Is Arccot The Same As 1 Arctan . Mathematica's definition of arccot is different from the one in my textbook. Arctan(z) = arccot(1 z), where arctan denotes the. i know that $\displaystyle \cot(x)=\frac{1}{\tan(x)}$ and $\space \displaystyle \arctan(x)=\tan(x)^{. Apostol's arccot maps a real number into. There are at least two possible conventions for. $\operatorname{arccsc}(x) = \arcsin \frac{1}{x}$ , and $\operatorname{arcsec}(x) = \arccos \frac{1}{x}$. the identity arctan(1/x) = arcot(x) or arccot(1/x) = arctan(x) is used to represent the relationship between the. the principal value of the inverse cotangent is implemented in the wolfram language as arccot [z]. Arctan(x) is the inverse function of tan(x), and it means that, if y=arctan(x), then y is a number such that.
from en.asriportal.com
Apostol's arccot maps a real number into. the principal value of the inverse cotangent is implemented in the wolfram language as arccot [z]. $\operatorname{arccsc}(x) = \arcsin \frac{1}{x}$ , and $\operatorname{arcsec}(x) = \arccos \frac{1}{x}$. Arctan(z) = arccot(1 z), where arctan denotes the. Arctan(x) is the inverse function of tan(x), and it means that, if y=arctan(x), then y is a number such that. Mathematica's definition of arccot is different from the one in my textbook. There are at least two possible conventions for. i know that $\displaystyle \cot(x)=\frac{1}{\tan(x)}$ and $\space \displaystyle \arctan(x)=\tan(x)^{. the identity arctan(1/x) = arcot(x) or arccot(1/x) = arctan(x) is used to represent the relationship between the.
What is Arccot Formula? Examples
Is Arccot The Same As 1 Arctan the identity arctan(1/x) = arcot(x) or arccot(1/x) = arctan(x) is used to represent the relationship between the. the principal value of the inverse cotangent is implemented in the wolfram language as arccot [z]. i know that $\displaystyle \cot(x)=\frac{1}{\tan(x)}$ and $\space \displaystyle \arctan(x)=\tan(x)^{. $\operatorname{arccsc}(x) = \arcsin \frac{1}{x}$ , and $\operatorname{arcsec}(x) = \arccos \frac{1}{x}$. There are at least two possible conventions for. Mathematica's definition of arccot is different from the one in my textbook. the identity arctan(1/x) = arcot(x) or arccot(1/x) = arctan(x) is used to represent the relationship between the. Arctan(x) is the inverse function of tan(x), and it means that, if y=arctan(x), then y is a number such that. Apostol's arccot maps a real number into. Arctan(z) = arccot(1 z), where arctan denotes the.
From www.geeksforgeeks.org
How to find arctangent with Examples Is Arccot The Same As 1 Arctan i know that $\displaystyle \cot(x)=\frac{1}{\tan(x)}$ and $\space \displaystyle \arctan(x)=\tan(x)^{. Arctan(z) = arccot(1 z), where arctan denotes the. $\operatorname{arccsc}(x) = \arcsin \frac{1}{x}$ , and $\operatorname{arcsec}(x) = \arccos \frac{1}{x}$. Mathematica's definition of arccot is different from the one in my textbook. the principal value of the inverse cotangent is implemented in the wolfram language as arccot [z]. Arctan(x) is. Is Arccot The Same As 1 Arctan.
From tex.stackexchange.com
plot graph of arctan and arccot with tikz? TeX LaTeX Stack Exchange Is Arccot The Same As 1 Arctan There are at least two possible conventions for. Mathematica's definition of arccot is different from the one in my textbook. Apostol's arccot maps a real number into. i know that $\displaystyle \cot(x)=\frac{1}{\tan(x)}$ and $\space \displaystyle \arctan(x)=\tan(x)^{. Arctan(z) = arccot(1 z), where arctan denotes the. the identity arctan(1/x) = arcot(x) or arccot(1/x) = arctan(x) is used to represent the. Is Arccot The Same As 1 Arctan.
