Government Leased Property For Sale . Government investment properties work with owners and lessors of commercial real estate with a majority government tenancy. Search for homes, land, farms, ranches, and commercial real estate from the federal government, which sells or auctions. Government property for sale or lease. A.gov website belongs to an official government organization in the united states. We frequently have surplus personal property and real property available for qualified. The government leased investment group at bull realty provides client oriented disposition and acquisition services for government leased properties all over the country.
from www.gulfcoastcmls.com
The government leased investment group at bull realty provides client oriented disposition and acquisition services for government leased properties all over the country. Government property for sale or lease. Search for homes, land, farms, ranches, and commercial real estate from the federal government, which sells or auctions. A.gov website belongs to an official government organization in the united states. Government investment properties work with owners and lessors of commercial real estate with a majority government tenancy. We frequently have surplus personal property and real property available for qualified.
3765 Government Blvd, Unit B, Mobile, AL Office for Lease Gulf Coast CMLS powered by Catylist
Government Leased Property For Sale Government investment properties work with owners and lessors of commercial real estate with a majority government tenancy. A.gov website belongs to an official government organization in the united states. Government property for sale or lease. We frequently have surplus personal property and real property available for qualified. Government investment properties work with owners and lessors of commercial real estate with a majority government tenancy. Search for homes, land, farms, ranches, and commercial real estate from the federal government, which sells or auctions. The government leased investment group at bull realty provides client oriented disposition and acquisition services for government leased properties all over the country.
From templatelab.com
37 FREE Land Lease Agreements [Word & PDF] ᐅ TemplateLab Government Leased Property For Sale A.gov website belongs to an official government organization in the united states. The government leased investment group at bull realty provides client oriented disposition and acquisition services for government leased properties all over the country. Government investment properties work with owners and lessors of commercial real estate with a majority government tenancy. Search for homes, land, farms, ranches, and commercial. Government Leased Property For Sale.
From www.loopnet.com
1385 Eisenhower Blvd, Johnstown, PA 15904 Government Leased Property For Sale Government property for sale or lease. We frequently have surplus personal property and real property available for qualified. Search for homes, land, farms, ranches, and commercial real estate from the federal government, which sells or auctions. A.gov website belongs to an official government organization in the united states. Government investment properties work with owners and lessors of commercial real estate. Government Leased Property For Sale.
From legaltemplates.net
Free Pennsylvania RenttoOwn Lease Agreement Template PDF & Word Government Leased Property For Sale A.gov website belongs to an official government organization in the united states. The government leased investment group at bull realty provides client oriented disposition and acquisition services for government leased properties all over the country. Government property for sale or lease. Government investment properties work with owners and lessors of commercial real estate with a majority government tenancy. Search for. Government Leased Property For Sale.
From www.pdffiller.com
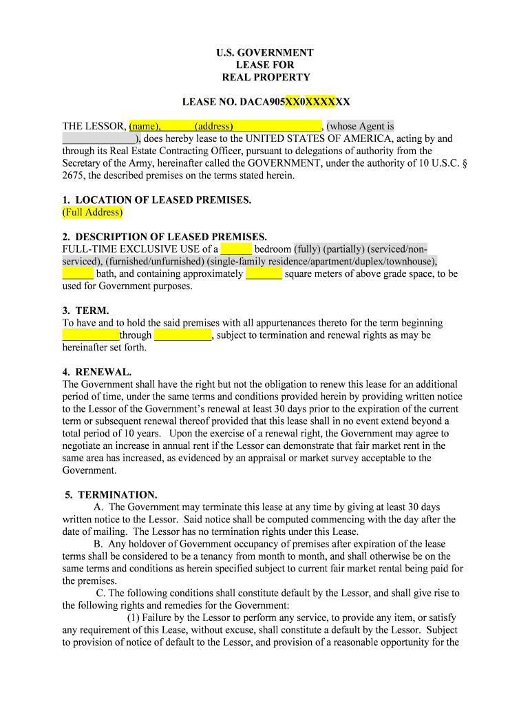
Fillable Online U.S. GOVERNMENT LEASE FOR REAL PROPERTY LEASE Fax Email Print pdfFiller Government Leased Property For Sale Search for homes, land, farms, ranches, and commercial real estate from the federal government, which sells or auctions. A.gov website belongs to an official government organization in the united states. The government leased investment group at bull realty provides client oriented disposition and acquisition services for government leased properties all over the country. We frequently have surplus personal property and. Government Leased Property For Sale.
