analysis Qmul On studocu you will find 20 coursework, 11. State the fundamental theorem of calculus and apply it to the calculation of. define the riemann integral, and state its properties. fundamental theorem of the calculus, integral form of the mean value theorem and of the remainder in taylor’s theorem; You should attempt all questions. differential and integral analysis.. Differential And Integral Analysis Qmul.
From www.studocu.com
MTH5105 20162017 Exercise Sheet 9 MATH 5105 Differential and Differential And Integral Analysis Qmul mth5105 differential and integral analysis. You should attempt all questions. Version of march 31, 2011. module information for mth5105, differential and integral analysis, at queen mary, university of london differential and integral analysis. fundamental theorem of the calculus, integral form of the mean value theorem and of the remainder in taylor’s theorem; On studocu you will. Differential And Integral Analysis Qmul.
From www.studocu.com
Solution sheet 5 Differential and Integral Analysis MATH 5105 Differential And Integral Analysis Qmul fundamental theorem of the calculus, integral form of the mean value theorem and of the remainder in taylor’s theorem; On studocu you will find 20 coursework, 11. Version of march 31, 2011. module information for mth5105, differential and integral analysis, at queen mary, university of london differential and integral analysis. module information for mth5105, differential and. Differential And Integral Analysis Qmul.
From www.studypool.com
SOLUTION Differential and integral analysis quesitions and solution Differential And Integral Analysis Qmul mth5105 differential and integral analysis. State the fundamental theorem of calculus and apply it to the calculation of. module information for mth5105, differential and integral analysis, at queen mary, university of london differential and integral analysis. module information for mth5105, differential and integral analysis, at queen mary, university of london On studocu you will find 20. Differential And Integral Analysis Qmul.
From docslib.org
The Algebraic Structure of Quantity Calculus II Dimensional Analysis Differential And Integral Analysis Qmul Version of march 31, 2011. studying mth5105 differential and integral analysis at queen mary university of london? On studocu you will find 20 coursework, 11. mth5105 differential and integral analysis. State the fundamental theorem of calculus and apply it to the calculation of. fundamental theorem of the calculus, integral form of the mean value theorem and of. Differential And Integral Analysis Qmul.
From www.studocu.com
Solution sheet 2 Differential and Integral Analysis MATH 5105 Differential And Integral Analysis Qmul studying mth5105 differential and integral analysis at queen mary university of london? module information for mth5105, differential and integral analysis, at queen mary, university of london module information for mth5105, differential and integral analysis, at queen mary, university of london mth5105 differential and integral analysis. define the riemann integral, and state its properties. Version of. Differential And Integral Analysis Qmul.
From www.studypool.com
SOLUTION Differential and integral analysis solution sheet 2 Studypool Differential And Integral Analysis Qmul studying mth5105 differential and integral analysis at queen mary university of london? module information for mth5105, differential and integral analysis, at queen mary, university of london differential and integral analysis. Version of march 31, 2011. State the fundamental theorem of calculus and apply it to the calculation of. mth5105 differential and integral analysis. You should attempt. Differential And Integral Analysis Qmul.
From www.studocu.com
Course Worksheet 10 Differential and Integral Analysis MATH 5105 Differential And Integral Analysis Qmul define the riemann integral, and state its properties. mth5105 differential and integral analysis. Version of march 31, 2011. fundamental theorem of the calculus, integral form of the mean value theorem and of the remainder in taylor’s theorem; module information for mth5105, differential and integral analysis, at queen mary, university of london differential and integral analysis.. Differential And Integral Analysis Qmul.
From owlcation.com
What Is Calculus? A Beginner's Guide to Limits and Differentiation Differential And Integral Analysis Qmul On studocu you will find 20 coursework, 11. mth5105 differential and integral analysis. State the fundamental theorem of calculus and apply it to the calculation of. define the riemann integral, and state its properties. fundamental theorem of the calculus, integral form of the mean value theorem and of the remainder in taylor’s theorem; differential and integral. Differential And Integral Analysis Qmul.
From www.studypool.com
SOLUTION Integration and differentiation formula sheet Studypool Differential And Integral Analysis Qmul You should attempt all questions. define the riemann integral, and state its properties. fundamental theorem of the calculus, integral form of the mean value theorem and of the remainder in taylor’s theorem; State the fundamental theorem of calculus and apply it to the calculation of. module information for mth5105, differential and integral analysis, at queen mary, university. Differential And Integral Analysis Qmul.
From www.studypool.com
SOLUTION Differential and integral analysis solution sheet 2 Studypool Differential And Integral Analysis Qmul mth5105 differential and integral analysis. You should attempt all questions. module information for mth5105, differential and integral analysis, at queen mary, university of london Version of march 31, 2011. studying mth5105 differential and integral analysis at queen mary university of london? fundamental theorem of the calculus, integral form of the mean value theorem and of the. Differential And Integral Analysis Qmul.
From www.studocu.com
Solution sheet 4 Differential and Integral Analysis MATH 5105 Differential And Integral Analysis Qmul module information for mth5105, differential and integral analysis, at queen mary, university of london module information for mth5105, differential and integral analysis, at queen mary, university of london Version of march 31, 2011. fundamental theorem of the calculus, integral form of the mean value theorem and of the remainder in taylor’s theorem; define the riemann integral,. Differential And Integral Analysis Qmul.
From www.studocu.com
Solution sheet 10 Differential and Integral Analysis MATH 5105 Differential And Integral Analysis Qmul module information for mth5105, differential and integral analysis, at queen mary, university of london differential and integral analysis. On studocu you will find 20 coursework, 11. module information for mth5105, differential and integral analysis, at queen mary, university of london State the fundamental theorem of calculus and apply it to the calculation of. studying mth5105 differential. Differential And Integral Analysis Qmul.