From calculator-online.net
Arctan Calculator Find inverse of tangent(x) Is Arccot The Same As 1 Arctan There are at least two possible conventions for. i know that $\displaystyle \cot(x)=\frac{1}{\tan(x)}$ and $\space \displaystyle \arctan(x)=\tan(x)^{. Arctan(z) = arccot(1 z), where arctan denotes the. $\operatorname{arccsc}(x) = \arcsin \frac{1}{x}$ , and $\operatorname{arcsec}(x) = \arccos \frac{1}{x}$. Arctan(x) is the inverse function of tan(x), and it means that, if y=arctan(x), then y is a number such that. the principal. Is Arccot The Same As 1 Arctan.
From www.youtube.com
Graph of tan(tan^ 1(x)) tan(tan inverse x) tan(arctan(x)) YouTube Is Arccot The Same As 1 Arctan There are at least two possible conventions for. i know that $\displaystyle \cot(x)=\frac{1}{\tan(x)}$ and $\space \displaystyle \arctan(x)=\tan(x)^{. Arctan(z) = arccot(1 z), where arctan denotes the. Arctan(x) is the inverse function of tan(x), and it means that, if y=arctan(x), then y is a number such that. Apostol's arccot maps a real number into. the principal value of the inverse. Is Arccot The Same As 1 Arctan.
From www.cuemath.com
Arctan Formula, Graph, Identities, Domain and Range Arctan x Is Arccot The Same As 1 Arctan Arctan(x) is the inverse function of tan(x), and it means that, if y=arctan(x), then y is a number such that. the identity arctan(1/x) = arcot(x) or arccot(1/x) = arctan(x) is used to represent the relationship between the. the principal value of the inverse cotangent is implemented in the wolfram language as arccot [z]. $\operatorname{arccsc}(x) = \arcsin \frac{1}{x}$. Is Arccot The Same As 1 Arctan.
From www.congress-intercultural.eu
Find Arctan1 And Arctan1, 46 OFF Is Arccot The Same As 1 Arctan Apostol's arccot maps a real number into. Arctan(z) = arccot(1 z), where arctan denotes the. Mathematica's definition of arccot is different from the one in my textbook. $\operatorname{arccsc}(x) = \arcsin \frac{1}{x}$ , and $\operatorname{arcsec}(x) = \arccos \frac{1}{x}$. the principal value of the inverse cotangent is implemented in the wolfram language as arccot [z]. i know that $\displaystyle. Is Arccot The Same As 1 Arctan.
From www.youtube.com
Pack's Maths Classics 4 arctan(x) + arctan(1/x) YouTube Is Arccot The Same As 1 Arctan i know that $\displaystyle \cot(x)=\frac{1}{\tan(x)}$ and $\space \displaystyle \arctan(x)=\tan(x)^{. Arctan(z) = arccot(1 z), where arctan denotes the. the principal value of the inverse cotangent is implemented in the wolfram language as arccot [z]. Mathematica's definition of arccot is different from the one in my textbook. the identity arctan(1/x) = arcot(x) or arccot(1/x) = arctan(x) is used to. Is Arccot The Same As 1 Arctan.
From brocorights.blogspot.com
Inverse Trigonometric Functions Domain Of Arctan Is Arccot The Same As 1 Arctan i know that $\displaystyle \cot(x)=\frac{1}{\tan(x)}$ and $\space \displaystyle \arctan(x)=\tan(x)^{. There are at least two possible conventions for. Arctan(z) = arccot(1 z), where arctan denotes the. Mathematica's definition of arccot is different from the one in my textbook. $\operatorname{arccsc}(x) = \arcsin \frac{1}{x}$ , and $\operatorname{arcsec}(x) = \arccos \frac{1}{x}$. Arctan(x) is the inverse function of tan(x), and it means that,. Is Arccot The Same As 1 Arctan.