From 33realty.com
Types Of Rental Lease Agreements You Should Know 33 Realty Government Leased Property For Sale Government investment properties work with owners and lessors of commercial real estate with a majority government tenancy. We frequently have surplus personal property and real property available for qualified. The government leased investment group at bull realty provides client oriented disposition and acquisition services for government leased properties all over the country. A.gov website belongs to an official government organization. Government Leased Property For Sale.
From realnex.com
Government St. Building on Corner Lot For Lease FOR LEASE on 4414 Government St, Government Leased Property For Sale We frequently have surplus personal property and real property available for qualified. The government leased investment group at bull realty provides client oriented disposition and acquisition services for government leased properties all over the country. Government property for sale or lease. A.gov website belongs to an official government organization in the united states. Government investment properties work with owners and. Government Leased Property For Sale.
From arcoresolutions.com
Assistance Selling or Buying a Federal Government Leased Asset Government Leased Property For Sale We frequently have surplus personal property and real property available for qualified. Government investment properties work with owners and lessors of commercial real estate with a majority government tenancy. Search for homes, land, farms, ranches, and commercial real estate from the federal government, which sells or auctions. The government leased investment group at bull realty provides client oriented disposition and. Government Leased Property For Sale.
From myemail.constantcontact.com
Government Leased Available Inventory Government Leased Property For Sale Government property for sale or lease. We frequently have surplus personal property and real property available for qualified. Search for homes, land, farms, ranches, and commercial real estate from the federal government, which sells or auctions. The government leased investment group at bull realty provides client oriented disposition and acquisition services for government leased properties all over the country. A.gov. Government Leased Property For Sale.
From www.thehansindia.com
Karnataka Permission granted for sale of Government leased lands Government Leased Property For Sale Search for homes, land, farms, ranches, and commercial real estate from the federal government, which sells or auctions. We frequently have surplus personal property and real property available for qualified. Government investment properties work with owners and lessors of commercial real estate with a majority government tenancy. A.gov website belongs to an official government organization in the united states. The. Government Leased Property For Sale.
From commercialobserver.com
Easterly Government Properties Completes Sale of GovernmentLeased Portfolio Commercial Observer Government Leased Property For Sale Search for homes, land, farms, ranches, and commercial real estate from the federal government, which sells or auctions. Government property for sale or lease. Government investment properties work with owners and lessors of commercial real estate with a majority government tenancy. A.gov website belongs to an official government organization in the united states. The government leased investment group at bull. Government Leased Property For Sale.
From sfforms.org
SF 2 Form U.S. Government Lease for Real Property SF Forms Government Leased Property For Sale The government leased investment group at bull realty provides client oriented disposition and acquisition services for government leased properties all over the country. Search for homes, land, farms, ranches, and commercial real estate from the federal government, which sells or auctions. Government property for sale or lease. A.gov website belongs to an official government organization in the united states. Government. Government Leased Property For Sale.
From myemail.constantcontact.com
Government Leased Available Inventory Government Leased Property For Sale Government property for sale or lease. Search for homes, land, farms, ranches, and commercial real estate from the federal government, which sells or auctions. We frequently have surplus personal property and real property available for qualified. The government leased investment group at bull realty provides client oriented disposition and acquisition services for government leased properties all over the country. Government. Government Leased Property For Sale.
From www.commo.com.au
WA government leased 81 St Terrace Perth for sale by Cushman & Wakefield. Commo. Government Leased Property For Sale A.gov website belongs to an official government organization in the united states. Government property for sale or lease. We frequently have surplus personal property and real property available for qualified. Search for homes, land, farms, ranches, and commercial real estate from the federal government, which sells or auctions. The government leased investment group at bull realty provides client oriented disposition. Government Leased Property For Sale.
From www.scribd.com
Sample Lease Agreement Form Between State and Company Leasehold Estate Landlord Government Leased Property For Sale Government property for sale or lease. The government leased investment group at bull realty provides client oriented disposition and acquisition services for government leased properties all over the country. Search for homes, land, farms, ranches, and commercial real estate from the federal government, which sells or auctions. We frequently have surplus personal property and real property available for qualified. Government. Government Leased Property For Sale.