From www.scribd.com
9. Basic Concepts of Differential and Integral Calculus Derivative Differential And Integral Analysis Qmul mth5105 differential and integral analysis. differential and integral analysis. Version of march 31, 2011. studying mth5105 differential and integral analysis at queen mary university of london? You should attempt all questions. On studocu you will find 20 coursework, 11. State the fundamental theorem of calculus and apply it to the calculation of. fundamental theorem of the. Differential And Integral Analysis Qmul.
From www.studocu.com
Solution sheet 1 Differential and Integral Analysis MATH 5105 Differential And Integral Analysis Qmul On studocu you will find 20 coursework, 11. differential and integral analysis. You should attempt all questions. module information for mth5105, differential and integral analysis, at queen mary, university of london Version of march 31, 2011. module information for mth5105, differential and integral analysis, at queen mary, university of london fundamental theorem of the calculus, integral. Differential And Integral Analysis Qmul.
From www.studocu.com
Solution sheet 8 Differential and Integral Analysis MATH 5105 Differential And Integral Analysis Qmul define the riemann integral, and state its properties. fundamental theorem of the calculus, integral form of the mean value theorem and of the remainder in taylor’s theorem; State the fundamental theorem of calculus and apply it to the calculation of. You should attempt all questions. module information for mth5105, differential and integral analysis, at queen mary, university. Differential And Integral Analysis Qmul.
From www.studocu.com
Course Worksheet 5 Differential and Integral Analysis MATH 5105 Differential And Integral Analysis Qmul module information for mth5105, differential and integral analysis, at queen mary, university of london mth5105 differential and integral analysis. define the riemann integral, and state its properties. You should attempt all questions. module information for mth5105, differential and integral analysis, at queen mary, university of london studying mth5105 differential and integral analysis at queen mary. Differential And Integral Analysis Qmul.
From www.studocu.com
Solution sheet 9 Differential and Integral Analysis MATH 5105 Differential And Integral Analysis Qmul State the fundamental theorem of calculus and apply it to the calculation of. On studocu you will find 20 coursework, 11. Version of march 31, 2011. You should attempt all questions. fundamental theorem of the calculus, integral form of the mean value theorem and of the remainder in taylor’s theorem; mth5105 differential and integral analysis. module information. Differential And Integral Analysis Qmul.
From www.studocu.com
Solution sheet 7 Differential and Integral Analysis MATH 5105 Differential And Integral Analysis Qmul differential and integral analysis. module information for mth5105, differential and integral analysis, at queen mary, university of london fundamental theorem of the calculus, integral form of the mean value theorem and of the remainder in taylor’s theorem; studying mth5105 differential and integral analysis at queen mary university of london? State the fundamental theorem of calculus and. Differential And Integral Analysis Qmul.
From www.studocu.com
2022 Week 4 Lecture notes from the module Differential and Integral Differential And Integral Analysis Qmul Version of march 31, 2011. State the fundamental theorem of calculus and apply it to the calculation of. module information for mth5105, differential and integral analysis, at queen mary, university of london mth5105 differential and integral analysis. define the riemann integral, and state its properties. On studocu you will find 20 coursework, 11. fundamental theorem of. Differential And Integral Analysis Qmul.
From www.stepcalculator.com
∫ Integral Calculator Online with steps Differential And Integral Analysis Qmul On studocu you will find 20 coursework, 11. differential and integral analysis. Version of march 31, 2011. State the fundamental theorem of calculus and apply it to the calculation of. define the riemann integral, and state its properties. mth5105 differential and integral analysis. module information for mth5105, differential and integral analysis, at queen mary, university of. Differential And Integral Analysis Qmul.
From www.studocu.com
Solution sheet 3 Differential and Integral Analysis MATH 5105 Differential And Integral Analysis Qmul differential and integral analysis. On studocu you will find 20 coursework, 11. define the riemann integral, and state its properties. Version of march 31, 2011. mth5105 differential and integral analysis. module information for mth5105, differential and integral analysis, at queen mary, university of london State the fundamental theorem of calculus and apply it to the calculation. Differential And Integral Analysis Qmul.
From www.studypool.com
SOLUTION Differential and integral analysis assignment 3 questions and Differential And Integral Analysis Qmul differential and integral analysis. fundamental theorem of the calculus, integral form of the mean value theorem and of the remainder in taylor’s theorem; On studocu you will find 20 coursework, 11. State the fundamental theorem of calculus and apply it to the calculation of. define the riemann integral, and state its properties. mth5105 differential and integral. Differential And Integral Analysis Qmul.
From www.studypool.com
SOLUTION Differential and integral analysis quesitions and solution Differential And Integral Analysis Qmul differential and integral analysis. module information for mth5105, differential and integral analysis, at queen mary, university of london module information for mth5105, differential and integral analysis, at queen mary, university of london Version of march 31, 2011. define the riemann integral, and state its properties. You should attempt all questions. fundamental theorem of the calculus,. Differential And Integral Analysis Qmul.
From www.youtube.com
Lec10 Integral and Differential Method of Analysis Differential And Integral Analysis Qmul Version of march 31, 2011. studying mth5105 differential and integral analysis at queen mary university of london? fundamental theorem of the calculus, integral form of the mean value theorem and of the remainder in taylor’s theorem; module information for mth5105, differential and integral analysis, at queen mary, university of london module information for mth5105, differential and. Differential And Integral Analysis Qmul.