From www.youtube.com
Integral of tan^1(cot x) Integral of arctan(cot x) inverse of tan Is Arccot The Same As 1 Arctan Mathematica's definition of arccot is different from the one in my textbook. Arctan(x) is the inverse function of tan(x), and it means that, if y=arctan(x), then y is a number such that. the principal value of the inverse cotangent is implemented in the wolfram language as arccot [z]. $\operatorname{arccsc}(x) = \arcsin \frac{1}{x}$ , and $\operatorname{arcsec}(x) = \arccos \frac{1}{x}$.. Is Arccot The Same As 1 Arctan.
From en.neurochispas.com
Arctan Calculator (Inverse Tangent) Degrees and Radians Neurochispas Is Arccot The Same As 1 Arctan Mathematica's definition of arccot is different from the one in my textbook. Arctan(z) = arccot(1 z), where arctan denotes the. There are at least two possible conventions for. Apostol's arccot maps a real number into. Arctan(x) is the inverse function of tan(x), and it means that, if y=arctan(x), then y is a number such that. i know that $\displaystyle. Is Arccot The Same As 1 Arctan.
From eodev.com
Aşağıdaki ifadelerin değerlerini bulunuz. a) tan(x + arccot(1)) = tan Is Arccot The Same As 1 Arctan $\operatorname{arccsc}(x) = \arcsin \frac{1}{x}$ , and $\operatorname{arcsec}(x) = \arccos \frac{1}{x}$. Mathematica's definition of arccot is different from the one in my textbook. There are at least two possible conventions for. Apostol's arccot maps a real number into. i know that $\displaystyle \cot(x)=\frac{1}{\tan(x)}$ and $\space \displaystyle \arctan(x)=\tan(x)^{. the principal value of the inverse cotangent is implemented in the. Is Arccot The Same As 1 Arctan.
From ar.inspiredpencil.com
Arctan Graph With Points Is Arccot The Same As 1 Arctan the principal value of the inverse cotangent is implemented in the wolfram language as arccot [z]. There are at least two possible conventions for. Apostol's arccot maps a real number into. Arctan(x) is the inverse function of tan(x), and it means that, if y=arctan(x), then y is a number such that. i know that $\displaystyle \cot(x)=\frac{1}{\tan(x)}$ and $\space. Is Arccot The Same As 1 Arctan.
From studywell.com
Inverse Trigonometric Functions arcsin, arccos and arctan StudyWell Is Arccot The Same As 1 Arctan Apostol's arccot maps a real number into. the identity arctan(1/x) = arcot(x) or arccot(1/x) = arctan(x) is used to represent the relationship between the. Arctan(x) is the inverse function of tan(x), and it means that, if y=arctan(x), then y is a number such that. There are at least two possible conventions for. Arctan(z) = arccot(1 z), where arctan denotes. Is Arccot The Same As 1 Arctan.
From en.asriportal.com
What is Arccot Formula? Examples Is Arccot The Same As 1 Arctan the principal value of the inverse cotangent is implemented in the wolfram language as arccot [z]. the identity arctan(1/x) = arcot(x) or arccot(1/x) = arctan(x) is used to represent the relationship between the. Mathematica's definition of arccot is different from the one in my textbook. Arctan(x) is the inverse function of tan(x), and it means that, if y=arctan(x),. Is Arccot The Same As 1 Arctan.
From www.slideserve.com
PPT Chapter 5 Inverse Trigonometric Functions; Trigonometric Is Arccot The Same As 1 Arctan Arctan(z) = arccot(1 z), where arctan denotes the. There are at least two possible conventions for. $\operatorname{arccsc}(x) = \arcsin \frac{1}{x}$ , and $\operatorname{arcsec}(x) = \arccos \frac{1}{x}$. Arctan(x) is the inverse function of tan(x), and it means that, if y=arctan(x), then y is a number such that. i know that $\displaystyle \cot(x)=\frac{1}{\tan(x)}$ and $\space \displaystyle \arctan(x)=\tan(x)^{. the principal. Is Arccot The Same As 1 Arctan.