From assuredreturnproperty.blogspot.com
Pre Leased Property for sale in gurgaon +919873498205 Assured Return Projects Government Leased Property For Sale We frequently have surplus personal property and real property available for qualified. A.gov website belongs to an official government organization in the united states. Government investment properties work with owners and lessors of commercial real estate with a majority government tenancy. The government leased investment group at bull realty provides client oriented disposition and acquisition services for government leased properties. Government Leased Property For Sale.
From theshiftnews.com
Majority of government’s 260 leased properties rented since 2018 The Shift News Government Leased Property For Sale A.gov website belongs to an official government organization in the united states. Government investment properties work with owners and lessors of commercial real estate with a majority government tenancy. Search for homes, land, farms, ranches, and commercial real estate from the federal government, which sells or auctions. We frequently have surplus personal property and real property available for qualified. Government. Government Leased Property For Sale.
From www.pdffiller.com
Fillable Online Draft Lease Fully Serviced Prof Bldg.doc Fax Email Print pdfFiller Government Leased Property For Sale We frequently have surplus personal property and real property available for qualified. A.gov website belongs to an official government organization in the united states. The government leased investment group at bull realty provides client oriented disposition and acquisition services for government leased properties all over the country. Government investment properties work with owners and lessors of commercial real estate with. Government Leased Property For Sale.
From governmentleaseadvisors.wordpress.com
Government Real Estate leasing Service Government Lease Advisors Government Leased Property For Sale The government leased investment group at bull realty provides client oriented disposition and acquisition services for government leased properties all over the country. Search for homes, land, farms, ranches, and commercial real estate from the federal government, which sells or auctions. A.gov website belongs to an official government organization in the united states. We frequently have surplus personal property and. Government Leased Property For Sale.
From www.jainoncor.com
Why investing in preleased property for sale in Delhi NCR is fruitful? Government Leased Property For Sale We frequently have surplus personal property and real property available for qualified. Government investment properties work with owners and lessors of commercial real estate with a majority government tenancy. Government property for sale or lease. The government leased investment group at bull realty provides client oriented disposition and acquisition services for government leased properties all over the country. Search for. Government Leased Property For Sale.
From www.templateroller.com
Washington Standard Real Estate Lease Agreement Template Fill Out, Sign Online and Download Government Leased Property For Sale Government investment properties work with owners and lessors of commercial real estate with a majority government tenancy. Government property for sale or lease. The government leased investment group at bull realty provides client oriented disposition and acquisition services for government leased properties all over the country. Search for homes, land, farms, ranches, and commercial real estate from the federal government,. Government Leased Property For Sale.
From www.youtube.com
Lerp Best Government Lease Property For Investment Lyari Expressway Resettlement Project Government Leased Property For Sale Government property for sale or lease. Search for homes, land, farms, ranches, and commercial real estate from the federal government, which sells or auctions. Government investment properties work with owners and lessors of commercial real estate with a majority government tenancy. The government leased investment group at bull realty provides client oriented disposition and acquisition services for government leased properties. Government Leased Property For Sale.
From mptco.com
Mobile AL Office For Lease MPT Team Government Leased Property For Sale Government property for sale or lease. The government leased investment group at bull realty provides client oriented disposition and acquisition services for government leased properties all over the country. Search for homes, land, farms, ranches, and commercial real estate from the federal government, which sells or auctions. A.gov website belongs to an official government organization in the united states. We. Government Leased Property For Sale.
From propertymarkets.news
Government leased property Sold for 11.6m Australian Property Markets News Government Leased Property For Sale Government property for sale or lease. Search for homes, land, farms, ranches, and commercial real estate from the federal government, which sells or auctions. A.gov website belongs to an official government organization in the united states. The government leased investment group at bull realty provides client oriented disposition and acquisition services for government leased properties all over the country. Government. Government Leased Property For Sale.
From www.templateroller.com
GSA Form 3486 Download Fillable PDF or Fill Online U.S. Government Lease of Real Property Government Leased Property For Sale A.gov website belongs to an official government organization in the united states. Government property for sale or lease. We frequently have surplus personal property and real property available for qualified. Government investment properties work with owners and lessors of commercial real estate with a majority government tenancy. Search for homes, land, farms, ranches, and commercial real estate from the federal. Government Leased Property For Sale.
From sfforms.org
SF 2 Form U.S. Government Lease for Real Property SF Forms Government Leased Property For Sale Government property for sale or lease. The government leased investment group at bull realty provides client oriented disposition and acquisition services for government leased properties all over the country. Search for homes, land, farms, ranches, and commercial real estate from the federal government, which sells or auctions. A.gov website belongs to an official government organization in the united states. Government. Government Leased Property For Sale.
From www.slideserve.com
PPT FAR PART 45 Government Property PowerPoint Presentation ID2854107 Government Leased Property For Sale Government investment properties work with owners and lessors of commercial real estate with a majority government tenancy. The government leased investment group at bull realty provides client oriented disposition and acquisition services for government leased properties all over the country. A.gov website belongs to an official government organization in the united states. We frequently have surplus personal property and real. Government Leased Property For Sale.
From myemail.constantcontact.com
Government Leased Available Inventory Government Leased Property For Sale A.gov website belongs to an official government organization in the united states. The government leased investment group at bull realty provides client oriented disposition and acquisition services for government leased properties all over the country. Search for homes, land, farms, ranches, and commercial real estate from the federal government, which sells or auctions. We frequently have surplus personal property and. Government Leased Property For Sale.
From www.landquest.com
Lakefront Home on Leased Lot Surrey Lake, BC LandQuest® Realty Government Leased Property For Sale Government investment properties work with owners and lessors of commercial real estate with a majority government tenancy. Government property for sale or lease. A.gov website belongs to an official government organization in the united states. We frequently have surplus personal property and real property available for qualified. The government leased investment group at bull realty provides client oriented disposition and. Government Leased Property For Sale.
From www.pinterest.com
Land Lease Agreement Print & Download Legal Templates Lease agreement, Lease agreement Government Leased Property For Sale Search for homes, land, farms, ranches, and commercial real estate from the federal government, which sells or auctions. A.gov website belongs to an official government organization in the united states. The government leased investment group at bull realty provides client oriented disposition and acquisition services for government leased properties all over the country. Government investment properties work with owners and. Government Leased Property For Sale.
From www.slideshare.net
Net Leased GSA Property for Sale Government Leased Property For Sale We frequently have surplus personal property and real property available for qualified. Government property for sale or lease. Search for homes, land, farms, ranches, and commercial real estate from the federal government, which sells or auctions. Government investment properties work with owners and lessors of commercial real estate with a majority government tenancy. A.gov website belongs to an official government. Government Leased Property For Sale.
From www.slideshare.net
Net Leased GSA Property for Sale Government Leased Property For Sale Government property for sale or lease. The government leased investment group at bull realty provides client oriented disposition and acquisition services for government leased properties all over the country. Government investment properties work with owners and lessors of commercial real estate with a majority government tenancy. Search for homes, land, farms, ranches, and commercial real estate from the federal government,. Government Leased Property For Sale.
From myemail.constantcontact.com
Government Leased Available Inventory Government Leased Property For Sale Search for homes, land, farms, ranches, and commercial real estate from the federal government, which sells or auctions. The government leased investment group at bull realty provides client oriented disposition and acquisition services for government leased properties all over the country. Government investment properties work with owners and lessors of commercial real estate with a majority government tenancy. We frequently. Government Leased Property For Sale.
From tahmidurrahman.com
How to find the Ownership or Legitimacy of a Land, Flat, Property Government Leased Property For Sale We frequently have surplus personal property and real property available for qualified. Government property for sale or lease. A.gov website belongs to an official government organization in the united states. Search for homes, land, farms, ranches, and commercial real estate from the federal government, which sells or auctions. Government investment properties work with owners and lessors of commercial real estate. Government Leased Property For Sale.
From www.gulfcoastcmls.com
3765 Government Blvd, Unit B, Mobile, AL Office for Lease Gulf Coast CMLS powered by Catylist Government Leased Property For Sale Government property for sale or lease. We frequently have surplus personal property and real property available for qualified. The government leased investment group at bull realty provides client oriented disposition and acquisition services for government leased properties all over the country. Search for homes, land, farms, ranches, and commercial real estate from the federal government, which sells or auctions. Government. Government Leased Property For Sale.
From www.financestrategists.com
SaleLeaseback Agreements Definition, Purpose, & Structure Government Leased Property For Sale A.gov website belongs to an official government organization in the united states. Government investment properties work with owners and lessors of commercial real estate with a majority government tenancy. Government property for sale or lease. Search for homes, land, farms, ranches, and commercial real estate from the federal government, which sells or auctions. We frequently have surplus personal property and. Government Leased Property For Sale.