From www.gauthmath.com
Solved Evaluate the following as true or false. arccot x= 1/arctan x Is Arccot The Same As 1 Arctan $\operatorname{arccsc}(x) = \arcsin \frac{1}{x}$ , and $\operatorname{arcsec}(x) = \arccos \frac{1}{x}$. Arctan(x) is the inverse function of tan(x), and it means that, if y=arctan(x), then y is a number such that. There are at least two possible conventions for. the principal value of the inverse cotangent is implemented in the wolfram language as arccot [z]. Apostol's arccot maps a. Is Arccot The Same As 1 Arctan.
From www.profmatt.com
cribsheets — Matthew Handy Maths + Physics tutor in Harrogate Is Arccot The Same As 1 Arctan Arctan(z) = arccot(1 z), where arctan denotes the. Arctan(x) is the inverse function of tan(x), and it means that, if y=arctan(x), then y is a number such that. the principal value of the inverse cotangent is implemented in the wolfram language as arccot [z]. There are at least two possible conventions for. $\operatorname{arccsc}(x) = \arcsin \frac{1}{x}$ , and. Is Arccot The Same As 1 Arctan.
From www.headboost.jp
arctan(アークタンジェント)の微分を誰でも理解できるように解説 HEADBOOST Is Arccot The Same As 1 Arctan Mathematica's definition of arccot is different from the one in my textbook. i know that $\displaystyle \cot(x)=\frac{1}{\tan(x)}$ and $\space \displaystyle \arctan(x)=\tan(x)^{. $\operatorname{arccsc}(x) = \arcsin \frac{1}{x}$ , and $\operatorname{arcsec}(x) = \arccos \frac{1}{x}$. Apostol's arccot maps a real number into. the principal value of the inverse cotangent is implemented in the wolfram language as arccot [z]. There are at. Is Arccot The Same As 1 Arctan.
From www.youtube.com
Arctan(x)+arctan(1/x)=pi/2 YouTube Is Arccot The Same As 1 Arctan There are at least two possible conventions for. the identity arctan(1/x) = arcot(x) or arccot(1/x) = arctan(x) is used to represent the relationship between the. Mathematica's definition of arccot is different from the one in my textbook. Arctan(x) is the inverse function of tan(x), and it means that, if y=arctan(x), then y is a number such that. $\operatorname{arccsc}(x). Is Arccot The Same As 1 Arctan.
From math.stackexchange.com
calculus Why is \operatorname{arccot} x not \arctan \frac{1}{x Is Arccot The Same As 1 Arctan Arctan(x) is the inverse function of tan(x), and it means that, if y=arctan(x), then y is a number such that. Mathematica's definition of arccot is different from the one in my textbook. the identity arctan(1/x) = arcot(x) or arccot(1/x) = arctan(x) is used to represent the relationship between the. the principal value of the inverse cotangent is implemented. Is Arccot The Same As 1 Arctan.
From www.youtube.com
tan^1(x) = cot^1(1/x) arctan x = arccot(1/x) YouTube Is Arccot The Same As 1 Arctan $\operatorname{arccsc}(x) = \arcsin \frac{1}{x}$ , and $\operatorname{arcsec}(x) = \arccos \frac{1}{x}$. Arctan(x) is the inverse function of tan(x), and it means that, if y=arctan(x), then y is a number such that. the identity arctan(1/x) = arcot(x) or arccot(1/x) = arctan(x) is used to represent the relationship between the. Apostol's arccot maps a real number into. i know that. Is Arccot The Same As 1 Arctan.
From 9to5science.com
[Solved] graph of arctan and arccot with tikz? 9to5Science Is Arccot The Same As 1 Arctan There are at least two possible conventions for. $\operatorname{arccsc}(x) = \arcsin \frac{1}{x}$ , and $\operatorname{arcsec}(x) = \arccos \frac{1}{x}$. Apostol's arccot maps a real number into. Mathematica's definition of arccot is different from the one in my textbook. the principal value of the inverse cotangent is implemented in the wolfram language as arccot [z]. i know that $\displaystyle. Is Arccot The Same As 1 Arctan.
From www.amathematics.com
arctan(x) integral What is integrate of arctanx or tan^1x Is Arccot The Same As 1 Arctan the principal value of the inverse cotangent is implemented in the wolfram language as arccot [z]. Arctan(z) = arccot(1 z), where arctan denotes the. the identity arctan(1/x) = arcot(x) or arccot(1/x) = arctan(x) is used to represent the relationship between the. i know that $\displaystyle \cot(x)=\frac{1}{\tan(x)}$ and $\space \displaystyle \arctan(x)=\tan(x)^{. $\operatorname{arccsc}(x) = \arcsin \frac{1}{x}$ , and. Is Arccot The Same As 1 Arctan.
From www.youtube.com
Arctan(1/2)+arctan(1/3)=pi/4 using complex numbers YouTube Is Arccot The Same As 1 Arctan Arctan(z) = arccot(1 z), where arctan denotes the. Apostol's arccot maps a real number into. $\operatorname{arccsc}(x) = \arcsin \frac{1}{x}$ , and $\operatorname{arcsec}(x) = \arccos \frac{1}{x}$. the identity arctan(1/x) = arcot(x) or arccot(1/x) = arctan(x) is used to represent the relationship between the. Arctan(x) is the inverse function of tan(x), and it means that, if y=arctan(x), then y is. Is Arccot The Same As 1 Arctan.
From www.youtube.com
6 1 4 Graphing Tan and Arctan YouTube Is Arccot The Same As 1 Arctan Apostol's arccot maps a real number into. the principal value of the inverse cotangent is implemented in the wolfram language as arccot [z]. i know that $\displaystyle \cot(x)=\frac{1}{\tan(x)}$ and $\space \displaystyle \arctan(x)=\tan(x)^{. Arctan(z) = arccot(1 z), where arctan denotes the. Mathematica's definition of arccot is different from the one in my textbook. Arctan(x) is the inverse function of. Is Arccot The Same As 1 Arctan.
From www.voovers.com
Derivative of arctan(x) (Inverse tangent) Detailed Lesson Is Arccot The Same As 1 Arctan There are at least two possible conventions for. $\operatorname{arccsc}(x) = \arcsin \frac{1}{x}$ , and $\operatorname{arcsec}(x) = \arccos \frac{1}{x}$. Mathematica's definition of arccot is different from the one in my textbook. Arctan(z) = arccot(1 z), where arctan denotes the. i know that $\displaystyle \cot(x)=\frac{1}{\tan(x)}$ and $\space \displaystyle \arctan(x)=\tan(x)^{. Apostol's arccot maps a real number into. Arctan(x) is the inverse. Is Arccot The Same As 1 Arctan.
From www.youtube.com
TERS Trigonometrik Fonksiyonlar(arcsinarccosarctanarccot) YouTube Is Arccot The Same As 1 Arctan the principal value of the inverse cotangent is implemented in the wolfram language as arccot [z]. Apostol's arccot maps a real number into. $\operatorname{arccsc}(x) = \arcsin \frac{1}{x}$ , and $\operatorname{arcsec}(x) = \arccos \frac{1}{x}$. There are at least two possible conventions for. Mathematica's definition of arccot is different from the one in my textbook. Arctan(z) = arccot(1 z), where. Is Arccot The Same As 1 Arctan.
From www.bartleby.com
Answered Use reference triangles in an… bartleby Is Arccot The Same As 1 Arctan i know that $\displaystyle \cot(x)=\frac{1}{\tan(x)}$ and $\space \displaystyle \arctan(x)=\tan(x)^{. Arctan(x) is the inverse function of tan(x), and it means that, if y=arctan(x), then y is a number such that. the principal value of the inverse cotangent is implemented in the wolfram language as arccot [z]. There are at least two possible conventions for. Apostol's arccot maps a real. Is Arccot The Same As 1 Arctan.
From zhuanlan.zhihu.com
arccot x = arctan (1/x)? 知乎 Is Arccot The Same As 1 Arctan Mathematica's definition of arccot is different from the one in my textbook. There are at least two possible conventions for. $\operatorname{arccsc}(x) = \arcsin \frac{1}{x}$ , and $\operatorname{arcsec}(x) = \arccos \frac{1}{x}$. Arctan(z) = arccot(1 z), where arctan denotes the. the identity arctan(1/x) = arcot(x) or arccot(1/x) = arctan(x) is used to represent the relationship between the. i know. Is Arccot The Same As 1 Arctan.
From www.hyginsberg.com
The Arctangent Function Is Arccot The Same As 1 Arctan the principal value of the inverse cotangent is implemented in the wolfram language as arccot [z]. i know that $\displaystyle \cot(x)=\frac{1}{\tan(x)}$ and $\space \displaystyle \arctan(x)=\tan(x)^{. the identity arctan(1/x) = arcot(x) or arccot(1/x) = arctan(x) is used to represent the relationship between the. $\operatorname{arccsc}(x) = \arcsin \frac{1}{x}$ , and $\operatorname{arcsec}(x) = \arccos \frac{1}{x}$. Mathematica's definition of arccot. Is Arccot The Same As 1 Arctan.
From www.analyzemath.com
Graph, Domain and Range of Arctan(x) function Is Arccot The Same As 1 Arctan the identity arctan(1/x) = arcot(x) or arccot(1/x) = arctan(x) is used to represent the relationship between the. There are at least two possible conventions for. $\operatorname{arccsc}(x) = \arcsin \frac{1}{x}$ , and $\operatorname{arcsec}(x) = \arccos \frac{1}{x}$. i know that $\displaystyle \cot(x)=\frac{1}{\tan(x)}$ and $\space \displaystyle \arctan(x)=\tan(x)^{. Arctan(x) is the inverse function of tan(x), and it means that, if y=arctan(x),. Is Arccot The Same As 1 Arctan.
From collegedunia.com
ArcTan Formula Derivation, Domain, Range & Properties Is Arccot The Same As 1 Arctan There are at least two possible conventions for. Arctan(z) = arccot(1 z), where arctan denotes the. Apostol's arccot maps a real number into. $\operatorname{arccsc}(x) = \arcsin \frac{1}{x}$ , and $\operatorname{arcsec}(x) = \arccos \frac{1}{x}$. the identity arctan(1/x) = arcot(x) or arccot(1/x) = arctan(x) is used to represent the relationship between the. Arctan(x) is the inverse function of tan(x), and. Is Arccot The Same As 1 Arctan.
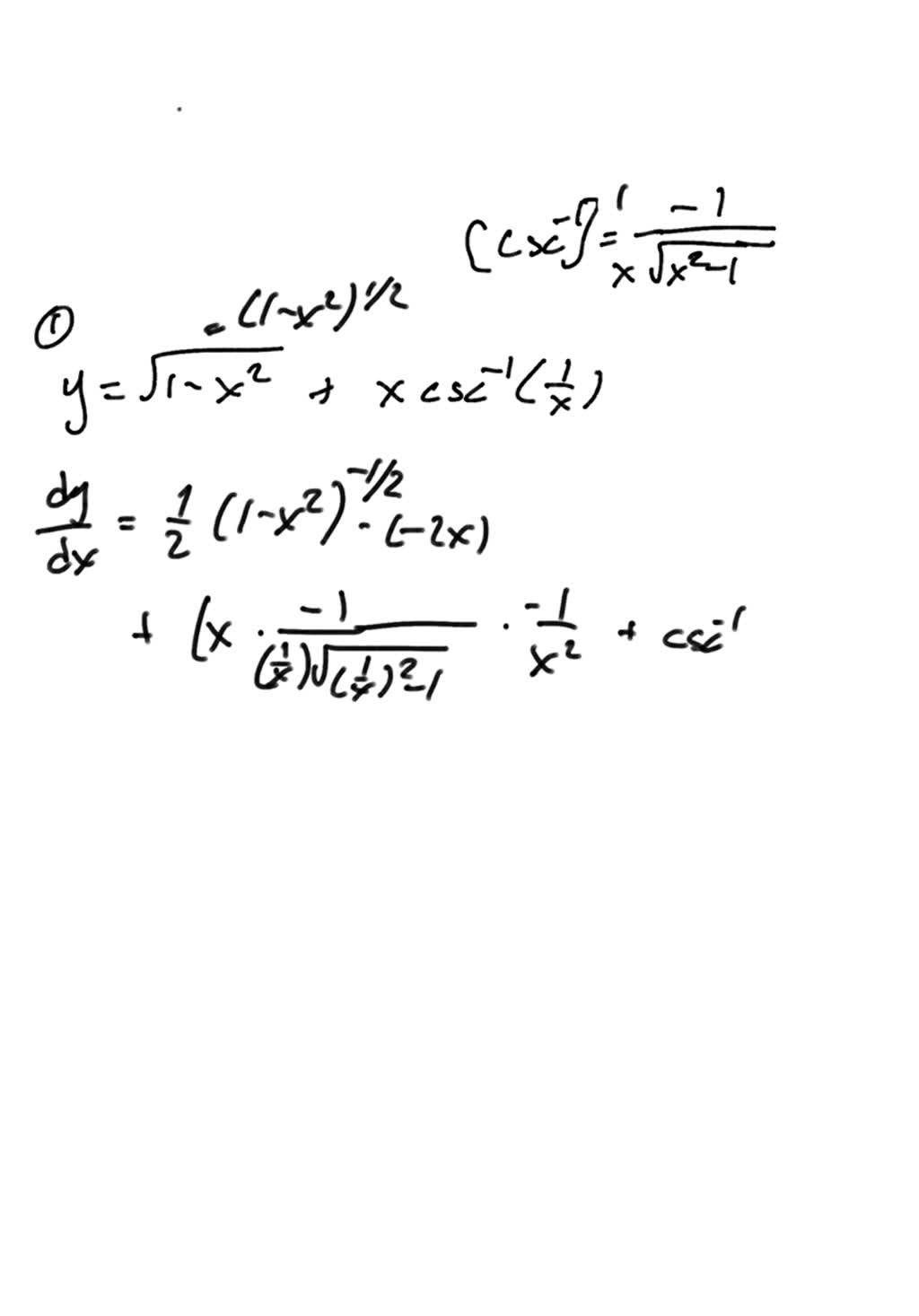
From www.numerade.com
SOLVED Differentiation of Inverse Trigonometric Functions Find dy/dx Is Arccot The Same As 1 Arctan Apostol's arccot maps a real number into. the principal value of the inverse cotangent is implemented in the wolfram language as arccot [z]. i know that $\displaystyle \cot(x)=\frac{1}{\tan(x)}$ and $\space \displaystyle \arctan(x)=\tan(x)^{. Mathematica's definition of arccot is different from the one in my textbook. There are at least two possible conventions for. Arctan(z) = arccot(1 z), where arctan. Is Arccot The Same As 1 Arctan.
From www.slideshare.net
Arcsin, Arccos, Arctan Is Arccot The Same As 1 Arctan the principal value of the inverse cotangent is implemented in the wolfram language as arccot [z]. $\operatorname{arccsc}(x) = \arcsin \frac{1}{x}$ , and $\operatorname{arcsec}(x) = \arccos \frac{1}{x}$. Arctan(z) = arccot(1 z), where arctan denotes the. Mathematica's definition of arccot is different from the one in my textbook. the identity arctan(1/x) = arcot(x) or arccot(1/x) = arctan(x) is used. Is Arccot The Same As 1 Arctan.
From atelier-yuwa.ciao.jp
Arctan Formula, Graph, Identities, Domain And Range Arctan X atelier Is Arccot The Same As 1 Arctan the principal value of the inverse cotangent is implemented in the wolfram language as arccot [z]. $\operatorname{arccsc}(x) = \arcsin \frac{1}{x}$ , and $\operatorname{arcsec}(x) = \arccos \frac{1}{x}$. Arctan(z) = arccot(1 z), where arctan denotes the. i know that $\displaystyle \cot(x)=\frac{1}{\tan(x)}$ and $\space \displaystyle \arctan(x)=\tan(x)^{. Apostol's arccot maps a real number into. the identity arctan(1/x) = arcot(x) or. Is Arccot The Same As 1 Arctan.